摘要:為系統總結華北地區各煤類的主要物性特征,指導煤層氣的勘探開發,對該區各種煤類共205件煤樣進行了壓汞實驗,分析了各煤類孔徑結構的比孔容、比表面積特征。基于180件煤樣的高壓等溫吸附實驗,探討了朗格繆爾體積(VL,daf)、朗格繆爾壓力與煤級的關系,發現朗格繆爾體積與煤級的關系呈現出兩段式變化模式,即煤化程度在Ro,max<4%之前,VL,daf隨Ro,max的增加而增大,當Ro,max>4%后,VL,daf隨Ro,max的增加而減少,而朗格繆爾壓力與煤級的關系復雜,數據十分離散。基于該區煤層氣試井成果(170層次試井儲層壓力、204層次試井滲透率),劃分了煤儲層試井儲層壓力、試井滲透率類型:該區以欠壓儲層為主,占69.4%左右,正常壓力儲層占27.1%,超壓儲層僅占3.5%,儲層壓力梯度總體隨埋深的增加呈現出增大的趨勢;超低滲透儲層占26.0%,低滲透儲層占36.8%,中滲透儲層占18.1%,高滲透儲層占19.1%,試井滲透率總體隨埋深的增加而減少。
關鍵詞:華北地區;煤層氣;儲層;孔隙性;吸附性;朗格繆爾體積;儲層壓力;滲透性
截至2010年,中國施工各類煤層氣井超過5400口[1],其中參數井約300口,主要分布在華北地區的山西、陜西、河南、河北、安徽等省,目的煤層主要為華北地區石炭二疊系山西組、太原組,涉及的主要煤類從氣煤至無煙煤,鏡質組反射率介于0.40%~4.50%。前人對單一煤類或局部地區煤儲層孔隙性、吸附性、試井儲層壓力、試井滲透率等進行過研究[2~6],但對華北地區總體煤儲層試井成果尚缺乏系統總結。
1 孔隙、吸附特征
1.1 孔隙特征
華北地區205個煤樣(煤類從褐煤至無煙煤,鏡質組反射率介于0.40%~4.50%,表1)的壓汞實驗表明,褐煤、長焰煤各孔徑結構中比孔容分布較均勻(表1、圖1);其他煤類中大孔、過渡孔占較高比例,中孔不發育,除氣煤達到11.65%外,其他均低于7.18%,尤其是貧煤、無煙煤大孔占比超過50%,中孔低于6.64%(表1、圖1),成為煤層氣解吸、擴散/滲流的“瓶頸”。


各煤類各孔徑結構中比表面積微孔、過渡孔占絕對多數(圖2、表2),成為煤層氣吸附的主要場所,大孔均低于0.82%,中孔除褐煤達到6.49%,長焰煤達到2.07%外,其他均低于0.82%(圖2、表2)。

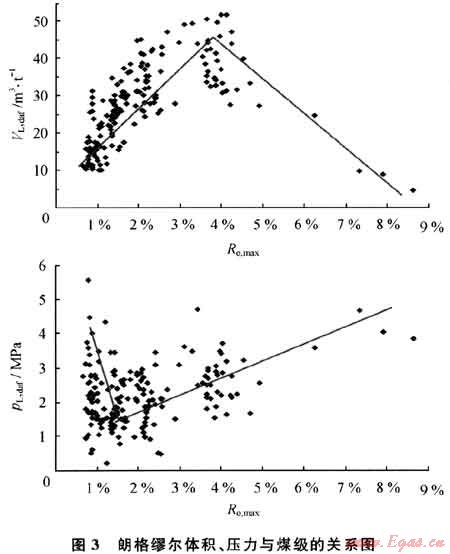
1.2 吸附特征
180件煤樣(Ro,max介于0.67%~8.61%)在30℃、平衡水條件下的等溫吸附實驗成果表明,朗格繆爾體積(VL,daf)介于4.69%~51.90%,呈現出兩段式變化模式,即煤化程度在Ro,max<4%之前,VL,daf隨Ro,amx的增加而增大,當Ro,max>40后,VL,daf隨Ro,max的增加而減少(圖3);朗格繆爾壓力(pL,daf)介于0.20~5.58MPa,在Ro,max<1.3%之前,pL,daf隨Ro,max的增加而減少,當Ro,max>1.3%后,pL,daf耐隨Ro,max的增加而增大(圖3),但數據十分離散。

