摘要:建立了蒸汽管網模型,結合工程實例,驗證了模型可滿足工程精度要求。分析了蒸汽管網主管管徑、調峰熱源壓力、熱網結構對蒸汽質量損失率(凝結水沿程排放質量占供汽總質量的比例)的影響。
關鍵詞:蒸汽管網;數值模擬;凝結水;調峰熱源;熱網結構
Study on Numerical Simulation of Steam Pipe Network
LI Congcong,ZHANG Huan,ZHANG Hongyu
Abstract:The model for steam pipe network is established.Combined with an engineering example,it is proved that the model can meet the engineering accuracy requirements.The influence of main diameter of steam pipe network,peak shaving heat source pressure and heat-supply network strueture on steam mass loss rate that is the mass percentage of condensate emission along the way in total steam supply is analyzed.
Key words:steam pipe network;numerical simulation;condensate;peak shaving heat source;heat-supply network structure
我國蒸汽管網的規模不斷擴大,蒸汽供熱系統的運行優化成為現實問題。然而,蒸汽管網的特點決定了不可能在現場安裝大量測點進行多種工業實驗研究,因此根據研究對象的特點建立相應的數學模型進行模擬以獲取運行參數就成為指導蒸汽管網規劃設計、優化調度、合理排凝的一種重要而有效的手段[1~4]。A.Garcia-Gutierrez等人[5]應用PIPEPHASE、SIMSNET軟件對墨西哥一個地熱發電系統蒸汽管網進行模擬,前者能計算兩相流,后者能計算單相流,并分析了兩種軟件模擬結果的差異。殷戈等人[6]通過一些合理的假設,建立了單熱源的枝狀蒸汽管網二叉樹模型,管段壓力的求解針對的是低壓蒸汽管網,沒有考慮溫度的影響。本文對蒸汽管網進行數值模擬研究。
1 蒸汽管網模型
1.1 模型幾何結構
蒸汽管網模型由節點和計算管段兩部分構成。節點是管網中一個或多個管段流入或流出的地方,分為熱源、中間節點、末端用戶3類。計算管段代表實際管段,一個計算管段的蒸汽質量流量、管徑和敷設方式均相同。
1.2 模型簡化
考慮到蒸汽管網實際運行情況復雜,在建模過程中對管網進行簡化:采用長度相同的直管段代替彎曲管段;飽和蒸汽產生的凝結水被立刻排出;管道內蒸汽參數只隨管道長度變化,截面上蒸汽參數均勻分布。
1.3 模型控制方程
① 動量平衡方程
蒸汽流動過程中的動量平衡方程為:

式(1)中第1項為對流項,第3項為重力項。由于蒸汽流速一般為10~70m/s[7],因此對流項可忽略。考慮到蒸汽管網高差對壓力影響不大,因此可忽略重力項。式(1)可簡化為:

② 蒸汽質量平衡方程
運行過程中,計算管段蒸汽參數的變化見圖1。

蒸汽質量平衡方程為:
qm,in=qm,o+qm,c (3)
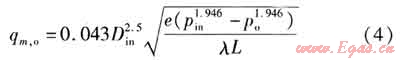
引入流量效率因數e,反映局部阻力的影響。無局部阻力的直管段取1.00,運行較好的管段取0.95,運行一般的管段取0.92,運行不好的管段取0.85。計算管段出口蒸汽質量流量qm,o的計算式為:

式中pin、po——計算管段進、出口的絕對壓力,Pa
L——計算管段長度,m
③ 能量平衡方程
對于圖1所示計算管段,能量平衡方程為:
qm,inhin=qm,oho+qm,chc+Φ (5)
飽和蒸汽段沿途有凝結水排出,熱量損失包括散熱損失和凝結水的熱量。過熱蒸汽段無凝結水排出(qm,c=0),熱損失僅為散熱損失。
計算管段散熱損失Φ的計算式為:
Φ=K△tmL (6)
式中K——計算管段單位長度的傳熱系數,kW/(m·K)
△tm——蒸汽與計算管段外界環境的對數平均溫差,℃
計算管段傳熱系數K的計算式為:

