摘要:研究氣流在多孔介質內部的流動特性有助于指導天然氣多孔介質燃燒器的設計。為此,對氣流在泡沫陶瓷的流動特性進行了冷態實驗,研究了氣流速度、孔密度對流動阻力的影響,得出在相同空隙率條件下,孔密度與氣流速度越大,流動阻力越大的認識;分析了氣流分別在顆粒填充床和泡沫陶瓷中流動阻力的產生機理,建立了泡沫陶瓷結構模型,求出了比表面積及空隙率相等(即流動阻力相等)時泡沫陶瓷的孔密度與顆粒填充床顆粒直徑間的函數關系,可直接利用制造商提供的泡沫陶瓷的特征參數(孔密度和空隙率),由顆粒填充床經典模型——Ergun方程來預測氣流在泡沫陶瓷中的流動阻力,并確定了滲透阻力系數與慣性阻力系數的計算式,借此研究氣流在泡沫陶瓷中的流動。實驗結果表明,該方法對預測高空隙率的泡沫陶瓷流動阻力是有效的,為進行泡沫陶瓷多孔介質燃燒的數值模擬研究提供了參數計算依據。
關鍵詞:泡沫陶瓷;多孔介質;冷態實驗;流動阻力;顆粒填充;滲透阻力系數;慣性阻力系數
目前,天然氣燃燒方式主要是以自由火焰為特征的空間燃燒。該燃燒方式溫度梯度陡峭且分布不均,局部高溫區的存在使得大量N0生成,而且燃燒效率低,燃燒產生的煙氣會對環境造成一定污染。天然氣在惰性且具有催化作用的多孔介質中燃燒,是一種新型的燃燒技術,能合理利用甲烷,降低污染物排放[1]。相關研究人員對天然氣在多孔介質中的燃燒研究集中在高效低污染氣體燃燒器、低濃度可燃廢氣處理和天然氣超絕熱燃燒富燃制氫反應器的研究[2~12],研究所采用多孔介質的結構形態主要分為顆粒填充與三維網絡骨架2種類型,泡沫陶瓷則屬于后者。由于多孔介質在強化燃燒、傳熱的同時,必然增大燃燒器或反應器的流動阻力,將直接影響到燃燒器的設計與運行。因此,研究氣流在多孔介質內部的流動具有重要的理論和實際意義。
對于顆粒填充多孔介質中的傳熱和流動,研究人員開展了廣泛的研究。本文參考文獻[13]對空氣和水流過燒結微細多孔介質內部的流動阻力進行了實驗研究和數值模擬,分析了不同顆粒直徑條件下摩擦因子與等效雷諾數的關系。本文參考文獻[14]基于以Brinkman方程為基礎的有效介質方法和一般的點陣模型,研究了固定床層中多孔顆粒內部的流動特性。本文參考文獻[15]對學者研究得到的流體流過多孔顆粒填充床的阻力損失計算經驗公式進行了總結。但對于三維立體網絡骨架和相互貫通氣孔結構的泡沫陶瓷近幾年才有所研究[15~21]。若采用本文參考文獻[15]中總結的經驗公式對氣流在泡沫陶瓷內部的流動阻力進行計算,最大的難點在于如何建立泡沫陶瓷的網絡骨架尺寸與顆粒填充床的顆粒直徑之間的關系。而且,由于目前國際上通常用平均每英寸長度上的孔洞數表示其孔洞大小(Pores Per Inch,PPI),即孔密度,泡沫陶瓷制造商一般提供給用戶該參數。因此需建立PPI與顆粒填充床顆粒直徑間的函數關系,才能應用顆粒填充床經典模型對氣流在泡沫陶瓷中的流動阻力進行預測。
基于此,筆者對氣流在泡沫陶瓷的流動特性進行了冷態實驗研究,研究了氣流速度、PPI對阻力的影響;分析了氣流分別在泡沫陶瓷和顆粒填充床中流動阻力的產生機理及相似性,建立了泡沫陶瓷結構模型,求出了比表面積及空隙率相等(即流動阻力相等)時泡沫陶瓷的PPI與顆粒填充床顆粒直徑間的函數關系,就可直接利用制造商提供的泡沫陶瓷的特征參數(PPI和空隙率),由顆粒填充床經典模型——Ergun方程來預測氣流在泡沫陶瓷中的流動阻力。
1 流阻實驗裝置及方法
圖1為氣流通過泡沫陶瓷的流動阻力的實驗裝置圖。實驗氣源由高壓氮氣瓶提供,通過調整減壓閥與閥門的開度可以對氣流速度進行控制,以改變實驗工況。實驗段的壓力降和空截面流速采用數字微壓差計進行測量。數字微壓差計測試范圍為-100~+1500Pa,分辨率為0.1Pa,壓差精度為±1%讀數值。該儀表連接畢托管,即可進行風速測量,測量范圍為1~49m/s,精度為±0.07m/s。


