摘要:為了獲得長輸天然氣管道干線擴建設計的最優方案,早日實現管網系統贏利的目標,以管道總年值費為目標函數建立了天然氣管道系統參數優化設計模型,運用正交試驗設計方法對模型進行求解,分別給出了水力約束條件、穩定性約束條件、管道強度約束條件和邊界約柬條件,并提出了采用正交試驗設計法進行管道擴建優化設計的9個基本步驟。通過正交試驗設計,不僅獲得了各擴建管道與已建管道年值費用最低的最佳方案,還得到了管道管徑、壓力、壓力比和管道壁厚等工藝參數的最優組合,實現了整個管網系統的全局優化設計。實例應用結果表明,該設計結果符合工程實際,該設計方法具有編程計算簡單、計算次數少和不易漏掉最優方案的優點。
關鍵詞:天然氣管道擴建;優化設計;正交試驗;數學模型;約束條件;年值費用
天然氣管道工程具有高技術、高投入、高風險的特點,涉及大量的技術經濟問題,一旦決策失誤將造成重大損失,因此,通過優化計算獲得管道擴建設計的最優方案,能節約成本,對實現管道系統早日盈利具有重要意義。我國在管網優化方面的研究工作起步較晚,但發展迅速。目前國內外用于管網優化設計的方法主要有[1~2]:①變尺度法;②罰函數法;③復合形法;④遺傳算法;⑤啟發式算法;⑥蟻群算法;⑦微粒群算法;⑧混沌算法等。這些求解方法都存在著一些缺陷,算法的通用性和實用性也存在不足,為此,將試圖探索簡潔、高效的管網優化設計新方法。
1 管網優化設計數學模型的建立
1.1 設計變量
輸氣管道有5大技術經濟參數:管徑(d)、壓力(p)、壓氣站數(N)、壓縮比(ε)和管道壁厚(δ)。
1.2 目標函數
取輸氣管網年折合費用函數作為目標函數,它由管道建設投資費用、壓氣站建設費用以及管道運行管理費用3部分組成[3~4],可表示為:
F=(A+B)I+C (1)
式中A為管道建設投資費用,元;B為壓氣站建設投資費用,元;C為每年的管道運行管理費用,元/a;I為管道額定投資回收系數,1/a。
1.2.1管道建設投資費用
管道建設投資費用主要與管道的選型和管道的長度有關,可表示為:

式中Ai為管網中第i條管道的管道建設投資費用,元;Nc為組成管網的管道數;Li為管網中第i條管道的長度,km。
1.2.2壓氣站建設投資費用
壓氣站建設投資費用主要與設計壓力(p)、壓氣站數(N)和壓縮比(ε)這3個參數有關,可表示為:

式中Bi為管網中第i條管道的壓氣站建設投資費用,元;Ni為管網中第i條管道需要的壓氣站數。
1.2.3管道運行管理費用
管道運行管理費用主要考慮壓縮機站的能耗費用,可表示為:

式中Ci為管網中第i條管道的運行費用,元。
1.3 約束條件
1.3.1水力約束
水力約束條件即2座壓縮機站之間管道起點壓力與終點壓力的平衡關系:
g1(d,p,ε,l)=0 (5)
式中l為壓縮機站之間的距離,km。
1.3.2穩定性約束
在地下輸氣管道中不應存在失穩現象。管道失穩現象主要表現為管道徑向被壓扁和管道發生非設計性的彎曲,從而使管道的橫截面嚴重變形。這些失穩現象將影響管道的正常輸送或造成管道的破壞事故。為防止管道徑向失穩,約束條件為:

式中M根據經驗確定,我國一般取為110~120。
1.3.3管道強度約束
管道強度約束主要指管道在內外載荷作用下所受到的應力必須小于管材的許用應力,其與設計變量中的設計壓力(p)、管徑(d)和管道壁厚(δ)有關,可表示為:
g3(p,d,δ)≤0 (7)
1.3.4邊界約束
邊界約束指設計變量取值或取值范圍的限制。對設計壓力、管徑、管道壁厚等都要按照國家標準及規格進行取值。
由模型可知,在輸量及輸送距離已定的條件下,長距離輸氣管道的可行管徑、壓力、鋼材級別、壓氣站數(壓氣站間距、壓縮比)與長距離輸氣管道的營運成本間的關系是復雜、甚至是難以辨析清楚的。由于工程技術條件所限定,上述各變量又皆為離散可列的,所以,在選定管道年值費用作為取舍標準后,采用正交試驗設計方法,科學安排各經濟參數的方案組合,能用較少的試驗次數找出最優的方案。
2 正交試驗設計方法
正交試驗設計是利用標準的正交表來安排與分析多因素試驗的一種設計方法[5~6],它是在試驗因素的全部水平組合中,挑選部分有代表性的水平組合進行試驗,通過對這部分試驗結果的分析,了解全部試驗的情況,從而找出最優的水平組合。
正交表可用La(bc)表示,L為正交表,b為影響試驗結果的因素的個數,c為每個因素可取值的數目,稱為水平,a為需要的試驗次數。
正交表采用正交性原理進行設計,所列的設計方案具有均衡分散性和整體可比性的特點。均衡分散性是指用正交表挑選出來的各因素水平組合在全部水平組合中的分布是均勻的,因此,試驗方案具有代表性,容易選出優秀方案和可能最優的方案。整體可比性是指每一個因素的各水平間具有可比性。因為正交表中每一岡素在任一水平下都均衡地包含著另外因素的各個水平,當比較某因素的不同水平時,其他因素的效應都彼此抵消。正交設計的這2個特性使得優良的組合更明顯化,因此正交試驗可以用較少的實驗次數找到較優的參數組合。例如對于有4個因素每個因素有5個水平的實驗,若采用全面試驗共有45=1024種方案組合,需進行1024次試驗,而采用正交試驗設計則只需要16次試驗,記為L16(45),通過對這16次試驗結果的分析就能找出最優的方案組合。
采用正交試驗設計法進行管道擴建優化設計的基本步驟為:
1) 建立輸氣管網的經濟計算模型。
2) 根據輸量初選管徑(d0)。
3) 按照鋼管規格,選取與d0相近的4種管徑d1、d2、d3、d4。
4) 根據經驗和技術條件,分別選取4種壓力水平p1、p2、p3、p4,4種壓縮比水平ε1、ε2、ε3、ε4,4種管材水平X60、X65、X70、X80。
5) 選取管徑(d)、壓力(p)、壓縮比(ε)和管材這4個因素,每個因素選取4個水平,故單條管道優化設計選用標準的L16(45)型正交表。
6) 把正交表設計的方案代入經濟計算模型,計算各方案的管道年值費。
7) 對正交表進行極差分析,得出管道擴建最優方案。
8) 對正交表求出的管道擴建最優方案進行檢驗。
9) 按上述步驟得到每條管道擴建的最優方案,將每條管道所選的因素和水平代入L64(421)型正交表,計算擴建管道系統的整體最優方案。
3 具體應用
擬對某干線管道進行擴建,規劃的各支干線情況如表1所示。以支干線①為例,對正交試驗設計方法的選擇過程進行說明。

