摘要:分析了調壓器流量的傳統計算方法及存在的問題,論述了調壓器流量的正弦規律、臨界流量系數、形狀系數、通用流量計算公式、臨界條件。
關鍵詞:調壓器;調壓器流量;正弦規律
Calculation Formula of Regulator Flow
JIN Zhigang,MENG Hong
Abstract:The traditional calculation method and problems of regulator flow are analyzed.The sine pattern of regulator flow,the critical flow coefficient,the shape coefficient,the universal calculation formula of regulator flow and the critical conditions are described.
Key words:regulator;regulator flow;sine pattern
隨著天然氣的發展,高壓、大流量調壓器的需要量逐漸增多。20世紀后期歐美的調壓器產品已經進入我國市場。歐美的調壓器的流量計算公式和我國傳統的計算公式有很大不同。我國傳統的計算方法沒有考慮閥體形狀的影響,在亞臨界接近臨界狀態處的流量不夠精確。本文在分析調壓器通用流量公式的基礎上,說明調壓器的形狀、構造對流量的影響,并且對于臨界條件的確定提出改進建議。
由于比較的需要,本文量的符號和單位與原文獻資料保持一致,有些單位并非法定計量單位,特此說明。
1 調壓器流量傳統計算方法
1.1 傳統計算方法
在計算通過調壓器的氣體流量時,根據調壓器進出口壓差,一般分3種狀態。
① 不考慮氣體可壓縮狀態流量公式
設調壓器進口絕對壓力為p1,出口絕對壓力為p2,則:
△p=p1-p2 (1)
式中△p——調壓器進出口壓差
p1——調壓器入口絕對壓力
p2——調壓器出口絕對壓力
當壓差比很小,
時,可以不考慮氣體密度變化。實際氣體是可壓縮的,只不過壓差很小,在不影響精度的條件下,略去密度的變化。
時,可以不考慮氣體密度變化。實際氣體是可壓縮的,只不過壓差很小,在不影響精度的條件下,略去密度的變化。
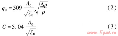
式中q0——不考慮可壓縮性的調壓器全開時流量,m3/h
A0——閥口面積,cm2
ζ0——對應閥口面積的局部阻力系數
△p——調壓器進出口壓差,MPa
p——氣體密度,kg/m3
ρ——調壓器的流通能力系數
C是由生產廠家提出的調壓器的流通能力系數,其物理意義為:在介質密度ρ為1000kg/m3、壓差△p=0.0981MPa、調壓器全開的條件下,通過調壓器的流量,單位是m3/h。用戶根據需要的壓差和氣體的密度就可以用式(2)算出調壓器全開時的流量。
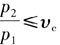
② 亞臨界狀態流量公式

式中υc——出進口壓力比
的臨界值
的臨界值 κ——等熵指數
當
時,為亞臨界狀態,必須考慮氣體的可壓縮性,否則引起較大誤差。為此需要考慮氣體密度的變化,引出氣體密度的膨脹系數,此時常用的公式為:
時,為亞臨界狀態,必須考慮氣體的可壓縮性,否則引起較大誤差。為此需要考慮氣體密度的變化,引出氣體密度的膨脹系數,此時常用的公式為:
式(6)還可以寫成如下形式:

式中q1——亞臨界狀態氣體折算成標準狀態的流量,m3/h
C——調壓器的流通能力系數
ε——考慮了燃氣密度變化的膨脹系數,可以根據燃氣的κ、p1、p2用公式計算,也可查圖,詳見文獻[1]
p1——調壓器入口絕對壓力,MPa
△p——調壓器進出口壓差,MPa
ρ0——標準狀態下燃氣密度,kg/m3
T1——燃氣入口溫度,K
Z1——燃氣進口壓縮因子
③ 臨界狀態流量公式
當調壓器出進口壓力比小于等于出進口壓力比的臨界值時,即
時,調壓器流量計算如下:
時,調壓器流量計算如下:
對于天然氣有:

所以:

將式(7)、(8)代入式(5),得:

式中q2——臨界狀態氣體折算成標準狀態的流量,m3/h
其他符號同式(5)。
1.2 傳統換算方法
傳統換算方法是根據廠家給出的數據進行換算,不屬于直接流量計算,可參見文獻[1]。1.3 傳統算法存在的問題
傳統的計算方法是根據進出口壓力不同,分段進行計算。傳統的計算公式計算出的流量在亞臨界接近臨界狀態處,與實際流量有較大偏差。沒有考慮出進口壓力比臨界值受調壓器閥座形狀的影響,實際工作中發現調壓器閥座形狀和尺寸對此J臨界值有影響。
2 調壓器流量的正弦規律
有些發達國家根據調壓器流量正弦規律采用通用流量公式。根據國外文獻,通過調壓器閥座的氣體流量規律可分兩個階段:亞臨界狀態和臨界狀態。亞臨界狀態包括不可壓縮部分。氣體是可以壓縮的,不可壓縮部分實際上是忽略了可壓縮造成的密度的變化。嚴格地說,應該考慮可壓縮氣體密度的變化。另外,根據試驗可以證明,亞臨界和臨界狀態的流量比和其相應的壓差比成正弦規律,可以寫成流量的通用公式。
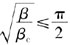
令
為進出口壓差與進口壓力之比(簡稱壓差比),βc為臨界狀態的壓差比,則有如下經驗公式:
為進出口壓差與進口壓力之比(簡稱壓差比),βc為臨界狀態的壓差比,則有如下經驗公式:當
時為臨界狀態,有:
時為臨界狀態,有:
式中q——亞臨界狀態流量
qc——臨界狀態流量
當
時為臨界狀態,有:
時為臨界狀態,有:
以上正弦規律也是流量通用公式的基礎。
3 西方流量計算公式的應用
根據國外文獻介紹的英制的流量公式,可以導出目前幾個歐美調壓器產品的流量公式。
3.1 不考慮壓縮狀態流量公式

式中q——在閥全開時的流量,scfh
Cv——在閥全開時,不考慮壓縮狀態下的流量系數
p1——調壓器前絕對壓力,psia
△p——調壓器前后壓差,psia
d——氣體相對密度,空氣的相對密度為1
T——調壓器入口氣體溫度,K
3.2 臨界狀態流量公式

式中△p——調壓器前后壓差,psia
p1——調壓器前絕對壓力,pisa
βc——臨界狀態的壓差比
qc——在閥全開時的臨界流量,scfh
Cg——在閥全開時,考慮壓縮狀態下臨界流量系數
C2——校正系數,見表1
d——氣體相對密度
T——調壓器入口氣體溫度,K
κ——等熵指數

在線下載列表
會員下載需要E點:0
贊 賞 分享
您可以選擇一種方式贊助本站

支付寶轉賬贊助

微信轉賬贊助




