摘要:從設計應力出發,提出了對CJJ 63—2008《聚乙烯燃氣管道工程技術規程》中PE管道最大拖拉力的修正公式,分析了修正公式與規程公式的異同點以及修正公式的意義,探討了修正公式中總體設計系數的取值,指出了修正公式仍然存在的缺陷,提出了建議。
關鍵詞:PE燃氣管道;水平定向鉆;PE管道最大拖拉力
Correction of Formula for Maximum Traction Force of PE Pipeline in CJJ 63—2008
HONG Guo
Abstract:The correction formula of maximum traction force of PE pipeline in Technical Specification for PE Gas Pipeline Engineering(CJJ 63—2008)is proposed based on the design stress.The similarity and difference between the correction formula and the tormula in the specification and the meaning of the correction formula are analyzed.The value for the overall design coefficient in the correction formula is discussed.The deficiencies of the correction formula are put forward,and some suggestions are given.
Key words:PE gas pipeline;horizontal directional drilling;maximum traction force of PE pipeline
隨著燃氣用PE管非開挖水平定向鉆進施工新技術的大力推廣應用,在國家尚無專門針對該項技術的設計、施工及驗收規范的情況下,對于該技術的研究一直持續不斷。文獻[1]論述了水平定向鉆進技術在城鎮燃氣管道的應用,文獻[2]介紹了空間曲線的定向鉆穿越工程施工經驗,文獻[3]論述了水平定向鉆技術在天然氣管道穿越工程的應用,文獻[4]討論了燃氣管道水平定向鉆穿越線路設計。筆者在文獻[5]中探討了燃氣用PE管水平定向鉆進若干問題,同時也提出了CJJ 63—2008《聚乙烯燃氣管道工程技術規程》計算PE管道最大拖拉力公式存在不足之處。本文專門就此問題進行探討。
1 規程公式的來源
按CJJ 63—2008規程6.2.7條,計算PE管道最大拖拉力的公式為:

式中Fmax——允許最大拖拉力,N
de——管道公稱外徑,mm
KSDR——PE管道外徑與壁厚標準尺寸比,國際標準和國家標準推薦使用的有SDR11和SDR17.6兩種系列
規程對該公式的來源解釋如下:為防止外拉力過大損壞管道,在美國煤氣協會編寫的《塑料煤氣管手冊》2001年版中規定:拖拉力不得大于管材屈服拉伸應力的50%;IS0/TS 10839:2000《燃氣輸送用聚乙烯管材和管件設計、搬運和安裝規范》和EN 12007《燃氣供應系統——最大壓力超過16巴的管線》標準規定按下列公式計算:

CJJ 63—2008規程采用式(2)并簡化為式(1)形式。
2 問題的產生
依據規程式(1)計算PE管道最大拖拉力Fmax時,公式表示Fmax僅與PE管道的公稱外徑de及標準尺寸比KSDR有關,而未能考慮PE管材的材料性能差異,同時也無法體現出設計安全系數。對由于PE管材的蠕變特性引起的最大拖拉力與拖管時間的內在關系也未能表示。因此造成設計人員在實際計算最大拖拉力時無法區別PE80、PE100等材料的不同,也無法對各種類型的管道穿越地質條件提出差異性的總體設計系數C。
如果在規程公式的基礎上能夠引入與PE材料特性有關的系數和總體設計系數C進行修正完善,并進一步考慮拖管時間對最大拖拉力存在的影響,就能很好地克服該公式的不足之處。
3 公式的修正
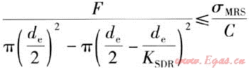
按GB 15558.1—2003《燃氣用埋地聚乙烯(PE)管道系統第1部分:管材》3.2.4條關于設計應力的定義:設計應力σs指規定條件下的允許應力,計算公式為:

式中σs——設計應力,MPa
σMRS——最小要求強度,MPa
C——總體設計系數
PE80管材σMRS值為8.0MPa,PE100管材σMRS值為10.0MPa。按σs定義,筆者認為,PE管道所受拖拉力F,應在滿足σs的要求下進行設計。

式中F——PE管道所受拖拉力,N
A——管道截面積,mm2
將此式具體化,即:

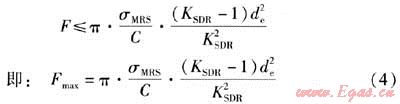
上式經整理后得:

當KSDR≥11時,KSDR-1≈KSDR,修正后的公式(4)也可簡化為:

式(4)、(5)即為修正后計算PE管道最大拖拉力的公式。
4 公式修正的意義
4.1 兩個公式的相似點
規程的公式(1)與修正后的公式(5)有極其相似之處。實際上,規程的公式(1)即是在KSDR-1≈KSDR,C=2情況下,綜合考慮了PE80和PE100兩種等級管材的σMRS值(取值為9.55MPa),按修正后的公式(5)計算所得到的結果。因此可以說規程公式與修正公式在本質上是一致的。
4.2 兩個公式的差異點
規程的公式過于簡單,公式表示Fmax僅與PE管材的公稱外徑de及標準尺寸比KSDR有關。修正后的公式相對復雜,增加了σMRS和C兩個變量,這就克服了規程公式的不足之處,可以充分體現PE管道性能及總體設計系數的差異性。
4.3 公式修正的意義
① 將按規程規定的公式(1)計算得到的Fmax值代入修正后的公式(4),計算的C值見表1。
表1 按式(1)計算的Fmax值代入式(4)計算的C值
|
管材類型
|
總體設計系數C
|
|
|
PE80
|
SDR11
|
1.523
|
|
SDR17.6
|
1.580
|
|
|
PE100
|
SDR11
|
1.904
|
|
SDR17.6
|
1.975
|
|
由表1可見,按修正后的公式推算出規程公式所取的總體設計系數C值均小于2,這不僅與GB 15558.1—2003第4.7條的要求“燃氣用埋地聚乙烯管道系統的總體設計系數C應大于等于2”有矛盾,而且也反映出按規程公式計算的PE管道允許最大拖拉力值偏大,對工程實踐而言存在一定風險性,因此有必要對規程公式進行修正。
② 規程的公式過于片面,這是其明顯的缺陷。采用修正的公式以后,因為引入了σMRS和C兩個變量,使得困擾設計人員的問題迎刃而解。σMRS變量能體現出不同材質的PE管材性能差異,C變量能讓設計人員充分考慮不同工程條件下的設計安全系數,具有更大的靈活性。
5 對總體設計系數C取值的建議
從修正公式可以看出,PE管道允許最大拖拉力受PE管材σMRS值的影響已由設計所選用管材確定,只需查閱有關資料即可獲得,在此無需討論。但對于修正公式中總體設計系數C的取值,則應由設計人員綜合考慮工程項目中的各種條件慎重確定。經查閱相關資料,筆者建議其需考慮的因素有如下5個方面:
① 作為總體設計系數,對于同一個燃氣工程項目而言,無論是非開挖穿越施工,還是開挖施工,建議應采用相同的C值,即C的取值應服從于整個燃氣工程項目管道設計壓力的要求。
② 應充分參考其他文獻資料推薦采用的C值。國外的C值一般比國內小,以新加坡為例,C的取值范圍為2.9~3.25,有些地方取2;國內關于C的取值,以2.5~3.5較妥[6]。
③ 按CJJ 63—2008第4.1.3條,由于考慮到我國國情及地質條件、施工方式、燃氣種類等各種因素,為進一步提高安全性能,其采用的總體設計系數C值見規程條文說明表3數據。由該表可見,CJJ 63—2008對于C的取值相對較高,尤其對于輸送氣態液化石油氣的PE管道,其C的取值高達6.0~9.6。對于在PE管穿越施工中的C值可參考該表,尤其對于輸送氣態液化石油氣的PE管道。
④ 工程實踐中,還應針對不同的施工條件確定不同的C值。對于施工條件比較惡劣的情況,建議應采用較大的C值。
⑤ 確定C值時,還應考慮施工環境溫度及施工時長對管材應力的影響。
6 修正公式存在的缺陷及建議
修正公式雖然引入了σMRS與C兩個變量,設計時可以針對不同管材、不同施工或使用條件,計算出不同的PE管道最大允許拖拉力。但是由于PE管材本身還存在蠕變特性,即PE管的安全牽引載荷是與時間有關的,在短時間內作用屬安全載荷,對于長時間的拉管施工未必合適。因此,從某種意義上而言,對于較長時間的拉管,PE管道最大允許拖拉力還應該是時間的函數。對于這兩者之間的關系相對較為復雜,本文在此無法闡述,有待業內同行進一步予以討論并完善。正因為我們認識到上述觀點,因此筆者建議在依據修正公式計算出PE管道最大拖拉力的同時,還應查閱有關資料,核查時間因素對于拉伸應力值的影響,并取兩者的較小值。一般認為,若能在24h內完成回拖任務,則時間因素對于PE管道拉伸應力的影響不大。美國塑料管協會(PPI)資料提供了燃氣用HDPE管材在24h施工時間內允許的安全拖拉力(安全牽引載荷),部分數據見表2,可供參考。
表2 HDPE管材24h安全牽引載荷
|
管材公稱外徑/mm
|
管材SDR值
|
安全牽引載荷/kN
|
|
51
|
11.0
|
7.111
|
|
102
|
11.0
|
26.667
|
|
203
|
11.0
|
93.333
|
|
305
|
11.0
|
204.444
|
|
610
|
11.O
|
728.889
|
|
203
|
17.6
|
62.222
|
|
305
|
17.6
|
137.777
|
|
610
|
17.6
|
488.888
|
參考文獻:
[1] 蘇琪.水平定向鉆進技術在城鎮燃氣管道的應用[J].煤氣與熱力,2011,31(2):A39-A42.
[2] 尹祥,肖煒.空間曲線的定向鉆穿越工程施工經驗[J].煤氣與熱力,2008,28(2):B58-B60.
[3] 尹東莉,劉麗妍.水平定向鉆技術在天然氣管道穿越工程的應用[J].煤氣與熱力,2009,29(12):A30-A32.
[4] 楊青.燃氣管道水平定向鉆穿越線路設計[J].煤氣與熱力,2008,28(1):B10-B12.
[5] 洪國.燃氣用PE管水平定向鉆進若干問題探討[J].煤氣與熱力,2009,29(6):A30-A33.
[6] 王可仁,廖復中,鄭鏡藩.燃氣聚乙烯管道工程技術[M].上海:上海科學技術出版社,2009:64.
(本文作者:洪國 福州煤氣規劃設計院有限公司 福建福州 350011)
贊 賞 分享
您可以選擇一種方式贊助本站

支付寶轉賬贊助

微信轉賬贊助
- 注解:本資料由會員及群友提供僅供閱讀交流學習,不得用于商業用途!
