摘要:介紹了英國ESI能源集團開發的TGNET軟件的特點、用途和使用步驟;結合杭州市高壓燃氣管道的建設情況,介紹了該軟件在城市高壓燃氣管道設計中的應用。
關鍵詞:TGNET軟件;高壓燃氣管道;輸氣能力;調峰儲氣;動態模擬
1 前言
在城市高壓燃氣管道設計中,供氣管網的水力工況計算是最重要的環節,特別是在一些采用高壓管道作為城市調峰儲氣設施的城市,此時的高壓管道兼具有輸氣和調峰儲氣的雙重功能,如何保證城市高壓燃氣管道建設的經濟性和調峰儲氣的可靠性是設計中必須認真對待的問題之一。TGNET軟件具有強大的動態模擬計算功能,能夠模擬城市用氣的不均勻性,是用于城市高壓燃氣管道規劃設計中管徑選擇及優化的較好軟件之一。
本文結合杭州市高壓燃氣管道建設的實際情況,介紹了TGNET軟件在城市高壓燃氣管道設計中的應用.
2 TGNET軟件簡介
本文所采用的TGNET軟件是英國ESI能源集團開發出品的業界領先的Pipeline Studio軟件,是經過使用證明的、歷史悠久的氣體管道離線模擬軟件,能夠對輸氣管道中的單相流進行穩態模擬和動態模擬;可以模擬簡單的單管輸送模型,也可以模擬包括多個氣源和用戶,多個復雜的環狀管網、多臺壓縮機和冷卻器以及其他影響管網操作和運行參數的設備閥門等在內的大型區域性集輸系統,已經在全世界得到了廣泛的應用。
2.1 TGNET軟件模擬的基本方程
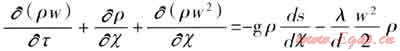
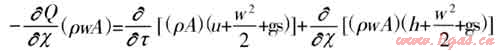
TGNET進行管網模擬使用的基本方程是一組偏微分方程:質量守恒方程、能量守恒方程和動量守恒方程。
質量守恒方程:

能量守恒方程:

動量守恒方程:

雖然進行穩態模擬時,在有些情況下為了快速求得近似解可以選用代數方程。但省缺的做法總是使用隱式有限差分技術求解上述偏微分方程,而且在進行動態模擬時一律是求解偏微分方程。
與基本方程配套的其他方程有:
狀態方程:Sarem方程、范德瓦爾斯(Peng-Robinson)方程、SRK方程、Peng方程、BWRS方程。
摩阻公式:威莫斯公式、潘漢德公式、潘漢德修正公式、科爾布魯克公式。
此外還有很多與離心式壓縮機、往復式壓縮機、壓力調節器、流量調節器、截斷閥、阻尼元件等相關的配套方程。
2.1 使用TGNET的主要步驟
(1) 建立管網模型
所謂建立管網模型實際上是建立一個基本數據輸入條件,TGNET把這一文件稱為KEYWORD文件。包括繪制管網模型結構圖、輸入管網元件的參數、輸入氣體參數、指定約束條件和設定值等。
(2) 管網模型的有效性檢查
新建立的管網模型或對原模型做了大量修改時,需要進行一次管網有效性檢查。此項檢查的內容包括:管網元件連接關系檢查、是否缺少必須輸入的數據、數據是否有效等。檢查出的錯誤分為兩類,警告和錯誤。警告是需要改正的非關鍵性錯誤;錯誤是必須改正的關鍵性錯誤,如果不改正就不能進行模擬。TGNET把讀到的輸入文件和發現的錯誤用一種清晰的格式顯示出來,使用戶很容易找到自己的管網模型存在的問題。
(3) 進行穩態模擬
TGNET根據前面的設置條件把各管段劃分成很小的計算段進行計算。只要模型元件的參數和連接關系正確,沒有相互矛盾的約束條件,控制方式合理,在大多數情況下都能得到收斂解。
(4) 進行動態模擬
當管網負荷變化很大,或需要了解管網在各種調度工況和事故工況下的性能時需要進行動態模擬。TGNET可以用批處理方式或交互(互動)方式進行動態模擬。
以批處理方式運行動態模擬速度較快,但程序運行時看不到模擬過程的中間結果,而且不能中途改變約束條件和控制方式。但由于動態模擬花費的時間較長,當確信在規定的模擬時間內不會產生無法求解的情況時,宜于用批處理方式進行動態模擬。
以交互方式運行的動態模擬,除具有以批處理方式運行時的全部功能外還增加了若干功能。在程序運行時可以看到指定模型元件狀態的變化,可以隨時暫停模擬過程,查看所關心的參數,檢索和保存不斷變化著的模型狀態,干預數據的顯示方式,改變約束條件和控制方式,然后繼續進行模擬,但是,這種方式的運行速度太慢,要求記憶的命令較多。當不定因素太多,時間要求不高時,宜使用以交互方式運行的動態模擬。
以批處理方式運行動態模擬的必要條件是管網模型要有一個初始狀態。最常用的初始狀態是穩態計算的結果,以前動態模擬的結果也可以作為下一次動態模擬的初始狀態。任何模型初次運行動態模擬之前都需要先作穩態模擬。
(5) 查看模擬計算結果
TGNET軟件可以用圖表方式查看管道沿線壓力、流量、溫度、高程等數據的變化情況。
3 應用實例分析
根據《杭州市區燃氣專項規劃》(2006~2020),杭州市區采用杭州繞城高壓燃氣管道作為城市調峰儲氣設施,并對其可行性進行了充分的論證分析。2011年6月,杭州華電下沙天然氣熱電廠項目作為浙江省2011年新增電廠之一得到了省發改委的批復,杭州天然氣有限公司擬自下沙門站建設約4.5km的高壓燃氣管道專線對杭州華電下沙天然氣熱電廠進行供氣,根據溝通,該電廠的月、日用氣不均勻性將由上游省天然氣公司解決,但小時用氣不均勻性必須由杭州天然氣有限公司解決。由于擬建4.5km的電廠供氣專線調峰能力非常有限,因此,考慮將電廠的調峰與杭州市的城市用氣調峰作為整體一起考慮,但由于《杭州市區燃氣專項規劃》(2006~2020)中并沒有考慮到電廠的調峰,因此,需要對其可行性進行分析論證。在研究過程中采用TGNET軟件對2012年、2013年、2015年、2020年管網的水力工況進行了動態模擬,本文僅對2012年的模擬過程進行分析說明。
3.1 管網模型的建立
根據杭州市天然氣高壓管網建設進度,2012年高壓管道全長約89km,管徑均為D610×11.9。有兩個氣源點供氣,下設10個高中壓調壓站供城市中壓管網用氣,考慮在氣源點02建設約4.5km的高壓燃氣管道專線對電廠進行供氣,為保證電廠的用氣壓力,在進城市高壓管網的管道上設置了流量調節閥確保閥前壓力滿足電廠用氣壓力要求。管網模型如圖1。

