摘要:介紹了巖土體原位熱響應測試儀的結構及測試原理,建立了基于線熱源模型的熱物性參數計算模型。結合工程實例,進行了巖土體初始平均溫度測試、地埋管熱響應測試。擬合流體平均溫度與時間對數的關系曲線,求得了巖土體的熱導率、鉆孔熱阻。
關鍵詞:熱響應測試;熱物性參數;巖土體;線熱源模型;土壤源熱泵;地源熱泵
In-situ Thermal Response Test of Shallow Soil and Rock
NIU Dinghui,YANG Xiankang,RUAN Ga0,CHEN Xing
Abstract:The structure and measurement principle of in-situ thermal response tester of shallow soil and roek are introduced.The model for calculation of thermophysical parameters based on the line heat source model is established.The initial average temperature test of soil and rock as well as the thermal response test of buried pipe are performed with an engineering example.The thermal conductivity of soil and rock and the thermal resistanee of boreholes are obtained by fitting the relation curve between average fluid temperature and time logarithm.
Key words:thermal response test;thermophysical parameter;soil and rock;line heat source model;soil source heat pump;ground source heat pump
1 概述
隨著大量消耗化石燃料帶來了嚴重的環境污染,具有節能、環保特點的地源熱泵技術得到了迅速發展[1~2]。其中的土壤源熱泵技術以其溫度穩定、對周圍環境影響較小、適用范圍廣等優點,受到越來越多的重視。
在對土壤源熱泵系統進行設計時,需要知道巖土體的熱物性參數。如果得到的熱物性參數不準確,則可能導致地下熱交換系統設計規模太小,達不到需要的空調負荷;也可能導致系統設計規模太大,加大了造價。因此需要準確地測定巖土體的熱物性參數,主要包括熱導率和熱阻,從而計算地層的傳熱性能,合理設計地下熱交換系統[3]。原位熱響應試驗的目的在于獲得巖土體的綜合熱物性參數,了解巖土體的換熱能力,為土壤源熱泵系統的設計提供基礎數據,以保障系統長期高效運行與節能。
2 測試儀結構及測試原理
目前的測試裝置均是以擾動-響應的方式來推算地下的換熱情況和巖土體熱物性參數。本次試驗的測試裝置是中國地質大學(武漢)工程學院研制的GP系列測試儀(GP-2),測試儀外觀見圖1,測試儀結構及測試原理見圖2。GP-2測試儀的測試原理:在鉆孔中埋設U型管并回填[4],使U型管與測試儀管路連接,形成一個閉合回路。在循環水泵的作用下,水通過電加熱器加熱升溫后進入U型管,將熱量傳遞給周圍的巖土體,最后流回到測試儀中。通過測試,獲得U型管的進、出水溫度和流量,用以計算巖土體的熱物性參數。

3 熱物性參數計算模型
參考相關文獻[5~6],測試數據采用線熱源模型進行處理,因為其簡單且具有足夠的精度[1]。在使用該模型時作如下假設:
① 埋管周圍巖土體中熱量的傳遞只沿水平方向而忽略深度方向[7]。
② 埋管內的流體在軸向不發生熱量傳遞,傳遞只發生在徑向。
③ 巖土體被看作初始溫度均勻的半無限大介質。
④ 巖土體的熱物性均勻,且不隨溫度變化。
⑤ 忽略巖土體內水分遷移帶來的影響。
⑥ 地表溫度保持不變,恒等于無窮遠處的溫度,即巖土體初始溫度。
⑦ 埋管與周圍巖土體的熱流密度維持不變(可以通過控制加熱功率實現)。
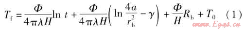
根據線熱源理論,埋管內流體的平均溫度計算式為:

式中Tf——埋管內流體的平均溫度(取進水與出水溫度的平均值),K
Φ——電加熱管的加熱功率,W
λ——巖土體的熱導率,W/(m·K)
H——鉆孔深度,m
t——系統運行的時間,s
a——巖土體熱擴散率,m2/s
rb——鉆孔半徑,m
γ——歐拉常數,為0.5772
Rb——鉆孔熱阻,m·K/W
T0——巖土體的初始溫度,K

式中ρ——土壤密度,取1800kg/m3
c——土壤比熱容,取1200J/(kg·K)
加熱功率恒定時,式(1)可簡寫為線性形式,即:

利用測試數據繪出Tf隨㏑t的變化曲線,求得曲線斜率m、截距b,根據式(2)、(4)、(5)求出巖土體熱導率λ和鉆孔熱阻Rb。
4 測試與計算實例
以山西省長治縣經濟適用住宅小區土壤源熱泵工程為例,于2010年8月15日—19日分別對1口單U型管井和1口雙U型管井進行了連續48h的熱響應測試。測試小區地層上部為松散第四系,深度方向100m以內以素填土和粘土為主,下部為基巖,包括粉質砂巖、粉質泥巖以及風化泥巖。埋管采用PE管,外直徑為32mm,內直徑為26mm。測試井參數見表1。
表1 測試井參數
|
測試井
|
埋管深度/m
|
鉆孔直徑/mm
|
回填材料
|
加熱功率/W
|
流量/(L·h-1)
|
|
單U型管井
|
100
|
108
|
黃沙
|
3300
|
800
|
|
雙U型管井
|
100
|
108
|
黃沙
|
6890
|
1300
|
① 巖土體初始平均溫度測試
在進行熱響應試驗之前,使流量為2300L/h的水在閉合回路中循環30~50min,此時電加熱器關閉,測試這段時間內的進、出水溫度。待進、出水溫度穩定后,取進、出水溫度的平均值作為巖土體的初始平均溫度。測得的單U型管井和雙u型管井的進、出水溫度見圖3。由此可以確定試驗時巖土體的初始平均溫度為14.61℃。
② 地埋管熱響應測試
對單U型管井和雙U型管井均進行了熱響應測試。測試時保持每口井的加熱功率和供水流量穩定,分別記錄48h的進、出水溫度。進、出水溫度的時間響應曲線見圖4。由圖4可知,經過一段時間后,地埋管的進、出水溫差基本穩定,表明地下換熱已基本達到了平衡。此時計算得單、雙U型管的平均換熱量分別為47.59、86.44W/m。

③ 巖土體熱導率、鉆孔熱阻的計算
待地埋管進、出水溫差穩定后,擬合其平均溫度Tf與時間對數㏑t的關系曲線,見圖5。單U型管井擬合曲線公式為Tf=1.866 8㏑t+4.0142,雙U型管井擬合曲線公式為Tf=3.1964㏑t-5.5206,可得擬合曲線的斜率和截距。
由式(4)計算得到單、雙u型管井的巖土體熱導率分別為2.030、2.152W/(m·K),雙U型管井的巖土體熱導率比單U型管井增大了約6%。由此可見,埋深相同時,雙U型管井的巖土體熱導率高,且換熱面積大,與巖土體換熱更充分,換熱效果更理想。計算可得測試小區巖土體平均熱導率為2.091W/(m·K),與該地區的熱導率經驗值1.9W/(m·K)比較吻合。
由式(2)、(5)計算得到單、雙U型管井的鉆孔熱阻,進而得到測試小區的平均鉆孔熱阻Rb=0.074m·K/W。

5 結論
① 根據線熱源模型,計算得到測試小區巖土體的平均熱導率為2.091W/(m·K),與經驗值1.9W/(m·K)比較接近,可知該測試儀系統具有一定的精度,可以為設計提供參考。
② 雙U型管井的巖土體熱導率大,且雙U型管換熱面積大,換熱更充分,因此相同埋深的雙U型管換熱能力優于單U型管。
③ 通過巖土體熱響應測試,較準確地測定了巖土體的熱物性參數,為合理設計地下熱交換系統提供了基礎數據。
參考文獻:
[1] 喬衛來,陳九法,薛琴,等.地埋管熱響應測試及數據分析方法[J].流體機械,2010,38(6):60-63.
[2] 柳曉雷,王德林,方肇洪.垂直埋管地源熱泵的圓柱面傳熱模型及簡化計算[J].山東建筑工程學院學報,2001,16(1):47-51.
[3] CANE R D,FORGAS D A.Modeling of ground-source heat pump performance[J].ASHRAE Transaction,1991,97(1):909-925.
[4] 于明志,方肇洪.現場測量深層巖土熱物性方法[J].工程熱物理學報,2002,23(3):354-356.
[5] 常桂欽,廖全,彭清元,等.土壤源熱泵巖土熱物性測試的參數分析[J].煤氣與熱力,2011,31(5):A05-A10.
[6] 胡平放,孫啟明,於仲義,等.地源熱泵地埋管換熱量與巖土熱物性的測試[J].煤氣與熱力,2008,28(8):A01-A04.
[7] 段征強,趙軍,宋德坤.土壤熱導率測試系統研究[J].煤氣與熱力,2006,26(11):45-47.
(本文作者:牛定輝 楊先亢 阮高 陳星 中國地質大學(武漢)工程學院 湖北武漢 430074)
贊 賞 分享
您可以選擇一種方式贊助本站

支付寶轉賬贊助

微信轉賬贊助
- 注解:本資料由會員及群友提供僅供閱讀交流學習,不得用于商業用途!