式中h1——計算管段內壁的表面傳熱系數,W/(m·K)
n——蒸汽管道保溫層層數
λi——第i層保溫材料的熱導率,W/(m·K)
Di+1——第i+1層保溫層的內直徑,m
Di——第i層保溫層的內直徑,m
h2——計算管段外壁的表面傳熱系數,W/(m2·K)
Do——計算管段外直徑,m
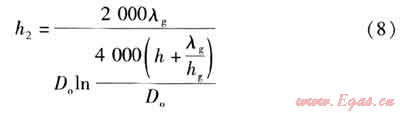
對于直埋蒸汽管道,h2的計算式為[7~10]:

式中λg——土壤的熱導率,W/(m·K)
h——管中心埋深,m
hg——土壤表面傳熱系數,W/(m2·K),取11.3~17.5W/(m2·K)
對于過熱蒸汽段,散熱損失Φ等于管道內蒸汽的顯熱損失,計算式為:
Φ=qm,in(hin-ho) (9)
對于飽和蒸汽段,散熱損失Φ等于蒸汽凝結釋放的汽化潛熱,計算式為:
Φ=qm,c(hin-hc) (10)
④ 節點質量流量平衡方程
節點質量流量平衡方程由基爾霍夫第一定律得到,即任意節點質量流量的代數和為0。
1.4 邊界條件
邊界條件為:熱源壓力已知,且恒定;用戶蒸汽質量流量恒定;室外溫度為實測值。所求變量為熱源質量流量、用戶壓力。
2 模型求解與驗證
2.1 模型求解方法及驗證數據
模型采用SynerGEE Gas軟件(作為一種通用型管網仿真工具,適用于天然氣、蒸汽、氧氣等管網的仿真和分析)求解,模型采用式(3)~(10)聯立并結合節點質量流量平衡方程,利用Newton-Raphson迭代法解方程組。
模型驗證數據來自天津空港加工區蒸汽管網,數據采自2009年9月27日(全天24h)熱源、用戶的流量和壓力,流量計為渦街式流量計,通過溫壓補償法計算蒸汽質量流量,測量相對誤差為±1%。
共42家用戶,末端用戶蒸汽設計資用壓力為0.6MPa。主熱源為4臺75t/h中溫中壓蒸汽鍋爐,最高供汽(過熱蒸汽)壓力為1.6MPa。調峰熱源采用4臺35t/h的飽和蒸汽鍋爐,供汽壓力為0.9MPa。供熱系統規劃負荷為384t/h,輸送半徑為12.77km,管網總長為36.48km。從主熱源開始位置計算的3km內為過熱蒸汽段。熱網布置形式見圖2。

2.2 用戶壓力驗證
經計算對比,用戶壓力的計算值與實測值相對誤差為±5%以內的占83%,最大相對誤差不超過±10%,模型的計算精度能夠滿足工程要求。大部分計算值都高于實測值,原因為:一些用戶的壓力表分度值選擇不當,測量誤差較大。模型未考慮蒸汽帶水,實際上兩相流的阻力大于單相流。
2.3 熱源質量流量驗證
熱源質量流量的實測值與計算值隨時間的變化見圖3。由圖3可知,除9:00和17:00偏差較大外,其余時刻相對誤差均在±10%以內,全天質量流量的計算值與實測值的平均相對誤差為-4.1%。由于9:00與17:00為上、下班時間,管網流量波動較大,系統處于非穩態,因此計算值與實測值偏差較大。

3 管網運行狀況模擬分析
由圖3可知,目前管網最大質量流量約77t/h,沒有達到規劃負荷384t/h。下面模擬不同供汽主管管徑、調峰熱源壓力和管網結構形式對蒸汽質量損失率的影響。將凝結水沿程排放質量占供汽總質量的比例定義為蒸汽質量損失率,蒸汽質量損失率越小說明管網運行效率越高。
① 供汽主管管徑的影響
主熱源到調峰熱源的一段管道為供汽主管,規格為DN 800mm,長度為5.6km。選取10:00用戶質量流量實測值與熱源壓力實測值,計算減小主管管徑對蒸汽質量損失率的影響。主管管徑變化對蒸汽質量損失率的影響見圖4。由圖4可知,在目前的負荷下,隨著供汽主管管徑減小,蒸汽質量損失率相應降低。計算過程未出現由于管徑減小而導致末端用戶壓力不滿足要求的情況。原因在于,管網末端用戶距熱源較遠,管道阻力主要集中在主管以后,因此即使主管規格降至DN 400mm,仍能滿足末端用戶的壓力要求。

