摘要:利用華北油田碳酸鹽巖潛山油藏改建地下儲氣庫,具有構造較為完整、圈閉規模大以及裂縫系統滲流條件較好的優勢,對保障京、津、冀等地區安全平穩供氣,具有非常重要的意義。雖然前期針對華北油田某裂縫性碳酸鹽巖塊狀底水油藏改建地下儲氣庫的可行性開展了相關的研究工作,但都是基于油井采油指數類比氣井采氣指數方法進行評價的,存在一定的局限性和偏差。為此,以可壓縮氣體地層穩定滲流理論為基礎,根據潛山儲層裂縫系統的地質特點,引入了氣體半球滲流和等效氣井打開半徑的概念,最終推導出了碳酸鹽巖裂縫性油藏建庫氣井穩定滲流產能方程。通過對華北油田某潛山油藏的實例計算表明:由于該油藏裂縫系統物性條件很好,無論氣庫運行在高壓還是低壓條件,穩定滲流計算得到的地層產氣能力都很高,可以認為地層氣體基本為無限供流條件。
關鍵詞:華北油田;碳酸鹽巖;裂縫;油藏;地下;儲氣庫;氣井;滲流;方程
華北碳酸鹽巖裂縫性油藏普遍具有含油面積大、圈閉幅度高的特點,儲層層間差異小,呈現巨厚塊狀,不同級別的裂縫將儲層切割成非常復雜的裂縫網絡系統[1~2]。地層具有明顯的裂縫系統和巖塊系統雙重介質特征,其中裂縫系統物性條件很好,且大多以高角度構造縫為主,是改建地下儲氣庫后氣體的主要滲流通道和儲集空間[3]。目前國內針對華北油田某井裂縫性碳酸鹽塊狀底水油藏改建地下儲氣庫的可行性已經開展了相關的研究工作[4],但大都是利用油井采油指數類比氣井采氣指數方法進行評價,該類比方法建立在不可壓縮流體研究基礎上,未考慮氣體的可壓縮性,因此評價結論存在一定的局限和偏差,需要進一步的深入研究。
1 氣井穩定滲流產能方程的建立
1.1 基本假設
針對華北油田裂縫性潛山油藏的實際情況,為了建立描述裂縫性油藏改建儲氣庫氣井穩定滲流產能方程數學表達式,需要一定的簡化預測條件:
1) 不考慮地層非均質影響,為均質等厚無限大。
2) 氣體流動符合線性滲流運動方程且為等溫穩定滲流。
3) 巖石的壓縮性忽略不計,孔隙度視為常數。
4) 不考慮表皮系數。
1.2 氣井穩定滲流產能方程的推導
由于潛山油藏頂部建庫后,氣井都在潛山頂部完井,鉆開厚度都很低,因此相當于無限大的巨厚油藏,采用頂部部分鉆開方式打開生產。
對于巨厚油藏,采用頂部部分鉆開方式打開生產(圖1),氣體的流動形態可以看成是球面向心流動,適合采用半球流穩定滲流理論評價產氣能力[5~6]。
球形模型穩定滲流的微分方程:

已知邊界條件:r=rw,p=pw;r=re,p=pe,將已知條件代入式(2)求得:
球面向心穩定滲流的壓力分布表達式:

球面向心流穩定滲流質量流量表達式:


在均質地層,氣體穩定滲流的微分方程式(1)可以寫成:

真實氣體狀態方程為:

式中:下標sc代表標準狀況條件。
根據式(6)壓力函數的表達式,將式(7)表示真實氣體的狀態方程代入式(6)得:

上式積分號內的Z、T雖然都是變量,但是一般地層內流動認為是等溫過程,偏差系數Z=
(地層溫度及地層平均壓力下的偏差系數),Zsc=1,則式(8)積分得:
(地層溫度及地層平均壓力下的偏差系數),Zsc=1,則式(8)積分得:
將式(9)代入式(4)和式(3),并將氣體流量折算為地面標準狀況下,氣井質量流量表達式為:

氣體體積流量表達式:

壓力平方分布表達式:

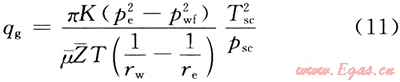
將式(11)由達西單位制轉換為我國法定單位制,則式(11)變為:

式中:qg為天然氣產量,104m3/d;K為裂縫有效滲透率,10-3μm2;pe為地層壓力,MPa;pwf為井底流壓,MPa;為氣體平均偏差系數;
為氣體平均黏度,mPa·s;T為地層溫度,K;re為供給邊界半徑,m。rw為鉆開井眼半徑,m。
為氣體平均黏度,mPa·s;T為地層溫度,K;re為供給邊界半徑,m。rw為鉆開井眼半徑,m。由于1/re的數值遠小于1,可以忽略不計,故式(15)可簡化為:

由于鉆開井眼半徑為rw,鉆開厚度為hp,則半球形井井底的滲流面積應與實際圓柱井底的滲流表面積相等,即

其中rh為折算的等效半球形井半徑,rh=(rw×hp)0.5。
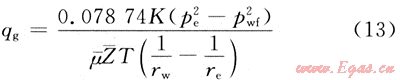
則式(14)可變為:

2 應用實例計算
2.1 預測基本參數
華北某潛山油藏建庫,氣井產氣能力預測參數見表1所示。
表1 預測基本參數表
|
參數
|
數值
|
|
圈閉埋深(m)
|
2897
|
|
裂縫有效滲透率(10-3μm2)
|
1973.84
|
|
地層溫度(℃)
|
118
|
|
鉆開厚度(m)
|
50
|
|
鉆開井眼半徑(m)
|
0.038
|
2.2 計算結果
根據式(18)和表1得到某潛山油藏氣井產氣能力計算結果見圖2和表2。

表2 不同地層壓力時氣井產氣能力預測結果表
|
井底流壓(MPa)
|
對應不同地層壓力下的產氣量(104m3/d)
|
||||
|
30MPa
|
25MPa
|
20MPa
|
15MPa
|
10MPa
|
|
|
0.1
|
32380
|
23205
|
15348
|
8883
|
4046
|
|
5
|
28421
|
21478
|
13934
|
7679
|
2962
|
|
10
|
25035
|
18033
|
10739
|
4644
|
0
|
|
15
|
20312
|
13135
|
6011
|
0
|
|
|
20
|
14463
|
7042
|
0
|
|
|
|
25
|
7682
|
0
|
|
|
|
2.3 計算結果分析
由于該潛山油藏高角度裂縫系統滲流條件非常好,裂縫有效滲透率高達2μm2,無論氣庫處于高壓力還是低壓情況,氣井的產氣能力都是很高的。當地層壓力為30MPa,氣井生產壓差為1MPa時,地層產氣能力為1746×104m3/d,無阻流量為32380×104m3/d;地層壓力為10MPa,氣井生產壓差為1MPa時,地層產氣能力為729×104m3/d,無阻流量為4046×104m3/d。
3 結論
1) 以可壓縮氣體地層穩定滲流理論為基礎,并根據潛山儲層巨厚塊狀和裂縫系統以高角度構造縫為主的特點,引入了氣體半球滲流和等效氣井打開半徑的概念,最終推導出了碳酸鹽巖裂縫性油藏建庫氣井穩定滲流產能方程,通過華北某油藏實例計算驗證了該模型的適用性和正確性。
2) 實例計算表明:由于油藏裂縫系統物性條件很好,無論氣庫在高壓力還是低壓條件下運行,穩定滲流計算得到的地層采氣能力都很高,因此相對于注采氣管柱對壓力的損失而言,可以認為地層氣體基本為無限供流條件,在對氣井進行產能優化時,僅考慮注采氣管柱的最優化即可。
3) 公式(12)壓力平方分布表達式表明:在井底附近,半球流穩定流比平面徑向流壓力變化快得多,在同等條件下,采用半球流穩定滲流計算的產氣能力要小于平面徑向穩定滲流計算的產氣能力。
參考文獻
[1] 趙樹棟.任丘碳酸鹽巖油藏[M].北京:石油工業出版社,1997.
[2] 杜金虎,鄒偉宏,費寶生,等.冀中坳陷古潛山復式油氣聚集區[M].北京:科學出版社,2002.
[3] 王皆明,張昱文,丁國生,等.任11井潛山油藏改建地下儲氣庫關鍵技術研究[J].天然氣地球科學,2004,15(4):405-411.
[4] 王洪光,許愛云,王皆明,等.裂縫性油藏改建地下儲氣庫注采能力評價[J].天然氣工業,2005,25(12):115-117.
[5] SMIT H C R,TRACY G W,FARRAR R L.實用油藏工程方法[M].岳清山,柏松章,譯.北京:石油工業出版社,1995.
[6] 葛家理.現代油藏滲流力學原理[M].北京:石油工業出版社,2003.
(本文作者:姜風光 王皆明 中國石油勘探開發研究院廊坊分院)
贊 賞 分享
您可以選擇一種方式贊助本站

支付寶轉賬贊助

微信轉賬贊助
- 注解:本資料由會員及群友提供僅供閱讀交流學習,不得用于商業用途!
