摘要:根據國際水和水蒸氣性質協會(IAPWS)1997年工業用計算標準(簡稱IAPWS-IF97)中的狀態方程,推導出水和蒸汽的體膨脹系數和壓縮系數的計算公式。該公式具有較高的精度,滿足工程計算的需要,提高了工程計算效率。
關鍵詞:蒸汽;體膨脹系數;壓縮系數;IAPWS-IF97標準
Volumetric Expansion Coefficient and Compressibility Coefficient of Water and Steam Based on IAPWS-IF97
LI Jia,SHI Xiumin
Abstract:Based on the state equation in IAPWS industrial formulation 1997(IAPWS-IF97),the calculation tormula of volumetric expansion coefficient and compressibility coefficient of water and steam are deduced.With a high accuracy,the formulations meet engineering caleulation requirements and improve the engineering calculation efficiency.
Key words:steam;volumetric expansion coefficient;compressibility coefficient;IAPWS industrial formu]ation 1997(IAPWS-IF97)
水和蒸汽的體膨脹系數及壓縮系數在傳熱學、工程熱力學和熱工水力計算中處于非常重要的地位。本文依據國際水和水蒸氣性質協會(IAPWS)提供的1997年工業用計算標準(簡稱IAPWS-IF97)中的狀態方程,推導出了水和蒸汽的體膨脹系數及壓縮系數的計算公式。IAPWS-IF97中的公式計算精度非常高,并且能夠極大限度地減少計算時間。因此,根據IAPWS-IF97推導出的計算公式計算所得的結果,比根據蒸汽表內插值法計算出的結果具有更高的精度,而且提高了計算效率。
1 體膨脹系數和壓縮系數的有效區域
IAPWS-IF97可以計算的有效區域由一個低溫區域和一個附加的高溫區域組成,其中低溫區域蒸汽溫度(T)和壓力(p)的范圍是273.15K≤T≤1073.15K,p≤100MPa;高溫區域蒸汽溫度和壓力的范圍是1073.15K≤T≤2273.15K,p≤10MPa。這也是本文推導出的計算公式所能計算的有效區域。本文中所有的壓力均為絕對壓力。
IAPWS-IF97將整個有效區域劃分為5個子區域(見圖1)。

圖1中,區域1為常規水區,區域2為常規蒸汽區,區域3為臨界水和臨界蒸汽區,區域4為飽和水和飽和蒸汽區(即蒸汽飽和曲線,曲線延伸至區域3中,圖中小圈表示包含端點),區域5為高溫區。區域2與區域3的分界由B23方程[1]確定。
2 體膨脹系數和壓縮系數的計算公式
根據工程熱力學的定義,體膨脹系數和壓縮系數分別是等壓情況下比體積隨溫度的變化率和等溫情況下比體積隨壓力的變化率,計算公式為:

式中αp——體膨脹系數,K-1
v——比體積,m3/kg
T——熱力學溫度,K
p——壓力,Pa

式中κT——壓縮系數,Pa-1
在IAPWS-IF97中,區域1、2和5給出的基本方程是Gibbs比自由能方程g(p,T)(對應的無量綱形式的Gibbs比自由能方程為γ(π,τ)),區域3給出的基本方程是Helmholtz比自由能方程f(ρ,T)(對應的無量綱形式的Helmholtz比自由能方程為φ(δ,τ)),區域4給出的基本方程是飽和壓力方程pS(T)和反推的飽和溫度方程TS(p),同時給出了基本方程的微分計算方程和熱力學參數關系方程。根據不同區域的方程,得到的體膨脹系數和壓縮系數計算公式也各不相同。
2.1 區域1中體膨脹系數和壓縮系數的計算公式
①體膨脹系數的計算公式
在區域1中,γ(π,τ)以折算壓力π和折算溫度τ為獨立變量。比體積與基本方程之間的關系表達式為:

式中R——水的比氣體常數,kJ/(kg·K),取0.461526kJ/(kg·K)
p0——基準壓力,Pa
T0——基準溫度,K
區域1中,p0=16.53MPa,T0=1386K。
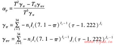
根據體膨脹系數的定義,體膨脹系數的計算公式推導如下:

式中γπ——γ(π,τ)對折算壓力的偏導數
γπτ——γ(π,τ)對折算壓力和折算溫度的二階偏導數
將式(3)代入式(1),得到體膨脹系數的計算公式:

式中ni,Ii,Ji——計算參數
本文各區域中的ni,Ii,Ji均參見文獻[1]中相應區域的取值。
② 壓縮系數的計算公式
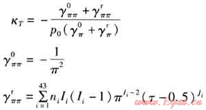
根據壓縮系數的定義,壓縮系數的計算公式推導如下:

式中γππ——γ(π,τ)對折算壓力的二階偏導數
將式(4)代入式(2),得到壓縮系數的計算公式:

