摘要:崖城13-1氣田在經過高速開發以后,自2007年下半年以來已經受到邊水的侵入,使該氣田產氣量下降、產液量上升、部分氣井的生產受影響。隨著采出程度的增加和地層壓力的遞減,邊水活躍程度必然加劇,必將影響崖城13-1氣田的穩定生產。為有效降低水氣比上升對氣田生產的影響,針對該氣田高溫、低壓、深井的特點,采取了一系列有針對性的技術措施:①優選堵水工具,封堵下部出水層位;②結合實際生產數據,進行攜液能力分析,優選生產管柱;③結合排水采氣工藝,延長氣井生產壽命。通過以上工藝的研究和實施,從總體上緩解了崖城13-1氣田水氣比上升對生產造成的不利影響,對氣田的穩產提供了技術支持。
關鍵詞:崖城13-1氣田;采氣;堵水;排水;臨界攜液氣量;管柱優化;氣舉
經過10多年的高產開采,崖城13-1氣田已進入開發中后期并呈現出以下基本特征:①地層壓力系數低;②單井產量持續降低;③產液量呈總體上升趨勢;④個別井水量異常,已造成氣井的水淹。
隨著采出程度的逐步增加和地層壓力的遞減,2007年下半年以來,氣田生產已經表現出受邊水侵入的影響,產氣量明顯下降,11口生產井中有5口井有地層水侵入現象。
根據國內外氣田開發的經驗,氣田進入開發生產中后期,其邊底水的活躍程度將逐漸加劇,最終必將影響氣井和氣田的生產[1~2]。鑒于崖城13-1氣田目前的生產特征,堵水和排水采氣工藝將是崖城13-1氣田必然要考慮實施的措施。
1 氣井堵水工藝研究與實踐
1.1 堵水工藝優選
崖城13-1氣田儲層溫度高達178℃,化學堵水封堵效果難以得到保證;主力生產氣層壓力系數為0.3左右,平均孔隙度為12.68%,平均滲透率為281.4mD,超低壓、中孔中滲導致壓井后機械堵水作業存在漏失和誘噴風險;氣井為邊水舌進,從下到上對氣井逐層水淹,只需封堵下部水淹層位就能滿足氣藏堵水的要求。該氣田采用Φ177.8mm油管生產,下部為Φ177.8mm尾管射孔完井,通過采用管內機械封堵方式可實現不壓井堵水作業。
1.2 機械堵水工藝設計
1.2.1機械堵水工具的選擇
1.2.1.1 考慮的因素
根據崖城13-1氣田6口氣井的基本情況以及機械堵水工藝的要求,鑒于超深氣井(最大作業井深超過7000m)、井斜大(最大井斜超過60°)、地層高溫(儲層溫度接近180℃)的復雜情況,提出對機械堵水工具的基本要求:
1) 能滿足氣井永久式堵水的要求,即管內機械封堵+倒水泥。
2) 外徑必須能夠安全通過氣井生產管柱Φ146.1mm的最小內徑。
3) 能夠成功坐封到Φ177.8mm、L80-13Cr的尾管中。
4) 能夠采用電纜和連續油管下入并坐封。
5) 工作溫度在178℃以上。
6) 能夠滿足防C02腐蝕的要求。
7) 能夠滿足堵水井段下部水層與上部氣層壓差5000psi(1psi=6.895kPa,下同)的要求。
1.2.1.2 工具優選
優選威德福Φ101.6mm極限橋塞滿足堵水需求,具體參數如下:外徑為Φ101.6mm,內徑為Φ38.1mm,可通過最小口徑為Φ103.9mm,安放范圍為Φ144.5~157.5mm,最大工況溫度為190℃,最大可承受壓力差為7500psi。
極限橋塞基本結構如圖1所示。

Φ101.6mm極限橋塞為永久性橋塞,可坐封在最大直徑為自身口徑1.65倍的管徑處,能夠滿足過油管進行機械封堵的要求。
防滑系統可以確保橋塞在安放過程中的中心定位和密封性;防擠壓系統確保橋塞在井下可以承受最大壓力差,愈合系統和防擠壓系統一起確保了橋塞在井下的密封和使用壽命。
1.2.2過油管機械堵水方式選擇
從井斜、井深、歷年鋼絲作業情況以及電纜補射孔作業記錄、橋塞坐封方式等方面分析,崖城13-1氣田對堵水的氣井通過采用電纜或連續油管坐封橋塞+倒水泥工藝實現堵水措施的實施。
1.3 機械堵水工藝現場實施
2010年11月,對A7井進行了電纜下橋塞+倒水泥組合方式堵水作業,堵水前探液面斜深為330m左右,堵水實施2個月后探液面已經降到了斜深2660m,有效封堵了下部出水層位。海上氣田在5200m以上井深,0.3倍的超低壓力系數、178℃高溫條件下首次成功實施超低壓氣層與高壓水層之間的管內機械封堵新工藝。A7井的堵水成功為誘噴復活奠定了基礎,2011年1月A7井成功實施連續油管誘噴作業,測試結果表明降低濕氣壓縮機入口壓力至220psi,氣井能夠進系統持續生產,日產氣量為16×104m3。
2 氣井排水采氣管柱優化研究
由于崖城13-1氣田各氣井生產管柱為Φ177.8mm油管,隨著地層壓力下降,個別井產氣量已經接近臨界攜液氣量,因此,需要通過優選小直徑管柱實現排水采氣[3]。
2.1 生產管柱優化原則
根據對Φ114.3mm油管、Φ139.7mm油管和目前的Φ177.8mm油管分年配產數據分析研究這3種尺寸油管的攜液能力和生產能力,為最終選定適合崖城13-1氣田的生產管柱提供依據[4],主要原則如下:
1) 滿足崖城13-1氣田配產要求。
2) 延長氣井生產時間。
3) 管柱尺寸滿足強度要求。
4) 滿足地面濕氣壓縮機最低入口壓力需求。
2.2 臨界攜液能力分析
根據崖城13-1氣田現場實際生產數據,建立垂直管流模型,利用IPM軟件臨界攜液流量計算結果對臨界攜液流量系數進行修正,然后運用到其他井的攜液臨界流量計算[5~7]。
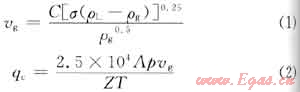
IPM用于計算臨界攜液流量的公式為:

式中vg為氣體帶水最小卸載流速,m/s;C為Turner系數,C=2.04;σ為液滴表面張力,N/m;ρL為液體的密度,kg/m3;ρg為氣體的密度,kg/m3;qc為最低攜液產氣量,104m3/d;A為油管橫截面積,m2;p為壓力,MPa;Z為天然氣壓縮因子;T為井底溫度,K。
按照現場反饋的生產信息,A13井產氣量低于約40×104m3/d時就不能正常生產,井筒出現積液,因此利用生產數據對系數c進行修正,經過修正以后Turner系數C=3.6。
根據修正后的臨界攜液流量計算公式系數C,分析A2、A3、A5、A13井和A14井目前生產狀況下的攜液臨界流量(表1)。

通過目前5口井的臨界攜液流量計算結果并與氣井產量進行比較后發現:目前這5口井都沒有積液,不過A13井在短期內存在積液影響生產的風險。
2.3 生產管柱尺寸優選分析
根據不同尺寸油管的開發指標預測,分析油管的生產能力及臨界攜液流量。通過預測的產氣量和計算的臨界攜液流量對比,按照預測的井口壓力下降趨勢,A13井在現有Φ177.8mm管柱下,到2011年預測產氣量將低于攜液臨界流量,如果更換Φ139.7mm管柱,到2016年預測產氣量低于臨界攜液流量,如果更換Φ114.3mm管柱,到2019年預測產氣量低于臨界攜液流量,氣井有積液影響正常生產的風險。
對比Φ114.3mm油管和Φ139.7mm油管生產指標預測,產氣量相差不大,為了實現長期穩產,推薦更換Φ114.3mm油管代替目前的Φ177.8mm油管并下入到射孔段中深位置。
2.4 生產后期排水采氣工藝研究
崖城13-1氣田A2、A13、A14等3口井在堵水及更換小直徑管柱后,隨著地層壓力下降,產氣量降低,攜液能力不足時,需要考慮輔助排水采氣工藝措施,以延長氣井的生產。針對目前最常用的排水采氣工藝(氣舉法、泡排法、電潛泵排水采氣法等),結合措施井的高溫(地層溫度達178℃)、深井(最大斜深超過7000m)、井斜大(超過60°)的特點,考慮采用下入氣舉閥氣舉方式作為氣井生產后期的輔助排水采氣方法,通過氣舉優化設計,滿足生產后期輔助排水采氣的需要。
3 結論及認識
1) 適合崖城13-1氣田的機械堵水方式為:過油管下橋塞+倒水泥。
2) 海上氣田在5200m以上井深、178℃高溫條件下,首次成功實施了超低壓氣層與高壓水層之間的管內機械封堵新工藝。
3) 利用現場生產數據對IPM軟件中的臨界攜液流量計算方法進行校正,使其計算結果與實際情況更加吻合。
4) 崖城13-1氣田更換管柱優選Φ114.3mm油管。
5) 為避免Φ177.8mm尾管處出現積液而影響氣井正常生產,在滿足作業條件下,把Φ114.3mm油管下深至射孔段中深位置。
6) 生產后期通過氣舉輔助排水采氣工藝延長氣井生產年限。
參考文獻
[1] 李士倫.天然氣工程[M].北京:石油工業出版社,2000.
[2] 張子樞.世界油氣田:氣田部分(一)[R].北京:石油工業部情報所,1988.
[3] 劉成杰,鄭曉東,孫秀云.氣井排水及堵水工藝技術[J].石油鉆探技術,1996,24(3):49-51.
[4] 詹姆斯·利,亨利·尼肯斯,邁克爾·韋爾斯.氣井排水采氣[M].何順利,顧岱鴻,田樹寶,等譯.北京:石油工業出版社,2009.
[5] 李閩,郭平,譚光天.氣井攜液新觀點[J].石油勘探與開發,2001,28(5):105-106.
[6] 劉雙全,吳曉東,吳革生,等.氣井井筒攜液臨界流速和流量的動態分布研究[J].天然氣工業,2007,27(2):104-106.
[7] ALVAREZ J M,RIVAS H J,ROSSEN W R.Unified model for steady-state foam behavior at high and low foam qualities[J]∥SPE Journal,2001,6(3):325-333.
(本文作者:歐陽鐵兵 田藝 范遠洪 于東王雯娟 中海石油(中國)有限公司湛江分公司)
贊 賞 分享
您可以選擇一種方式贊助本站

支付寶轉賬贊助

微信轉賬贊助
- 注解:本資料由會員及群友提供僅供閱讀交流學習,不得用于商業用途!
