摘要:通過實驗與理論計算方法,對燃氣熱水器的流量特性進行研究,得到水流量隨供水壓力變化的計算公式,將水流量的理論計算值與實測值進行對比。在較高供水壓力下,實測值與理論值存在較大差異。實際上存在極限流量,當實際流量達到極限流量時,水流量不隨供水壓力的增大而增大,而是趨于穩定。對出水溫度控制特性進行研究,雖然通過燃氣閥門和水量調節閥可以調節出水溫度,但其調節能力有限。
關鍵詞:燃氣熱水器;極限流量;流量特性;出水溫度;供水壓力
Analysis of Flow Characteristics of Gas Water Heater
LI Guangchao,PENG Shini
Abstract:The flow characteristics of gas water heater are studied by experimental method and theoretical calculation method.The calculation formula on variation of water flow with water supply pressure is obtained,and the theoretical calculation value and the measured value are compared.There is a big difference between the measured value and theoretical calculation value under high water supply pressure.In fact,the limit flow exists,and the water flow does not increase with increasing of water supply pressure,and it trends to be stable when the actual flow reaches the limit flow.The control characteristics of outflow temperature are also studied.Although the outflow temperature can be regulated by gas valve and water flow regulating valve,but their abilities to regulate is limited.
Key words:gas water heater;limit flow;flow characteristics;outflow temperature;water supply pressure
燃氣熱水器具有無需預熱、成本低、體積小、加熱快等優點,在人們日常生活中得到了普遍的使用[1~2]。但隨著人們生活水平的不斷提高,普通燃氣熱水器已經無法滿足要求。因為在其使用過程中,由于供水壓力變化造成水流量變化,進而使水溫改變,嚴重時因水過燙或過涼而無法淋浴。雖然可以通過水量調節閥來調節水量,但有時難以維持流量的穩定,因此有必要對燃氣熱水器流量與壓力的關系進行研究。
1 實驗研究
實驗用家用燃氣快速熱水器(參數見表1)的水管路由3段不同管徑的水管(進水管、水箱水管、出水管)組成,取進水口和出水口分別為斷面1、斷面2。實驗裝置見圖1。

表1 實驗用家用燃氣快速熱水器的參數
|
型號
|
JSD16-8
|
|
燃氣種類
|
天然氣
|
|
燃氣額定壓力/kPa
|
2
|
|
適用水壓/kPa
|
25~1000
|
|
25℃時的熱水產率/(L·min-1)
|
8
|
|
熱負荷/kW
|
16
|
普通燃氣熱水器通過水量調節閥來調節水量,有“大水”與“小水”兩個檔位,在這兩個檔位間可以連續調節。為了充分反映流量與壓力的變化關系,本實驗以水量調節閥在“大水”和“小水”兩檔下進行。當在“大水”檔位時,水量調節閥流通孔徑最大,此時水量調節閥的阻力最小,熱水器的水流量最大;在“小水”檔位時,水量調節閥流通孔徑最小,阻力最大,熱水器的水流量最小。
體積流量的測量方法:稱空桶質量m1,在一段時間內用該桶接熱水器流出的水,再稱桶和水的總質量m2,用秒表記錄這段時間t,由下式得到水的體積流量。

式中q1——水的體積流量,L/min
m2——桶和水的總質量,kg
m1——空桶質量,kg
t——用桶接水的時間,s
2 理論計算
2.1 流量與壓力關系的理論分析
流體力學恒定總流能量方程式為:

式中h1、h2——斷面1、2相對于選定基準面的高程,m
p1、p2——斷面1、2的壓力,Pa,因斷面2處壓力為大氣壓力,故p2=0Pa
ρ——水的密度,kg/m3
g——重力加速度,m/s2
α1、α2——斷面1、2的動能修正系數,取1
v1、v2——斷面1、2的平均流速,m/s
h1-2——斷面1、2間的阻力,m

式中n——斷面1、2間的管段數量
Si——i管段的管路阻抗,s2/m5
q——水的體積流量,m3/s

式中λi——i管段的沿程阻力系數
li——i管段的長度,m
di——i管段的管道內直徑,m
ζs,i——i管段的局部阻力系數之和

式中d1——斷面1處的管道內直徑,m
d2——斷面2處的管道內直徑,m
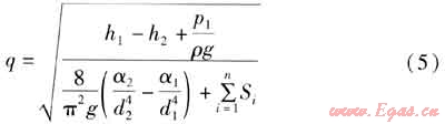
由式(1)、(2)、(4)可得:

