摘要:實施LNG應急儲備對于我國北方特大型城市應對極端寒冷天氣導致的“氣荒”具有重要意義,而儲備設施的合理規模如何確定是值得探討的一個重要問題。為此,通過將天然氣管網時序負荷曲線轉化為負荷持續曲線(將日負荷曲線按大小順序重新排列得到),分析了冬季用氣高峰時段的天然氣管網負荷特性,利用數值擬合得到的5次多項式方程導出了冬季缺口氣量計算式,進而解決了已有LNG應急儲備與管網負荷的匹配問題以及規劃階段LNG應急儲備規模的確定問題,為大型LNG儲備設施的規劃提供了依據。
關鍵詞:城市天然氣;應急儲備;規模;負荷持續曲線;時序負荷曲線LNG;儲氣調峰;補充氣源
2009年11月初,全國普降大雪導致低溫惡劣天氣,受此影響,我國天然氣供應局勢趨于緊張,部分城市和地區出現了無氣可加的“氣荒”現象[1~2]。雖然北京市天然氣供應在這次“氣荒”中相對平穩,但是隨著天然氣管網負荷的進一步增大,極端寒冷天氣導致的天然氣供氣緊張局面有可能再度出現。加緊實施LNG應急儲備規劃,對于保障北京市的天然氣供應具有重要意義[3~5]。為此,著重探討了LNG應急儲備規模的確定及已有LNG儲備與天然氣管網負荷的匹配問題。
1 天然氣管網負荷持續曲線
傳統的天然氣管網負荷曲線是將天然氣輸配系統1年內的日負荷量按時間順序排列后得到的曲線[6],也稱時序負荷曲線。圖1為北京市2007年4月1日至2010年3月31日的天然氣管網時序負荷曲線。
實施LNG應急儲備主要是為了解決用氣高峰時段供氣不足的問題。利用天然氣管網負荷持續曲線(Load Duration Curve,LDC)可以突出顯示用氣高峰的持續時間和管網負荷大小等信息。天然氣管網負荷持續曲線是將時序負荷曲線按照大小順序重新排列后得到的曲線,它包含了最大負荷、最小負荷、負荷累積持續時間及負荷出現的概率等大量信息[7~8]。圖2為北京市2007年4月1日至2010年3月31日的天然氣管網負荷持續曲線。
2 冬季用氣總量
由圖2可知同一地區的天然氣管網負荷持續曲線具有相似性,為了研究極端天氣條件下的天然氣管網負荷特性,現取北京市2009年4月1日至2010年3月31日的天然氣管網負荷持續曲線,將夏季負荷截去后,留下冬季高峰用氣時段150d的負荷曲線,如圖3所示。對圖3中散點進行數值擬合得到擬合多項式[6]:


式中y為天然氣管網的日負荷量,104m3;x為持續時間,d;p0、p1、p2、p3、p4、p5為常量,其值分別為5095.979401330942、37.733859252413、0.431399036939、-0.006008097427、0.000066578406和-0.000000290962。
式(1)具有便于積分的特點[6],這150d的累計氣量(即圖3中曲線與x、y軸之間所圍成的面積)可表示為:

式中f(x)=y,日負荷y是關于橫坐標x(負荷持續時間)的函數;dx為“負荷持續時間x”的微元;Q為用氣高峰期(150d)的天然氣管網總負荷量,104m3。

3 冬季缺口氣量
圖4為冬季缺口氣量示意圖。用qmax表示北京市上游供氣管網的最大日負荷,用t表示極端寒冷天氣導致北京市天然氣管網負荷需求大于上游供氣能力的天數,根據天然氣管網負荷持續曲線的幾何意義,則冬季缺口氣量為圖4中陰影部分的面積,其表達式為:

式中Qt為冬季缺口氣量,104m3;f(t)=qmax為上游供氣管網的最大日負荷,104m3,也就是直線x=t和曲線y=f(x)交點的縱坐標值。

將x=t代入式(1),則有:
f(t)=p5t5+p4t4+p3t3+p2t2+p1t+p0 (4)
4 已有LNG儲備與上游供應能力的匹配
假設已有LNG應急儲備規模為Qm,由式(3)得到已有LNG應急儲備可以滿足的最大冬季缺口氣量為:

將式(1)的f(x)和式(4)的f(t)代入式(5),則有:

現階段北京市的LNG應急儲備設施為1座幾何容積為16×104m3的LNG儲罐(一期),其有效儲氣容積為7000×104m3。當Qm為7000×104m3時,式(6)在區間[0,149]的根為23,此時f(t0)為4481×104m3,其數學意義為:若2009—2010年冬季北京市上游天然氣管網供氣量有限,由1座有效氣量為7000×104m3的LNG應急儲罐補充供氣缺口,那么天然氣管網日負荷超過4481×104m3缺口氣量由LNG儲罐提供,則LNG儲罐最多能供應23d,剛好彌補缺口氣量;若上游天然氣管網最大日供氣量小于4481×104m3,則LNG儲罐只能彌補部分缺口氣量;若上游天然氣管網最大日供氣量大于4481×104m3,則LNG儲罐能完全彌補缺口氣量,且冬季用氣高峰結束后LNG仍有剩余。
5 規劃階段LNG儲備規模的確定
假設預測得到的天然氣管網負荷持續曲線為f(x)=y,同時上游供氣管網的最大日負荷為qmax,即qmax=f(x),將qmax代入式(4),則有:
qmax=p5t5+p4t4+p3t3+p2t2+p1t+p0 (7)
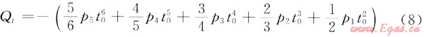
上游供氣管網最大日供氣能力qmax是已知量,那么式(7)在有效區間上的根為t0,其數學意義為出現天然氣管網負荷需求量大于上游供氣管網最大日供氣能力的天數。將t0代入式(3),則有:

由式(8)可知:①若北京上游供氣管網的最大日供氣能力qmax為4000×104m3,求得式(7)的根t0為42(即有42d天然氣管網負荷需求大于4000×104m3),將t0代入式(8)得到Q為21000×104m3,表明需要3座有效儲氣容積為7000×104m3的LNG儲罐來彌補用氣缺口氣量。②若北京上游供氣管網的最大日供氣能力qmax為3600×104m3,則有71d不能完全滿足用氣需求,累計用氣缺口氣量約42000×104m3,表明需要6座LNG儲罐(每座LNG儲罐的有效儲氣容積為7000×104m3,并假設LNG均來自夏季用氣低谷的存儲量)來彌補用氣缺口氣量。
6 結束語
利用北京市2009年至2010年冬季的天然氣管網日負荷數據,分析了已有的LNG儲備規模與上游天然氣管網供應能力的匹配問題及規劃階段LNG儲備規模的確定問題,該方法今后也可用于分析LNG儲氣設施的利用效率和供應能力等問題。由于北京市天然氣管網負荷仍然處在快速發展期,未來管網負荷仍有較大變化,所得計算結果只作為計算方法的算例,規劃調整以及LNG投運后的實際情況,要根據所在年份的天然氣管網負荷預測結果重新測算。
參考文獻
[1] 董秀成,李君臣.我國“氣荒”的原因及對策[J].天然氣工業,2010,30(1):116-118.
[2] 劉毅軍.產業鏈視角下的“氣荒”解讀[J].天然氣工業,2010,30(1):119-122.
[3] 劉燕,陳敏,孫明燁,等.北京市應急LNG建設相關問題研究[J].城市燃氣,2009,408(2):22-24.
[4] 李士富,呼延念超,李亞萍.調峰型天然氣液化HYSYS軟件模型[J].石油與天然氣化工,2010,39(1):1-2.
[5] 陳茂濠,吳文佳.廣東建設天然氣儲備的初步建議[J].石油與天然氣化工,2010,39(3):193-195.
[6] 李帆,黃偉強,董秋玲·基于負荷持續曲線的天然氣市場及
[7] 張謙,朱雪凌,黃俊輝,等.負荷持續曲線的解析化模型及其預測方法[J].中國電力,2009,42(9):49-53.
[8] FÜLÖP J.A semi infinite programming method for approximating load duration curves by polynomials[J].Computing,1992,49(3):201-212.
(本文作者:劉燕 杜學平 北京市燃氣集團有限責任公司)
贊 賞 分享
您可以選擇一種方式贊助本站

支付寶轉賬贊助

微信轉賬贊助
- 注解:本資料由會員及群友提供僅供閱讀交流學習,不得用于商業用途!