區域1的計算壓力、溫度范圍為:
pS(T)≤p≤100MPa
273.15K≤T≤623.15K
式中pS(T)——溫度為T時的飽和壓力,MPa
2.2 區域2中體膨脹系數和壓縮系數的計算公式
① 體膨脹系數的計算公式
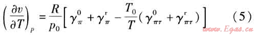
在區域2中,γ(π,τ)由理想氣體部分和剩余部分的無量綱Gibbs比自由能組成,以折算壓力π和折算溫度τ為獨立變量。比體積與基本方程的關系表達式如下:

區域2中p0=1MPa,T0=540K。
根據體膨脹系數的定義,體膨脹系數的計算公式推導如下:

將式(5)代入式(1),得到體膨脹系數的計算公式:

② 壓縮系數的計算公式
根據壓縮系數的定義,壓縮系數的計算公式推導如下:

將式(6)代入式(2),得到壓縮系數的計算公式:

區域2中的計算壓力、溫度范圍為:

式中p(T)B23——溫度為T時,由B23方程所確定的區域2、3的邊界壓力,MPa
2.3 區域3中體膨脹系數和壓縮系數的計算公式
① 體膨脹系數的計算公式
在區域3中,φ(δ,τ)以折算密度δ和折算溫度τ為獨立變量。壓力的關系表達式如下:

區域3中,ρ0=322kg/m3,T0=540K。
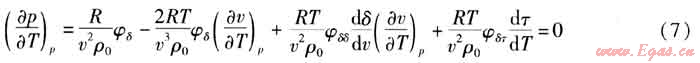
由于在區域3中給出的基本方程不是直接以p,T為獨立變量,因此,要使用隱函數求導的方法,將p看成是相對于T獨立的變量,然后將壓力的關系方程兩邊同時對T求偏導數,即:

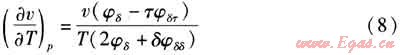
解方程(7)可得:

將式(8)代入式(1),得到體膨脹系數的計算公式:

式中φδτ——φ(δ,τ)對折算密度和折算溫度的二階偏導數
φδδ——φ(δ,τ)對折算密度的二階偏導數
② 壓縮系數的計算公式
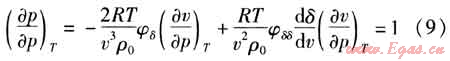
與體膨脹系數的計算方法類似,將壓力的關系方程兩邊同時對p求偏導數,即:

解方程(9)可得:

將式(10)代入式(2),得到壓縮系數計算公式:

上式中,φδ,φδδ的計算方法與本區域體膨脹系數計算公式中的計算方法相同。
區域3中的計算壓力、溫度范圍為:
p(T)B23≤p≤100MPa
623.15K<T≤T(p)B23
式中p(T)B23——溫度為T時,由B23方程確定的壓力,MPa
T(p)B23——壓力為p時,由B23方程確定的溫度,K
2.4 區域4中體膨脹系數和壓縮系數的計算方法
在區域4中,IAPWS-IF97給出的是飽和壓力方程pS(T)和飽和溫度方程TS(P)。因此,當分別求該區域中的飽和蒸汽和飽和水的體膨脹系數和壓縮系數時,可根據飽和壓力方程和飽和溫度方程,在已知p或T時,求出飽和時的另1個參數,確定計算參數所處的實際區域。
當溫度T≤623.15K時,飽和水的體膨脹系數和壓縮系數采用區域1中的計算公式進行計算,飽和蒸汽的體膨脹系數和壓縮系數采用區域2中的計算公式進行計算。
當溫度T>623.15K時,處于區域3中,此時在計算飽和水和飽和蒸汽的體膨脹系數和壓縮系數時,應分別計算出飽和水和飽和蒸汽的比體積,然后根據區域3中的計算公式進行計算。
2.5 區域5中體膨脹系數和壓縮系數的計算方法
在區域5中,γ(π,τ)由理想氣體部分和剩余部分的無量綱Gibbs比自由能組成,γ(π,τ)與比體積的關系表達式與區域2中的形式相同,因此,可以得到區域5中體膨脹系數和壓縮系數的計算公式。
體膨脹系數計算公式:

壓縮系數計算公式:

區域5中,p0=1MPa,T0=1000K。
區域5中的計算壓力和溫度范圍覆蓋了整個高溫區域,計算范圍為:
0MPa<p≤10MPa
1073.15K<T≤2273.15K
3 結論
根據IAPWS-IF97給出的基本方程,推導出了水和蒸汽的體膨脹系數和壓縮系數計算公式。由于IAPWS-IF97中的公式精確度較高(比體積相對誤差為±0.01%~±0.3%),并通過與實際數據進行對比,得知本文所推導出的計算公式計算結果相對誤差在±0.5%之內,完全能夠滿足工程計算的需要,同時能夠顯著提高工程計算效率。
參考文獻:
[1] WAGNER W,COOPER J R,DITFMANN A.et al.The IAPWS industrial formulation 1997 for the thermodynamic properties of water and steam[J].Eng.Gas Turbines Power,2000(122):150-182.
(本文作者:李佳 史秀敏 中國石油大學(華東)儲運與建筑工程學院 山東青島 266555)
贊 賞 分享
您可以選擇一種方式贊助本站

支付寶轉賬贊助

微信轉賬贊助
- 注解:本資料由會員及群友提供僅供閱讀交流學習,不得用于商業用途!