3.2 相關基礎資料及約束性條件
(1) 管網資料
管網各管道參數如表1所示。
表1 采用TGNET軟件建立的管網模型圖
|
管段編號
|
管徑(mm)
|
管長(km)
|
管段編號
|
管徑(mm)
|
管長(km)
|
|
管道01
|
610×11.9
|
7.4
|
管道08
|
610×11.9
|
5.2
|
|
管道02
|
610×11.9
|
9.1
|
管道09
|
610×11.9
|
7.4
|
|
管道03
|
610×11.9
|
6.98
|
管道10
|
610×11.9
|
5.4
|
|
管道04
|
610×11.9
|
9.7
|
管道11
|
610×11.9
|
8.3
|
|
管道05
|
610×11.9
|
0.5
|
管道12
|
610×11.9
|
9.4
|
|
管道06
|
610×11.9
|
10.O
|
管道13
|
610×11.9
|
0.3
|
|
管道07
|
610×11.9
|
10.0
|
管道14
|
610×11.9
|
4.5
|
(2) 各用戶24h用氣量
用戶01~用戶10為供城市用戶的高中壓調壓站,24h用氣量按照杭州市歷史統計資料和2012年規劃總用氣量進行計算求得,2020年計算范圍內城市用戶高峰日總用氣量為262.9×104Nm3/d;用戶11為供電廠用戶,由于暫時沒有準確的電廠用氣曲線,根據與電廠設計單位的溝通及參照相似電廠的運行規律,按照管網最不利的情況考慮,14:00~21:00電廠按滿負荷運行(小時用氣量為6×104Nm3/h),其余時間按照70%的負荷運行(小時用氣量為4.2×104Nm3/h)。
(3) 相關約束性條件
兩個氣源點的供氣壓力均為3.6MPa,氣源01最大小時供氣能力為14×104Nm3/h;氣源02最大小時供氣能力為8×104Nm3/h,且按照總日供氣量24h平均均勻供氣。至用戶11的最低壓力不低于3.5MPa,至其余用戶的最低壓力不低于0.6MPa。
3.3 模擬計算結果
為保證至用戶11的最低壓力不低于3.5MPa,模擬過程中對流量調節閥的參數進行了設置,確保其閥前壓力不低于3.5MPa。各氣源點及最不利用戶(用戶06)的48h流量-壓力曲線如圖2、圖3、圖4所示。從模擬計算結果可以看出,在增加電廠用氣的情況下,2012年采用高壓管道儲氣調峰能夠滿足要求,管網最不利點用戶的最小運行壓力為1.86MPa。

4 結束語
通過上述實例分析可以看出,TGNET軟件功能強大,使用方便,幾乎可以處理天然氣管道項目中所有的管道計算問題,對于高壓管道的設計具有較大的幫助作用。利用動態模型可以直觀的計算出各氣源點和用戶的流量、壓力的動態變化規律,解決了一些常規計算方法無法計算的問題。另外,該軟件還可以直接考察管網運行時各用戶的供需平衡情況。這對傳統的采用管網靜態壓差和管網水容積等參數來估算管道調峰儲氣的辦法提出了挑戰。
隨著“西氣東輸”、“川氣東送”、“陜京線”工程的投產以及“西氣東輸二線”、“進口LNG”等工程建設步伐的加快,根據國家天然氣利用政策,我國大部分省市已積極的開展了城市天然氣利用工程的建設,不少城市都選擇了高壓管道儲氣作為城市調峰儲氣設施。在規劃、設計過程中我們應該充分利用TGNET軟件等一些國際上公認的、功能強大的計算軟件來進行模擬計算,確保管道建設的經濟性和可靠性。
參考文獻
1 城鎮燃氣設計規范GB 50028-2006
2 輸氣管道工程設計規范GB 50251-2003
3 王松漢.石油化工設計手冊[M].北京:化學工業出版社,2001
4 段常貴,王民生.燃氣輸配(第三版)[M].北京:中國建筑工業出版社,2001
(本文作者:孫佩奇 劉文俊 潘文佳 孫榮澤 杭州市城鄉建設設計院有限公司 310004)
贊 賞 分享
您可以選擇一種方式贊助本站

支付寶轉賬贊助

微信轉賬贊助
- 注解:本資料由會員及群友提供僅供閱讀交流學習,不得用于商業用途!
