摘要:比較了DB 29-1-2010《天津市居住建筑節能設計標準》與DB 29-1-2007關于外墻、外窗單位建筑面積傳熱耗熱量的計算方法,結合工程實例進行了比較。
關鍵詞:居住建筑;耗熱量指標;外墻;外窗;設計標準
Calculation Methods of Heat Consumption in Design Standard for Energy Efficiency of New and Old Residential Buildings in Tianjin
WU Haiyan,LV Jian,HAN Guangcheng,ZHENG Xinmin
Abstract:The calculation methods of heat transfer consumption per unit area of external walls and exlernal windows in the Design Standard for Energy Efficiency of Residential Buildings in Tianjin(DB 29-1-2010)are compared with that in(DB 29-1-2007).A comparison is made with an engineering example.
Key words:residential building;heat comsumption inder;external wall;external window;design standard
為貫徹國家有關節約能源、保護環境的法律法規和政策,改善嚴寒與寒冷地區居住建筑熱環境,提高供暖能源利用效率,有關機構對嚴寒地區居住建筑實施更高節能標準進行了探討[1~3]。國家有關部門對JGJ 26-95《民用建筑節能設計標準(采暖居住建筑部分)》進行補充修訂,并更名為JGJ 26-2010《嚴寒和寒冷地區居住建筑節能設計標準》,該標準于2010年8月1日實施。天津市城鄉建設和交通委員會也組織相關專家討論研究,并結合天津本地區氣候特點及節能形勢對DB 29-1-2007《天津市居住建筑節能設計標準》(以下簡稱2007版)進行了補充修訂,并于2010年11月5日發布了DB 29-1-2010(以下簡稱2010版),并于2011年1月1日實施。本文針對2010版與2007版關于建筑物耗熱量指標計算中,關于外墻、外窗的單位建筑面積傳熱耗熱量的計算方法進行比較。
1 外墻、外窗傳熱耗熱量計算方法
2007版和2010版中關于建筑物耗熱量指標的計算式一致,為:
gH=qHT+qINF-qIH (1)
式中qH——建筑物耗熱量指標,W/m2
qHT——單位建筑面積通過圍護結構的傳熱耗熱量,W/m2
qINF——單位建筑面積的空氣滲透耗熱量,W/m2
qIH——單位建筑面積建筑物內部得熱量(炊事、照明、家電和人體散熱),W/m2,居住建筑取3.8W/m2
雖然2010版和2007版關于建筑物耗熱量指標計算式的基本組成項相同,但是在圍護結構的傳熱耗熱量尤其是外墻、外窗傳熱耗熱量的計算方法上有了改變。
① 2007版的計算方法
2007版中單位建筑面積通過圍護結構的傳熱耗熱量qHT,2007,的計算式為:

式中qHT,2007——2007版中單位建筑面積通過圍護結構的傳熱耗熱量,W/m2
tn一一供暖室內計算溫度,℃,取17℃
te——供暖室外平均溫度,℃,取-0.2℃
m——圍護結構的數量
εi——第i種圍護結構傳熱系數的修正系數,按2007版附錄D表D.0.2選取
Ki——第i種圍護結構的傳熱系數,W/(m2·K)
Ai——第i種圍護結構的面積,m2
A0——建筑面積,m2
② 2010版的計算方法
2010版對單位建筑面積通過圍護結構的傳熱耗熱量qHT,2010的計算更為細化,計算式為:
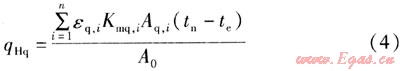
qHT,2010=qHq+qHw+qHd+qHmc+qHy (3)
式中qHT,2010——2010版中單位建筑面積通過圍護結構的傳熱耗熱量,W/m2
qHq——單位建筑面積通過外墻的傳熱耗熱量,W/m2
qHw——單位建筑面積通過屋頂的傳熱耗熱量,W/m2
qHd——單位建筑面積通過地面的傳熱耗熱量,W/m2
qHmc——單位建筑面積通過外窗門的傳熱耗熱量,W/m2
qHy——單位建筑面積通過非供暖封閉陽臺的傳熱耗熱量,W/m2
本文主要對qHq、qHmc、qHy的計算進行探討。
qHq的計算式為:

式中n——外墻的數量
εq,i——第i面外墻傳熱系數的修正系數,按2010版附錄E表E.0.2選取
Kmq,i——第i面外墻的平均傳熱系數,W/(m2·K)
Aq,i——第i面外墻的面積,m2
tn——供暖室內計算溫度,℃,取18℃;當外墻內側是樓梯間時,則取12℃
te——供暖室外平均溫度,℃
由式(2)與式(4)比較可知,tn取值不同:2007版取值為17℃,而2010版則根據外墻內側是否為樓梯間分別取值為12、18℃。在居住建筑設計中,樓梯間一般設計為未供暖空間,因此2010版對供暖室內計算溫度的選擇更符合實際。
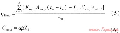
qHmc的計算式為:

式中k——外窗(門)的數量
Kmc,i——第i扇外窗(門)的傳熱系數,W/(m2·K)
Amc,i——第i扇外窗(門)的面積,m2
Ity,i——第i扇外窗(門)外表面供暖期平均太陽輻射熱,W/m2
Cmc,i——第i扇外窗(門)太陽輻射修正系數
α——3mm厚普通玻璃的太陽輻射透過率,取0.87
β——折減系數,取0.7
Zi——第i扇外窗的綜合遮陽系數
由式(2)與式(5)比較可知,對于外窗(門)傳熱耗熱量的計算,主要有兩個方面的不同:一方面,2010版在供暖室內計算溫度tn的選取上與2007版不同,根據外窗門內側是否為樓梯間式(5)中tn分別取12、18℃;另一方面,2010版將太陽輻射修正系數由較精確的計算得出,而2007版僅將太陽輻射的影響采用一個通用的修正系數進行體現。
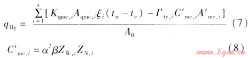
qHy的計算式為:

式中s——非供暖封閉陽臺的數量
Kqmc,i——第i個分割非供暖封閉陽臺與室內墻、窗(門)的平均傳熱系數,W/(m2·K)
Aqmc,i——第i個分割非供暖封閉陽臺與室內墻、窗(門)的面積,m2
ξi——第i個非供暖封閉陽臺的溫差修正系數,按2010版附錄E表E.0.4確定
I′ty,i——第i個非供暖封閉陽臺外表面供暖期平均太陽輻射熱,W/m2
C′mc,i——第i個分割非供暖封閉陽臺與室內窗(門)的太陽輻射修正系數
A′mc,i——第i個分隔非供暖封閉陽臺與室內窗(門)的面積,m2
ZW,i——第i個非供暖封閉陽臺外側窗的綜合遮陽系數
ZN,i——第i個非供暖封閉陽臺內側窗的綜合遮陽系數
由式(2)與式(7)的比較可知:式(7)中tn取18℃;2010版中太陽輻射修正系數由較精確的計算得出;2010版中非供暖封閉陽臺的傳熱耗熱量不再像2007版那樣將墻與窗(門)分開計算。
2 計算實例
① 工程概況
本文以某居住建筑為實例進行分析計算,該建筑各層層高為2.9m,共13層,房間的結構(另一側為對稱結構)見圖1。該居住建筑按照2007版的建筑節能標準設計,其設計節能率為65%,合理使用年限為50年。建筑面積為5083.2m2,建筑體積為14741.28m3,建筑表面積為4189.98m2,窗墻比分別為:南向0.45,東向0.11,西向0.11,北向0.24。

由于在2010版耗熱量計算時,不同建筑層數和窗墻比影響各種圍護結構傳熱系數的限值。為了便于比較,且考慮在一幢建筑中同類型的外圍護結構傳熱系數大致相同,因此我們將2007版和2010版的外墻傳熱系數均選取為0.6W/(m2·K),外窗的傳熱系數選取為2.5W/(m2·K)進行比較計算。
② 外墻傳熱耗熱量比較
無陽臺外墻傳熱耗熱量,采用2007版的計算方法時,由式(2)得到的計算結果見表1。采用2010版的計算方法時,由式(4)得到的計算結果見表2。由表1、2可知:2010版的外墻傳熱系數修正系數大于2007版。2007版中內側不供暖外墻不參與耗熱量計算,在內側不供暖外墻耗熱量不參與比較時,2010版計算得到的外墻傳熱耗熱量為4.03W/m2,仍大于2007版的計算結果(3.52W/m2)。由此可知,外墻傳熱系數修正系數和供暖室內計算溫度的選取對于外墻傳熱耗熱量的影響比較大。

③ 外窗傳熱耗熱量
無陽臺外窗傳熱耗熱量,采用2007版的計算方法時,由式(2)得到的計算結果見表3。采用2010版的計算方法時,由式(5)、(6)得到的計算結果見表4。由表3、4可知,由2010版計算得到的計算結果大于2007版,說明2007版中無陽臺外窗傳熱耗熱量計算中采用一個綜合修正系數強化了太陽輻射得熱對外窗傳熱耗熱量的影響。

④ 非供暖封閉陽臺傳熱耗熱量
對于非供暖封閉陽臺傳熱耗熱量,采用2007版的計算方法時,由式(2)得到的計算結果見表5。采用2010版的計算方法時,由式(7)、(8)得到的計算結果見表6。由表5、6可知,由2010版得到的計算結果小于2007版,這是由于2007版的計算方法弱化了太陽輻射的影響。

3 結論
① 2010版中針對外墻內側是否為供暖區域分別選用了18℃和12℃的供暖室內設計溫度,這樣更加貼合實際。
② 外窗是建筑圍護結構中絕熱性能差、對室外氣候變化最敏感的建筑構件,是在制定第四步居住建筑節能設計標準目標時應優先考慮的圍護結構。
③ 2010版中太陽輻射熱可按照各相關項計算,消除了2007版中太陽輻射熱被強化或弱化的現象。
參考文獻:
[1] 李志杰,王萬江.嚴寒地區居住建筑實施節能率65%的分析[J].煤氣與熱力,2006,26(1):61-65.
[2] 呂建,李星魁,張君美.三步節能居住建筑的設計要點[J].煤氣與熱力,2007,27(3):71-73.
[3] 王蘭,王云山,高玲.外窗對寒冷地區居住建筑節能的影響[J].煤氣與熱力,2009,29(12):A11-A13.
(本文作者:伍海燕1 呂建1 韓廣成2 鄭新敏3 1.天津城市建設學院 能源與機械工程系 天津 300384;2.天津建科建筑節能 環境檢測有限公司 天津 300161;3.天津大學 建筑設計研究院 天津 300072)
贊 賞 分享
您可以選擇一種方式贊助本站

支付寶轉賬贊助

微信轉賬贊助
- 注解:本資料由會員及群友提供僅供閱讀交流學習,不得用于商業用途!