式(5)是體積流量與供水壓力的計算關系式,求解的關鍵是確定各管段的管長、管道內直徑、沿程阻力系數和局部阻力系數之和。
2.2 “大水”與“小水”檔位時的理論計算
“大水”、“小水”檔位時的局部阻力系數分別見表2、3,其中水量調節閥不是標準件,局部阻力系數可以通過實驗確定。已知實驗中的h1-h2=3m,可根據式(3)、(5)分別計算出兩個檔位時不同供水壓力下水的理論體積流量。
表2 “大水”檔位時的局部阻力系數
|
管件
|
90°彎頭
|
45°彎頭
|
水量調節閥
|
變徑管
|
|
每個管件的局部
阻力系數
|
0.12
|
0.08
|
0.22
|
0.08
|
|
進水管管件數量
|
3
|
O
|
0
|
1
|
|
燃燒室水管管件數量
|
19
|
2
|
1
|
0
|
|
出水管管件數量
|
0
|
O
|
0
|
1
|
表3 “小水”檔位時的局部阻力系數
|
管件
|
90°彎頭
|
45°彎頭
|
水量調節閥
|
變徑管
|
|
每個管件的局部阻力系數
|
0.12
|
0.08
|
43.22
|
0.08
|
|
進水管管件數量
|
3
|
0
|
O
|
1
|
|
燃燒室水管管件數量
|
19
|
2
|
1
|
0
|
|
出水管管件數量
|
O
|
O
|
O
|
1
|
3 實測值與理論計算值的比較及分析
“大水”與“小水”兩個檔位下體積流量的實測值與理論計算值的比較見圖2。

由圖2可知:
① 無論在“大水”檔位還是“小水”檔位,當供水壓力較小時,體積流量的理論值與實測值變化趨勢相同,但隨著供水壓力的增大,理論值與實測值有較大差異。這是因為實際上體積流量存在極限流量值(“小水”檔位的極限流量值約為3.14L/min,“大水”檔位的極限流量值約為6.88L/min),實際情況中,當體積流量達到極限流量值時,不會再隨著供水壓力的增大而增大。
② 在相同供水壓力下,“大水”檔位的體積流量較大,主要是因為“大水”檔位的局部阻力比“小水”檔位的局部阻力小,即水量調節閥是通過調節局部阻力來調節流量的。
③ “小水”檔位的體積流量實測值與“大水”檔位的體積流量實測值之間的區域,是燃氣熱水器可調的流量范圍,超出此范圍的體積流量要求是不能滿足的。
4 出水溫度控制特性
根據熱平衡原理[3]有:
ηqgQ1=cρq△θ (6)
式中η——熱水器熱效率
qg——燃氣的體積流量,m3/s
Q1——燃氣低熱值,kJ/m3
c——水的比熱容,kJ/(kg·K),為4.2kJ/(kg·K)
△θ——水被加熱的溫升,℃
由式(6)可知,供水壓力變化導致水流量變化,必然導致出水溫度變化。雖然燃氣閥門和水量調節閥可以分別控制燃氣流量和水流量,但只能在一定范圍內進行調節,即:
qg,min≤qg≤qg,max (7)
qmin≤q≤qmax (8)
式中qg,min——燃氣閥門可調節燃氣的最小體積流量,m3/s
qg,max——燃氣閥門可調節燃氣的最大體積流量,m3/s
qmin——水量調節閥可調節水的最小體積流量,m3/s
qmax——水量調節閥可調節水的最大體積流量,m3/s
根據式(7)、(8),可得通過燃氣閥門和水量調節閥可調節的水溫升范圍,見式(9)。

由式(9)可知,雖然通過燃氣閥門和水量調節閥可以調節出水溫度,但其調節能力是有限的。
參考文獻:
[1] 夏昭知,伍國福.燃氣熱水器[M].重慶:重慶大學出版社,2002:1-31.
[2] 蔡瑩,秦朝葵.燃氣熱水器技術進展[J].煤氣與熱力,2006,26(11):34-37.
[3] 朱榮明,戴冠中.燃氣熱水器水溫智能控制系統[J].西北工業大學學報,2001,19(1):69-71.
(本文作者:李廣超 彭世尼 重慶大學 城市建設與環境工程學院 重慶 400045)
贊 賞 分享
您可以選擇一種方式贊助本站

支付寶轉賬贊助

微信轉賬贊助
- 注解:本資料由會員及群友提供僅供閱讀交流學習,不得用于商業用途!
