摘要:普光氣田具有地形復雜、埋藏深、儲層相變快、邊水發育等特點。為確保氣田的高效開發,在論證了采用水平井開發的可行性基礎上,研究了水平井優化設計方法。首先,根據邊際貢獻法測算的鉆遇氣層厚度下限等技術經濟指標,確定了部署水平井的區域;然后,根據單井地質模型,建立水平井與直井產能關系,優化水平段長度;最后,考慮儲層展布、構造走向、井網井距、氣水關系等因素,優化井身軌跡。結論認為:在氣層厚度相對較薄的區域及氣水邊界附近采用水平井開發可提高氣田整體開發水平,優化設計水平段長度控制在400~600m,Ⅰ、Ⅱ靶點分別距離氣層頂、底10m左右為宜。該技術在普光氣田開發井設計中取得了較好的實施效果,對類似氣藏的開發具有借鑒意義。
關鍵詞:普光氣田;開發;水平井;技術經濟界限;優化設計;生產能力;井身軌跡優化
1 氣田概況
普光氣田構造上處于川東斷褶帶向北延伸部分并緊鄰大巴山褶皺帶的南緣,為一系列北東向排列的斷背斜構造,具有地形復雜、超深層、含氣井段長、儲層非均質性強[1]、邊水發育等特點(圖1)。開發方案中井位部署以直井和定向井為主,但為確保氣田高效開發,從技術經濟界限、產能等方面論證了鉆水平井的可行性,最終在氣層厚度相對較薄的區域和氣水邊界附近部署了一批水平井,并通過優化設計[2~7],取得了較好的開發效果。

2 水平井鉆遇氣層厚度下限確定
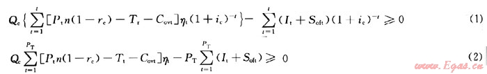
評價氣田鉆新井開發是否有效益,目前常用的方法是邊際貢獻法(即通過研究現有開發技術和財稅體制下,滿足基準投資回收期(6a)內鉆新井收回全部投資、采氣操作費并獲得最低收益率(12%)時所應達到的最低產量或儲量值)來評價鉆新井的可行性[8~9]。首先,通過經濟評價,確定單井初期產量界限;然后,根據產量遞減規律,確定單井經濟可采儲量、單井控制地質儲量;最后,根據開發井網、井距,計算單井鉆遇氣層厚度界限值。
1) 單井初期產量界限。當新鉆井初期產量大于該界限值時,經濟上才是可行的。應同時滿足以下關系式:

式中Qc為新井初期產量界限,104m3;t為經濟評價期,a;Pt為油氣價格,元/103m3;n為商品率,小數;rc為稅金及附加比率;Tr為資源稅,元/103m3;Covt為單位變動成本,元/103m3;ηt為無因次產量變化系數;ic為基準收益率,%;PT為投資回收期,a;It為單井新增投資,萬元;Soft為固定費用,萬元/a。
2) 單井經濟可采儲量界限。當氣井的邊際效益等于零時,應該采取措施或關井。氣井從開始生產到達到關井產量界限時的累計產量為經濟可采儲量。即
GRC=∑Qt (3)
式中GRC為單井經濟可采儲量界限,104m3;Qt為年產氣量,104m3。
3) 單井控制地質儲量界限。根據單井經濟可采儲量界限及預測采收率,可計算直井、水平井單井控制地質儲量邊際值。即
Nc=∑Qt/Er (4)
式中Nc為單井控制地質儲量界限,104m3;Er為經濟采收率,小數。
4) 單井鉆遇有效厚度界限。根據單井控制地質儲量邊際值,計算在合理井距下單井鉆遇的氣層有效厚度界限值。即
h=Nc/(A×δ) (5)
式中h為單井鉆遇有效厚度界限,m;A為單井控制面積,km2;δ為單儲系數,104m3/(km2·m)。
在氣藏地質研究和經濟評價參數確定基礎上,選擇代表性井開展單井產量變化模式數值模擬研究,測算出在穩產6~10a的條件下,普光氣田直井要求單井初期產量40×104m3/d,單井控制儲量32×108m3,鉆遇有效厚度134m;水平井要求單井初期產量44.5×104m3/d,單井控制儲量34×108m3,鉆遇有效厚度89m。即在氣層厚度小于134m的區域可部署水平井,但如果氣層厚度太薄,小于89m,則鉆水平井(井距一定)也無效益。
據此,在普光氣田部署了7口水平井。其中,5口水平井部署在構造低部位氣水內邊界線附近;2口井部署在氣層厚度發育較薄區域(圖2)。
3 水平井段長度優化
根據天然氣水平井和直井的產能公式,采用普光氣田平均參數建立單井地質模型,研究了水平井與直井的產能關系(圖3)。可以看出:在不考慮水平井筒摩阻的情況下,隨著氣層厚度的增加,水平井與直井產能比減小,即氣層厚度越小,越能夠體現水平井的優勢;氣層厚度一定時,隨著水平井段長度的增加,水平井與直井產能比提高,但并不是水平井段越長,其產能提高效果越佳。