根據管道的輸氣量和技術條件,管道各因素的水平取值為:①管徑水平為610mm、660mm、711mm和762mm;②壓力水平為5.4MPa、6.4MPa、7.4MPa和8.4MPa;③壓縮比水平為1.25、1.35、1.45和1.55;④管材水平為X60、X65、X70、X80級鋼。
對各因素的水平進行編號,代入正交表相應位置,并按正交表安排的方案代入計算機程序,計算每個管道優化方案的年值費,得到支干線①的優化設計正交表如表2所示。

3.1 數據處理
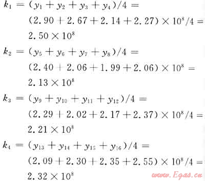
以因素管徑(d)為例,在d的1水平下有4次實驗,為1、2、3、4號實驗,將其歸為第1組。同樣,d的2水平、3水平、4水平分別歸為第2、3、4組。分別計算各組實驗的平均值,填入正交表下部相應的位置上。如d因素各組平均值(k1、k2、k3、k4)為:

極差(R)為k1、k2、k3、k4中的最大值減去最小值。例如:
R1=(2.50-2.13)×108=3.70×107
經過計算,得到支干線①的優化結果如表3所示。

3.2 因素影響分析
極差的大小反映了各因素對指標影響的大小,正交試驗中d的極差最大,其次為ε和P的極差,管材因素(X)的極差最小,因此,對管道年值費的影響從大到小的因素為d、ε、P、X。
3.3 最優方案
試驗指標管道年值費越低越好,所以k值最小的水平就為最佳水平。由以上計算和分析可知,計算出的最優方案(d為660mm、P為7.4MPa、ε為1.55、X為X80級鋼)不在所列方案中,與之較為接近的是方案7。對計算出的最優方案進行檢驗,將最優方案指標值代入程序計算可得到管道年值費為1.90515964億元,經檢驗該方案的管道年值費最低,且滿足約束條件,故為最優方案。
每條支干線最優設計參數的確定,為整體管網最優方案的選擇提供了基礎。5條管道每條管道4因素,故選用L64(421)型正交表,將每條管道單獨最優選擇的因素水平代入該正交表中,可得到整體管網優的建設方案,其方案參數如表4所示。

4 結論
1) 正交試驗設計用于管道的優化設計,關鍵在于正交表以及各因素水平的選取,必須對極差分析或方差分析出的最優方案進行檢驗。
2) 正交表的特性決定了正交試驗設計方法用于管道的優化設計比傳統的管道優化設計方案更加科學。實踐證明,該法具有編程計算簡單、計算次數少和不易漏掉最優方案的優點。
參考文獻
[1] 陳進殿,汪玉春,黃澤俊.天然氣管網系統最優化研究[J].油氣儲運,2006,25(2):6-12.
[2] 許茜,薛崗,王紅霞,等.沁水盆地煤層氣田樊莊區塊采氣管網的優化[J].天然氣工業,2010,30(6):91-93.
[3] 王艷峰,沈祖培.輸氣管道優化設計新模型[J].油氣儲運,2004,23(4):9-11.
[4] SUNG WONM0,HUH DAEGEE,LEE JUNGHWAN,et al.optimization of pipeline networks with a hybrid MCSTCD networking model[J].SPE Production&Facilities,1998,13(3):213-219.
[5] 鄭少華,姜奉華.試驗設計與數據處理[M].北京:中國建材工業出版社,2004.
[6] 陳艷艷,梁穎,劉小明.公路網布局優化設計的正交枚舉法[J].土木工程學報,2003,36(7):14-17.
(本文作者:戴乾生1 汪玉春2 殷平3 1.中國石油西氣東輸管道分公司;2.西南石油大學;3.中國石油西北銷售公司)
贊 賞 分享
您可以選擇一種方式贊助本站

支付寶轉賬贊助

微信轉賬贊助
- 注解:本資料由會員及群友提供僅供閱讀交流學習,不得用于商業用途!