2 試井儲層壓力、滲透率特征
2.1 儲層壓力特征
本次收集華北地區煤儲層試井儲層壓力170層次,主力煤儲層的儲層壓力梯度變化范圍為(0.15~1.24)MPa/100m,平均為0.71MPa/100m。
其中,嚴重欠壓儲層(儲層壓力梯度小于0.5MPa/100m)占21.2%,欠壓儲層(儲層壓力梯度介于0.5~0.75MPa/100m)占29.4%,略欠壓儲層(儲層壓力梯度介于0.75~0.90 MPa/100m)占18.8%,正常壓力儲層(儲層壓力梯度介于0.90~1.10MPa/100m)占27.1%,超壓儲層(儲層壓力梯度大于1.10MPa/100m)占3.5%(圖4)。儲層壓力梯度總體隨埋深的增加呈現出增大的趨勢(圖5)。


2.2 滲透率特征
本次收集華北地區煤儲層試井滲透率204層次,主煤儲層的試井滲透率變化范圍為0.0012~444mD,大多小于2mD。
超低滲透儲層(滲透率小于0.1mD)占26.0%,低滲透儲層(滲透率介于0.1~1.0mD)占36.8%,中滲透儲層(滲透率介于1.0~5.0mD)占18.1%,高滲透儲層(滲透率大于5.0mD)占19.1%(圖6、表3)。試井滲透率總體隨埋深的增加而減少(圖7)。



3 結論
1) 華北地區褐煤、長焰煤各孔徑結構中比孔容分布較均勻,其他煤類中大孔、過渡孔占較高比例,中孔不發育;各煤類各孔徑結構中比表面積微孔、過渡孔占絕對多數。
2) 華北地區石炭 二疊系各煤類朗格繆爾體積與煤級的關系呈現出兩段式變化模式,即煤化程度在Ro,max<4%之前,VL,daf隨Ro,max的增加而增大,當Ro,max>4%后,VL,daf隨Ro,max的增加而減少;朗格繆爾壓力與煤級關系復雜,數據十分離散。
3) 華北地區以欠壓儲層為主,占69.4%左右,正常壓力儲層占27.1%,超壓儲層僅占3.5%,儲層壓力梯度總體隨埋深的增加呈現出增大的趨勢。
4) 華北地區超低滲透儲層占26.0%,低滲透儲層占36.8%,中滲透儲層占18.1%,高滲透儲層占19.1%,試井滲透率總體隨埋深的增加而減少。
參考文獻
[1] 趙慶波,孫粉錦,李五忠,等.煤層氣勘探開發理論與實踐[M].北京:石油工業出版社,2011.
[2] 姚艷斌,劉大錳,湯達禎,等.沁水盆地煤儲層微裂隙發育的煤巖學控制機理[J].中國礦業大學學報:自然科學版,2010,39(1):6-12.
[3] 唐書恒.煤層氣試井設計方法[J].煤田地質與勘探,1999(2):29-31.
[4] 葉建平,史保生,張春才.中國煤儲層滲透性及其主要影響因素[J].煤炭學報,1999,24(2):118-122.
[5] 張群,崔永君,鐘玲文,等.煤吸附甲烷的溫度壓力綜合吸附模型[J].煤炭學報,2008,33(11):1272-1277.
[6] 陳剛,李五忠.鄂爾多斯盆地深部煤層氣吸附能力的影響因素及規律[J].天然氣工業,2011,31(10):47-49.
(本文作者:傅雪海1,2 邢雪2 劉愛華2 范炳恒2 周榮福2 1.新疆大學地質與勘查工程學院;2.中國礦業大學)
贊 賞 分享
您可以選擇一種方式贊助本站

支付寶轉賬贊助

微信轉賬贊助
- 注解:本資料由會員及群友提供僅供閱讀交流學習,不得用于商業用途!
