摘要:由于城市建設的快速發展,大中型城市普遍存在著“有限的土地資源與大量的天然氣基礎設施建設”相矛盾的現象,隨著天然氣需求量的增加,這一矛盾更為突出。如何利用現有管網設施提高管網輸送能力。是目前亟待解決的問題。本文結合北京市天然氣管網運行現狀和未來天然氣發展規劃,系統分析了提高管網輸氣能力的方法。提出了提高管網輸送能力的幾種方法,如升壓運行,中低壓轉換,擴大管徑,源點增設,并行于管增設,連通線增設,成環改造等。最后,用統計理論的方法得到管線長度和天然氣銷售量回歸方程,并分析了北京天然氣管網利用率。本文研究結果,可為城市燃氣管網改造提供科學的依據。
關鍵詞:天然氣;管網改造輸氣能力;管網利用率
Methods to Improve the Transmission Capacity of Beijing Existing Natural Gas Pipeline Network
Beijing Gas Group Co.,Ltd,Beijing Zhi Xiaoye,Liu Yan
Beijing Institute of Civil Engineering and Architecture,Beijing Du Xueping
Abstract:Due to the rapid development of urban construction. There is a contradiction between limited land resources and a large number of natural gas infrastructures,this phenomenon is common in our large and medium-sized cities. And with the increasing demand of natural gas the contradiction is becoming more evident. The urgent problem to solve is how to utilize existing gas facilities to improve the transmission capacity in natural gas pipeline network. According to both present running status and future development planning about Beijing natural gas distributing system,methods of improving pipe network transmission capacity are systemically analyzed in this paper. Such as improving the pipeline operating pressure,transferring low pressure to medium pressure,enlarging pipe diameter,adding source point,increasing parallel lines,connecting the near mainstay pipeline,making into ring pipe network,etc. Lastly in accordance with mathematic and statistic methods,the linear equation of total pipeline length and natural gas sales volume is obtained and utilization factor of gas distributing system is analyzed too. Results from this paper can serve as a scientific reference for gas distributing system alteration.
Keywords:natural gas;pipeline network alterations;gas transmission capacity;gas distributing system utilization factor
1 引言
北京燃氣事業始于1958年焦化廠人工煤氣向城區的供應。經過50余年的發展歷程,特別是1997年陜甘寧天然氣進京后的10余年,北京燃氣已具有相當的規模,擁有360萬用戶、管網11000、供應量55億m3/a、壓力級制5級。
隨著城市建設的發展,清潔能源使用量的增加,北京天然氣的發展仍具有廣闊的空間。目前,北京人均天然氣使用量為260m3/a,美國2006年人均天然氣使用量為2200m3/a。世界平均水平為430m3/a。若按北京2000萬人口計算,北京天然氣人均使用量達到美國2006年水平,天然氣年消耗量為440億m3,如達到目前世界平均水平,天然氣年消耗量為86億m3。根據北京城市總體規劃,2020年北京天然氣需求量應為120億m3。要達到這一目標。就需要
建立一套完善的保障天然氣安全穩定供應的管網輸配體系。而當務之急就是增加天然氣輸配能力以適應日益加大的天然氣供應量。
眾所周知,北京是千年歷史古都,需要保護的歷史古跡眾多。但為改善首都居民生活水平,實現城市發展總體目標,加快基礎設施的建設是不可或缺的。這就出現了有限的土地資源與大量的基礎設施建設相矛盾的現象。為此,挖掘現有設施潛力以適應城市快速發展的需求,是專業人員積極探索的問題。
2 北京天然氣管網輸送能力分析
截至2008年,北京天然氣管線總長為10892km,共有5種壓力級制,高壓A(4.0MPa)管線125km,高壓B(2.5MPa)管線315km,次高壓(1.0MPa)管線506kin,中壓(0.1MPa至0.4MPa)4100km,低壓管線(小于5kPa)5827km。北京天然氣管線中有60%是由原人工煤氣置換過來的。目前,仍有超過100kin管線運行年限超過20年。
2008年—2009年冬季高峰日輸送氣量為4230萬m3,小時高峰輸送量為210萬m3。自1997年以來,年高峰日輸送量平均增長率超過40%。若實現北京市120億m3天然氣供應量目標,據測算,高峰輸送量為10500萬m3,高峰小時輸送量為580萬m3。在現有管網最大運行壓力下,提高輸送能力的方法。一是增加進氣點既建調壓站,二是增加管線建設。北京天然氣高壓以上管線僅占總管線長度的8.6%,合理增建高壓管線是有必要的,也是有條件的。但中壓管線已占總管線長度的40%,中壓天然氣管線幾乎遍布市區所有主干公路,據北京天然氣管網規劃。2020年中壓管網輸送能力將由目前150萬m3增加到255萬m3。單靠增加中壓管線建設提高管網輸送能力即不經濟也不現實。因此,如何提高現有管網的輸送能力,是我們亟待解決的問題。
3 提高北京現有管網輸氣能力方法
3.1 提高管網運行壓力
以提高管網運行壓力來增大管網輸送能力無疑是最便捷的方法。因此,在條件允許下,應首先給以考慮。
3.1.1管網升壓潛力分析
圖1所示為北京市現有各級管網最大允許壓力降,及提高運行壓力時的最大允許壓力降。根據輸氣管道穩定流計算式可以得出起點壓力對流量影響的計算式
,假設升壓前后其它參數均不變,則輸氣能力的倍數關系為:
,假設升壓前后其它參數均不變,則輸氣能力的倍數關系為:
圖2為增加現有管網運行壓力,管網輸送能力提高倍數,表1是其利用式(1-1)的計算參數。計算結果表明,北京天然氣管網以提高運行壓力,增加管網輸送能力的潛力還是很大的。由于北京市天然氣管網受歷史發展情況的局限,管網升壓異常復雜,應根據實際情況進行認真分析,考慮舊有設施的最大允許壓力與實際承壓能力。切實做好各級管網天然氣升壓改造方案。