在氣層厚度較小時,隨著水平井段的增加,水平井與直井產能比提高倍數增長較快;在氣層厚度較大時,隨著水平井段的增加,水平井與直井產能比提高倍數增長相對較慢。同時,水平井段的加長,還意味著鉆井難度的加大和鉆井費用的增加。因此,應把長度控制在一個合理的范圍內。
一般經驗,水平段長度為有效厚度的6~10倍,且水平段距邊水的距離不少于有效厚度的4倍。普光氣田水平井設計區域氣層厚度為89~134m,根據普光
氣田單井數值模擬結果,綜合儲層厚度、產能要求等因素分析,水平段長度設計應控制在400~600m。
4 水平井井身軌跡優化
4.1 水平井方位優選
水平井方位一般是沿儲層發育方向,設計在預測一、二類儲層厚度大、分布穩定的位置。同時盡可能垂直于裂縫發育方向,以有利于鉆遇更多的裂縫。
一般的,水平段距邊水的距離不少于有效厚度的4倍。普光氣田受山地地形條件限制,鉆井平臺在開發初期已經確定。為確保水平井鉆遇有利儲層,以井臺為圓心多角度觀察、分析儲層預測和含氣性預測成果,優先選擇預測結果較佳位置。同時,考慮構造走向、井網井距、氣水關系等因素,綜合確定水平井位置。
4.2 水平井靶點垂向位置確定
常規單層或具底水油氣藏的數值模擬顯示,水平井段距離油氣層頂部越小越好,避水厚度為有效厚度的0.7~0.9倍。但普光氣田氣層厚度較大,主要是邊水發育,為具有層狀特征的塊狀氣藏,氣層內部一、二、三類層交錯分布,非均質性極強。參考氣田單井數值模擬結果,考慮地層傾角等因素,設計水平井段最好是從整個主力層段穿過,Ⅰ、Ⅱ靶點一般分別距離氣層頂、底10m左右,以保證最大泄氣范圍。
5 水平井應用效果
普光氣田目前已完鉆6口水平井,鉆遇氣層厚度介于398.6~623.5m之間,均達到或超過設計指標。如P202-2H井,原為部署在P202井臺上的1口定向井,根據該井臺上P202-1井(直井)實施情況及儲層預測結果(圖4),該井區氣層厚度介于120~150m,且縱向上分布比較集中,適合打水平井,因而重新進行了井型優化。該井設計水平段長470m,鉆遇氣層厚度602m,比設計為斜井多鉆氣層400m。2009年5月,該井投產試氣,射開氣層558m,測試無阻流量686×104m3/d。

6 結論
1) 普光氣田適合鉆水平井的條件為構造低部位氣水邊界附近或氣層厚度達不到鉆直井(斜井)技術經濟界限(134m)的區域。
2) 設計水平段從整個主力層段穿過,Ⅰ、Ⅱ靶點分別距離氣層頂、底10m左右,長度控制在400~600m。
3) 應用水平井優化設計技術,在普光氣田產能建設中取得了較好效果,為培育高產氣井奠定了基礎。
4) 總結形成的一套水平井優化沒計技術方法可推廣應用到普光周邊類似氣藏的開發。
參考文獻
[1] 張喜亭,譚秀成,畢建霞,等.普光氣田飛仙關組鮞粒灘分布規律研究[J].油氣地質與采收率,2009,16(2):11-16.
[2] 萬仁溥.中國不同類型油藏水平井開采技術[M].北京:石油工業出版社,1997.
[3] 鄒國慶,成榮紅,施英,等.利用水平井提高買7凝析氣藏采收率[J].天然氣工業,2007,27(4):82-84.
[4] 毛風華,劉征權,張建東,等.水平井技術在澀北氣田的應用[J].天然氣工業,2007,27(7)35-38.
[5] 相建民.塔里木油田水平井優化設計方法及跟蹤效果評價[J].天然氣地球科學,2006,17(4):435-438.
[6] 陳昊,王軍,莫小國.中原油田水平井地質評價技術[J].國外油田工程,2005,21(7):42-44.
[7] 孫煥泉,王增林.勝利油田水平井技術文集[M].北京:石油工業出版社,2008:107-185.
[8] 周英杰.勝利油區厚層底水斷塊油藏水平井經濟技術政策界限[J].油氣地質與采收率,2007,14(4):59-61.
[9] 于士泉,羅琳,李偉,等.徐深氣田升平開發區火山巖氣藏幾個開發技術經濟界限探討[J].大慶石油地質與開發,2007,26(4).73-76.
(本文作者:靳秀菊1 畢建霞1 劉紅磊1 王秀芝2 李繼強1 1.中國石化中原油田勘探開發科學研究院;2.中國石化石油勘探開發研究院)
贊 賞 分享
您可以選擇一種方式贊助本站

支付寶轉賬贊助

微信轉賬贊助
- 注解:本資料由會員及群友提供僅供閱讀交流學習,不得用于商業用途!