② 調峰熱源壓力的影響
調峰熱源的主要作用是調峰,必須合理調節調峰熱源壓力以保證供汽壓力。采用10:00用戶質量流量實測值與熱源壓力實測值計算調峰熱源出口壓力降低對管網運行狀況的影響。主熱源出口壓力保持928kPa,調峰熱源壓力由實際的925kPa降低至能夠滿足末端用戶壓力的905kPa,用戶流量不變。蒸汽質量損失率隨調峰熱源壓力的變化見圖5。

由圖5可知,較低的調峰熱源出口壓力可以降低蒸汽質量損失率。原因在于:當調峰熱源壓力過高時,部分管段兩端壓差低,導致管內蒸汽流動過緩,甚至停滯,大部分蒸汽凝結成水排出管道。調峰熱源壓力降低后,存在流動過緩現象的管道數量減少,蒸汽質量損失率減小。因此,在投入調峰熱源時,壓力若能夠保證用戶需求,不應再提高。可在調峰熱源出口加裝壓力表和壓力傳感器,實現實時監測、調整。
③ 管網結構的影響
為保證管網連續供汽,此管網設計為環狀,在目前供汽量較小的情況下,會產生蒸汽在環網中流動距離過長、散熱損失增大問題。切斷用戶15與16間的管道,將環網管網改為枝狀管網。3:00、10:00環狀管網、枝狀管網的蒸汽質量損失率見表1,3:00調峰熱源不運行,10:00調峰熱源運行。
表1 3:00、10:00環狀管網、枝狀管網的蒸汽質量損失率 %
|
時間
|
3:00
|
10:O0
|
|
環網管網
|
32.78
|
19.46
|
|
枝狀管網
|
30.72
|
18.28
|
由表1可知,在目前管網供汽量較少的情況下,枝狀管網可以降低1%~2%的蒸汽質量損失率。綜合考慮供汽的連續性,可以在設定切斷的管道上安裝閥門,手動切換管網結構,在某管段故障時采用環狀管網保證供汽的連續性,在管網運行良好時采用枝狀管網降低蒸汽質量損失率。
4 結論
① 減小供汽主管管徑,有利于控制蒸汽質量損失率。
② 調峰熱源出口壓力不宜太高,保證用戶壓力即可。
③ 環狀管網能夠保證供汽的連續性,枝狀網能降低蒸汽質量損失,可在適當位置安裝閥門,手動調節管網結構。
參考文獻:
[1] 李祥立,鄒平華.分段積分法蒸汽管網水力計算[J].煤氣與熱力,2005,25(3):48-51.
[2] 李祥立,鄒平華,端木琳.凝結水網經濟比摩阻的計算[J].煤氣與熱力,2006,26(3):59-62.
[3] 趙健新,李曉紅,盧義玉.蒸汽管道流動的瞬變特性研究[J].煤氣與熱力,2008,28(3):A09-A11.
[4] 周游,李成樂.Excel在蒸汽管網水力計算的應用[J].煤氣與熱力,2010,30(5):A17-A20.
[5] GARCIA-GUTIERREZ A,MARTINEX-ESTRELLA J I,HERNAN-DEZ-OCHOA A F,et al.Development of a numerical hydraulic model of the Los Azufres steam pipeline network[J].Geothermics,2009,38(3):313-325.
[6] 殷戈,葛斌,王培紅.蒸汽管網熱力系統的建模與軟件開發[J].熱力發電,2008,37(5):24-28.
[7] 湯惠芬,范季賢.城市供熱手冊[M].天津:天津科學技術出版社,1991:240-241.
[8] 宋永軍,呂君.蒸汽直埋復合保溫管的熱工計算[J].電站系統工程,2003,19(3):21-22.
[9] 陳鴻恩,莫理京.高土壤熱阻地區供熱管道直埋敷設的保溫問題[J].區域供熱,1999(5):14-18.
[10] 莫理京,張驥.關于直埋保溫管道傳熱計算方法的探討[J].石油工程建設,2002,28(1):13-17.
(本文作者:李聰聰1 張歡1 張紅玉2 1.天津大學環境科學與工程學院 天津 300072;2.天津市房屋鑒定勘測設計院 天津 300070)
贊 賞 分享
您可以選擇一種方式贊助本站

支付寶轉賬贊助

微信轉賬贊助
- 注解:本資料由會員及群友提供僅供閱讀交流學習,不得用于商業用途!