表1 北京市天然氣輸配管網升壓分析壓力參數表
|
|
原有起點壓力P1
|
原有終點壓力P2
|
升壓后起點壓力P1’
|
升壓后終點壓力P2’
|
設計壓力
|
|
中壓
|
0.1
|
0.05
|
0.1-0.4
|
0.05
|
0.4
|
|
次高壓
|
0.7
|
0.4
|
0.7-1.0
|
0.4
|
1.0
|
|
高壓A
|
1.6
|
1.0
|
1.6-2.5
|
1.0
|
2.5
|
|
高壓B
|
3.4
|
2.5
|
3.5-4.0
|
2.5
|
4.0
|
注:為了對比得出提升管網入口壓力的影響,這里假設管網升壓前后出口壓力不變,均為管網最低允許壓力:中壓0.05MPa、次高壓0.4MPa、高壓B1.0MPa、高壓A2.5MPa。
3.1.2提高管線運行壓力的安全風險分析
我國在2003年3月至2008年1月發生了67起重大天然氣管道事故,其原因分類見表4。從表中可知,造成天然氣管道事故的主要原因是第三方破壞,占全部事故的62.7%[4]。
實踐證明,管網長期低壓運行,一旦升高管網運行壓力將增大由于材料缺陷和腐蝕引起天然氣泄漏的機率。但是從歐洲燃氣管道的統計數據來看(圖3)。管道自身原因導致的泄漏往往比較輕微(針孔和裂紋)。發生重大事故的可能性較小。因此,升壓運行帶來的風險并不大,并且完全可以通過采取必要的保護措施加以規避。

3.2 中低壓轉換
在低壓管網運行區域內,若需要建設較大規模的燃氣鍋爐房,此鍋爐房必須使用中壓管網供氣,且現有區域內又確無條件敷設新的中壓管線,這時可考慮將現有帶用戶較少的低壓管線壓力升為中壓。此方法首先須將此管線上低壓用戶接到相鄰管線上,如沒有條件可為低壓用戶安裝樓前調壓設施。低壓管線升為中壓管線一般采用舊有管道中插入新管的改造方法,即管道插入法。
由于聚乙烯(PE)管具有摩阻系數低、壽命長、經濟性好等特點,在中壓以下管網中被廣泛使用,因此,一般新管常使用聚乙烯(PE)管。插管法與傳統的施工方法相比具有非開挖施工的優點,尤其是在舊有管道地處鬧市或穿越河流、重要道路時,施工快捷,成本較低。因此,可以說插入法是利用原有管道提高輸送壓力有效和實際的辦法之一。
表2 2003年3月至2008年1月我國天然氣管道事故原因分類
|
事故原因分類
|
事故原因
|
起數
|
占事故總數的比例%
|
比例合計%
|
|
第三方破壞
|
挖掘機挖斷
|
22
|
32.8
|
67.1
|
|
工程施工不當
|
20
|
29.9
|
||
|
車輛撞擊
|
3
|
4.5
|
||
|
材料缺陷
|
管道故障
|
6
|
9
|
15
|
|
試壓
|
2
|
3
|
||
|
氣溫變化
|
2
|
3
|
||
|
腐蝕
|
腐蝕
|
2
|
3
|
3
|
|
土體移動
|
塌陷
|
2
|
3
|
3
|
|
誤操作
|
處理不當
|
1
|
1.5
|
1.5
|
|
其它
|
原因不明
|
7
|
10.4
|
10.4
|
|
合計
|
67
|
100
|
||
3.3 增加管網氣源點
增設新的氣源點既增建調壓站是改善目前北京天然氣運行工況,提高管網輸送能力的有效方法,但由于北京市人口稠密,土地資源緊張,一般在三環內很難有建設新調壓站的位置,因此,可選擇地下調壓站方式。通過模擬冬季高峰運行工況進行管網計算,香格里拉以東三環內可建設1座地下調壓站,以解決附近壓力偏低的情況。
3.4 擴大管徑
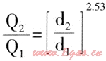
舊有的管網系統中管徑較小的管道有可能是制約管網通過能力的瓶頸。通過管網計算,北京市中壓管網主干線個別管段由于管徑較小,嚴重阻礙了管網輸送,應將此管段進行擴徑,如香山南路管線,管徑為DN400。全長4000m。其中有一段DN100,導致附近壓力偏低,若將此段管線改為DN400,附近壓力由0.04MPa,升到0.06MPa。圖5所示為擴大管徑對管輸能力提高倍數的影響,計算式:

d1,改造前的管內徑,mm;
d2,擴大后的管徑,mm。
假設其它參數不變,直徑大1倍而流量為原來的5.78倍,這也是輸氣管道向大口徑發展的主要原因。
3.5 管道增設
如表3所述,在現有管線基礎上,增加管線建設來提高壓力的方法有并行管線,加連通線和管網成環。但如何使建設最短的管線達到最大的效果,這就需要對管網進行模擬仿真計算。下面以某一天然氣供應區為例進行分析。
表3 管線增加位置與要點
|
管線增加
|
在舊有干管上增設并行干管
|
在確無其它低成本方法時采用
|
|
在系統的主要位置增加連接管
|
相交或相近的干線連接起來
|
|
|
將枝狀系統成環,或半成環改造成全成環系統
|
如成環管路較短,則花費較少就能提高管網能力
|
3.5.1工程實例分析
如圖5所示為北京市某區域天然氣管網圖,其供氣區域約為100km2。此區域內中壓管網氣源,為兩座高中調壓站,供應壓力為0.2MPa,高時總負荷70000(m3/h),負荷點422個.根據管網模擬軟件計算可知末端壓力為0.131MPa。處于該區域的東部(如上圖黑管線)。根據規劃此區域內負荷將有明顯的增加.因此.必須提早做出切實可行的管網改造方法。
方案1:增設平行干管
若沿原有供氣干線增設供氣管線,如圖6所示:從A點到B點大約需3km的管線。可使管線末端壓力增至0.138MPa。
方案2:增加連通線
把低壓力管線與臨近的干管連接起來,連接管線長為100m。如圖7所示,將B點跨越改為連接,可使末端壓力提高至0.15MPa。
方案3:成環改造
把東北部的末端連接起來,連接管線為1.5km。如圖8所示,使供氣干線ABCD4點成為環路,末端壓力可升至0.145MPa。
通過案例分析可以看出,最好的方案是管線相交處或相鄰處管線連接起來,其次是管網成環,并行干管最差。但選擇哪種改造方案還要根據實際施工條件來確定。一般來說,應首先采用連通線增設和成環改造方案,可使其效益最大化。




3.5.2燃氣輸配系統的利用效率
大量的國內外資料表明,城市管網管線長度與銷售量有明顯的線性關系,國際上常以總銷量(106m3)與系統總長度(km)的比值表示——燃氣輸配系統的利用效率[1]:

管道長度的增加是管網改造的主要成本之一,只有用管線總長度最小的管網銷售最大的用氣量,才能得到最高的系統利用效率。北京市天然氣用量近年來增長很大,負荷的增加與管網建設存在一定關聯,通過對1995年—2008年間北京市天然氣管線長度與天然氣消費量的變化進行分析,得出如下的回歸方程:

回歸系數b=148.5,其意義是若當年增加1億m3的天然氣銷售量,需要增加建設148km管線。北京市平均每建設1km管線的費用約為160萬元,那么每增加1億m3的天然氣銷售量則需要管線投資2.4億元。
我國1986年—1998年城市燃氣管道長度與銷售量回歸方程[1]為:

回歸系數b=162.5,其意義是若當年增加1億m3的天然氣銷售量,需要增加建設162.5km管線。從計算結果可知,北京天然氣管網系統利用率高于全國平均水平。其主要原因應是北京天然氣發展早于全國,目前已具有了相當的規模。
4 結語
提高現有管網輸送能力是城市天然氣管網亟待解決的問題,由北京天然氣管網分析可知,提高管網運行壓力、增加供氣點和適當地增加連通線是提高天然氣管網輸送能力的有效方法,但在管網改造實際工程中,具體采取何種方法要根據管網規劃負荷、路由情況、經濟承受能力等綜合因素分析確定。
參考文獻
1 李猷嘉.燃氣輸配系統的設計與實踐[M].北京:中國建筑工業出版社,2007.
2 (德)R·埃貝哈德,R·許寧(著),賴敬文(譯).燃氣供應技術手冊-燃氣輸配[M].成都:四川石油管理局勘查設計研究院,1992.
3 嚴銘卿,宓亢琪,黎光華,等.天然氣輸配技術[M].北京:化學工業出版社,2006.
4 王輝.我國城市天然氣管道事故統計及分析[J].安全健康和環境,2008(8).
5 Gerry Ferris,Jordan Severin. Pipeline Integrity Risk Assessment and Management[EB/OL].http:∥www.bgcengineering.info/,2007.
(本文作者:支曉曄1 劉燕1 杜學平2 1.北京市燃氣集團有限責任公司 100035;2.北京建筑工程學院 100044)
贊 賞 分享
您可以選擇一種方式贊助本站

支付寶轉賬贊助

微信轉賬贊助

