摘要:介紹了溴化鋰吸收式海水源熱泵系統流程。以動態經濟性價比(年收益與費用年值的比值)作為目標函數,建立系統優化數學模型。結合工程實例,分析了海水管道外徑對費用年值的影響。
關鍵詞:海水源熱泵;溴化鋰吸收式熱泵;工況設計優化;費用年值
Study on Condition Design Optimization of Absorption-type Seawater-source Heat Pump System
ZHAO Qi,TAN Yufei
Abstract:The process flow of lithium bromide absorption-type seawater-source heat pump system is introduced.Taking tbe dynamic economic ratio(ratio of annual income to annual cost)as the objective function,an optimal mathematical model for the system is established.The influence of the external diameter of seawater pipeline on the annual cost is analyzed with an engineering example.
Key words:seawater-source heat pump;lithium bromide absorption-type heat pump; condition design optimization;annual cost
1 概述
吸收式熱泵是以熱能為補償,實現從低溫側向高溫側輸送熱量的設備,可以實現余熱利用,因此在節能方面有著很好的應用前景[1]。余熱利用的方式分為對余熱的直接利用和利用熱泵對余熱進行利用,在余熱利用的程度和節能效益方面,熱泵是最合理的余熱利用方式[2~4]。在沿海城市,存在天然的低位熱源(海水),可利用能量巨大。海水的水質和水溫隨著取水地點的不同會有很大的差異,不同地區、不同類型建筑物的熱負荷差別也很大,因此保證海水源熱泵機組的可靠性,并最大限度地提高其經濟性,是一個值得研究的課題[5]。對系統的最優化設計是在現有的技術經濟條件下,權衡系統造價和年運行費用,尋求技術經濟性最佳的方案,提出系統改進的方向與潛力。本文對溴化鋰吸收式海水源熱泵系統工況設計優化進行研究。
2 系統流程[6]
溴化鋰吸收式海水源熱泵系統流程見圖1。溶液循環部分:稀溶液出吸收器后,先由溶液泵升壓,濃度不變,溫度、比焓也基本不變,但成為過冷溶液。然后進入溶液換熱器,吸收來自發生器濃溶液的熱量,濃度、壓力不變而溫度升高,進入發生器。在發生器中被驅動蒸汽加熱至沸騰,其中的水分逐漸蒸發,溴化鋰稀溶液濃度不斷提高變成濃溶液。濃溶液出發生器后進入溶液換熱器降溫,并進入吸收器進一步降溫為吸收壓力下處于氣液相平衡狀態的飽和溶液,直至變為稀溶液。
工質循環部分:由發生器產生的工質水蒸氣進入冷凝器,在其中放熱冷凝為飽和液,經節流閥降壓變為低壓低溫水蒸氣與水的混合物,進入蒸發器,低壓低溫水在蒸發器中吸收低溫熱源(海水)的熱量,變為低壓水蒸氣,進入吸收器被吸收,回到發生器。
熱網循環水部分:熱網循環水依次經過吸收器和冷凝器,升溫后輸送給熱用戶。
3 數學模型
① 目標函數的確定[7]
優化設計的目標函數應根據實際需要來確定。為了體現系統造價、年運行費用、收益的綜合影響,本文以系統動態經濟性價比(即年收益與費用年值的比值)作為目標函數。采用動態法計算熱泵系統的費用年值,包括系統造價和年運行費用(循環泵的年電費和驅動蒸汽年費用)。系統動態經濟性價比Y的計算式為:


式中Y——系統動態經濟性價比
S——年收益,元/a
F——費用年值,元/a
S是節省蒸汽量的函數,F為系統造價及年運行費用的函數。費用年值是工業經濟學中的經濟評價指標,將系統造價折算成與年運行費用相類似的費用,然后再與年運行費用相加,就可得出費用年值。動態經濟性價比體現了系統造價、年運行費用、收益的綜合影響。
年收益S的計算式為:
S=s+0.4△qmt (2)
式中s——供熱收益,元/a
△qm——溴化鋰吸收式海水源熱泵系統相對于采用熱電機組減溫減壓器供熱節省的蒸汽量,kg/s
t——供熱時間,s
費用年值F的計算式為:

式中Z——系統造價,元
i——年利率,取0.1
n——設備使用壽命,a
f——年運行費用,元/a
系統的各個狀態參數可由以下設計參數確定:換熱器海水進、出水溫度θs,in、θs,out熱網供回水溫度θn,s、θn,r換熱器中介水出水溫度θm,out,海水管道外徑ds,中介水管道外徑dm,中介水與海水流量之比γ。
由供熱系統熱負荷Φ選取熱泵機組型號,進而可以確定換熱器的換熱面積、海水泵和中介水泵的輸入功率等。當熱泵機組選定,系統的運行狀況達到穩定狀態時,θn,s、θn,r即為定值。優化計算變量選取θs,out、θm,out、ds、dm、γ。
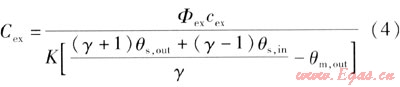
設換熱器的價格與換熱面積的變化趨勢一致,則換熱器價格Cex的計算式為:

式中Cex——換熱器價格,元
Φex——換熱器的熱負荷,kW
cex——換熱器單位換熱面積價格,元/m2,由市場調查得600~900元/m2,取800元/m2
K——換熱器的傳熱系數,kW/(m2·K)
γ——中介水與海水流量之比
θs,out——換熱器海水的出水溫度,℃
θs,in——換熱器海水的進水溫度,℃
θm,out——換熱器中介水出水溫度,℃
海水流量qs的計算式為:

式中qs——海水流量,m3/s
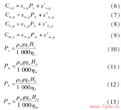
熱泵系統的循環泵包括海水泵、工質泵、中介水泵和溶液泵,其價格可認為與循環泵的輸入功率呈線性關系,計算式分別為:

式中Cs,p、Cw,p、CL,p、Cm,p——海水泵、工質泵、溶液泵、中介水泵的價格,元
xs,p、x′s,p——海水泵單位功率價格線性系數,由市場價格曲線擬合求得
xw,p、x′w,p——工質泵單位功率價格的線性系數,由市場價格曲線擬合求得
xL,p、x′L,p——溶液泵單位功率價格的線性系數,由市場價格曲線擬合求得
xm,p、x′m,p——中介水泵單位功率價格的線性系數,由市場價格曲線擬合求得
Ps、Pw、PL、Pm——海水泵、工質泵、溶液泵、中介水泵的功率,kW
ρs、ρw、ρL、ρm——海水、工質、溶液、中介水的密度,kg/m3
g——重力加速度,m2/s
qs、qw、qL、qm——海水泵、工質泵、溶液泵、中介水泵的流量,m3/s
Hs、Hw、HL、Hm——海水泵、工質泵、溶液泵、中介水泵的揚程,m
ηs、ηw、ηL、ηm——海水泵、工質泵、溶液泵、中介水泵的效率
管道造價包括管材造價及安裝費用,與管徑和輸送距離呈線性關系。由于輸送距離一定,因此,管道造價可認為只與管道管徑呈線性關系,管道造價Cpip的工程計算式為:
Cpip=πdLδρpipcpip(1+d) (14)
式中Cpip——管道的造價,元
d——管道外徑,m
L——海水供回水管道長度,m
δ——管道壁厚,m
ρpip——管材密度,kg/m3,取7.85×103kg/m3
cpip——單位質量管材的價格,元/kg,市場價格為4.5元/kg
α——安裝費用占管道造價的比例
② 年運行費用計算
熱泵系統的年運行費用主要包括海水泵、中介水泵、工質泵、溶液泵年電費及驅動蒸汽年費用。本文采用當量滿負荷運行時間法進行計算,熱泵與各循環泵是連鎖控制的,熱泵的運行時間即是循環泵的運行時間。
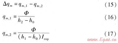
③ 節省蒸汽量計算
節省蒸汽量△qm的計算式為:

式中qm,1——采用熱電機組減溫減壓器供熱方式的蒸汽消耗量,kg/s
qm,2——溴化鋰吸收式海水源熱泵系統驅動蒸汽的消耗量,kg/s
Φ——供熱系統的熱負荷,kW
h2——減溫減壓后蒸汽的比焓,kJ/kg
h0——飽和水的比焓,kJ/kg
h1——抽汽比焓,kJ/kg
Icop——溴化鋰吸收式海水源熱泵的制熱性能系數
式(15)中忽略減溫減壓器供汽與溴化鋰吸收式海水源熱泵系統驅動蒸汽的品位差。
④ 約束條件的確定
冬季海水的最低溫度是確定的,因此換熱工況各參數的確定在限制范圍內,但這些參數可以有一些變化。蒸發溫度高些,冷凝溫度低些,熱泵機組的制熱性能將得到提升,但換熱工況各參數又分別受到現有條件和需求條件的限制。蒸發溫度受中介水溫度和流量的限制,而中介水的參數變化又受海水溫度和海水流量的限制。另外,在考慮使用效果、運行效率的同時,須避免選用換熱面積過大的換熱器。因此,每一項具體工程換熱工況的設計都是一個需要綜合考慮系統造價和年運行費用的優化課題。另外,設計過程中還受到海水排水溫度和吸收式水源熱泵機組最高出水溫度的限制。
4 優化算例分析
① 工程簡介
該工程為大連某居住小區供熱系統,該小區設計熱負荷為900kW,供熱時間為137d,大連市電價按0.75元/(kW·h)計算。海水干渠與換熱器之間的管道長度為2km,熱網供、回水設計溫度為70、50℃。冬季海水最低溫度為12℃,系統各設備使用壽命均取15a。
② 優化結果及分析
取各優化參數的初始值:θs,out取8℃,換熱器中介水進口溫度θm,in取4℃,γ取1。將已知參數代入數學模型,采用約束直接搜索法編制計算機程序,可計算得系統最優設計參數見表1,此時系統動態經濟性價比Y=1.08。海水、中介水管道的壁厚均為6mm。
表1 海水源熱泵系統最優設計參數
|
θs,out/℃
|
θm,out/℃
|
海水流量/(m3·h-1)
|
中介水流量/(m3·h-1)
|
ds/m
|
dm/m
|
|
8.6
|
8.2
|
102.86
|
98.05
|
0.219
|
0.219
|

在θn,s=70℃,θn,r=50℃,θs,in=12℃,θs,out=8.6℃,θm,in=4℃,θm,out=8.2℃,以及海水流量為102.86m3/h,中介水流量為98.05m3/h的條件下,費用年值與ds的關系見圖2。由圖2可知,隨著ds的增加,費用年值降低很快,這是由于海水流速的降低使阻力降低,海水泵的耗電量降低。達到最低點(對應最優管徑)后,管徑繼續增加,管道造價增加較大,引起費用年值增加。
參考文獻:
[1] JEONG S,KANG B H.Dynamic simulation of an absorption beat pump for recovering low grade waste beat[J].Applied Thermal Engineering,1998(18):1-12.
[2] 鄧壽祿,王強.熱泵系統應用于油田廢水余熱回收的探討[J].現代測量與實驗室管理,2003(1):21-22.
[3] 賀益英.關于火、核電廠循環冷卻水的余熱利用問題[J].中國水利水電科學研究院學報,2004(4):315-320.
[4] 鹿方,馮霄,胡志偉.工業熱泵的經濟性研究[J].西安交通大學學報,2000,34(2):95-99.
[5] TALBI M M.Exergy analysis:an absorption refrigerator using lithiumbromide and water as the working fluids[J].Applied Thermal Engineering,2000(3):619-630.
[6] 金樹梅.吸收式熱泵供熱系統的應用及經濟性分析[J].煤氣與熱力,2010,30(1):A04-A07.
[7] 袁亞湘,孫文瑜.最優化理論與方法[M].北京:科學出版社,2005:124-126.
(本文作者:趙麒1,2 譚羽飛1 1.哈爾濱工業大學 市政環境工程學院 黑龍江哈爾濱 150090;2.長春工程學院 能源動力工程學院 吉林長春 130012)
贊 賞 分享
您可以選擇一種方式贊助本站

支付寶轉賬贊助

微信轉賬贊助
- 注解:本資料由會員及群友提供僅供閱讀交流學習,不得用于商業用途!