圖2為泡沫陶瓷及壓力測定點布置示意圖。用軟質材料包裹泡沫陶瓷,放置在鋼管中,保證泡沫陶瓷周邊與鋼管內表面的密封;在鋼管側面開有7個測壓孔,其間距為10mm。實驗中對測點A與其他6個測點的壓力差用數字微壓差計進行8次測量,取平均值;空截面風速由畢托管在實驗段出口處的不同位置也進行8次測量,取其平均值。實驗所采用的泡沫陶瓷規格為50mm×50mm×20mm,PPI分別為10、20、30,空隙率為88%。
2 實驗結果與分析
圖3是10PPI的泡沫陶瓷在不同風速條件下,流動阻力與測點間距的關系曲線圖。橫坐標測點間距表示測點A與其他6個測點的距離;縱坐標為相應測點間的壓降,即流動阻力。從圖3可以看出,多孔介質內的流動阻力隨著測點距離、空截面流速的增加而增大。以與測點A距離30mm的測點為分界點,流動阻力與測點距離呈現2種函數關系:測點距離大于30mm時,壓力變化與測點距離成正比關系,測點距離小于30mm時,壓力變化與測點距離并不符合正比關系。而多孔介質中的流動遵循Forchheimer-Ward關系式:

式中L為測點距離;U為平均流速;μ為流體黏度;K為滲透率;F為二次項系數,由多孔介質的孔徑、空隙率等特征參數決定。

由式(1)可以看出,阻力應該與距離成正比。分析造成上述實驗現象的原因是:實驗中放置泡沫陶瓷的鋼管與高壓氮氣瓶連接需要變徑,氣流在異徑處附近的流速分布不是充分發展紊流,流速分布不對稱,有畸變,還可能有漩渦、回流,在測點處的流速偏小,曲線向速度較低的曲線靠近,形成了圖3中與測點A的距離小于30mm時的流動阻力形態。因此,在以下分析中,僅對測點距離大于30mm的數據進行分析,即對測點距離小于30mmm的泡沫陶瓷流動進行調整,以此來消除異徑對測量結果的影響。
對不同風速下的p-L線性擬合,所得的函數式一次項系數為△p/L。圖4為3種孔密度下測試段阻力與風速的關系曲線圖。在相同空隙率條件下,孔密度越大,即孔徑越小,風速越大,流動阻力越大。采用二階多項式擬合出流動阻力與速度的關系如圖4所示,實驗結果遵循關系式(1)。

3 基于Ergun方程的流動阻力模型
氣流在多孔介質中的流動阻力主要是由流體質點間存在相互牽制作用、流體與多孔介質的表面摩擦造成的。圖5為顆粒填充床示意圖。對于氣流在顆粒填充床與泡沫陶瓷中的流動,若兩者的比表面積及空隙率相等,可認為兩者的流動阻力是近似相等的。

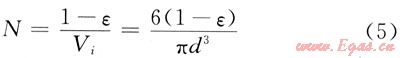
顆粒填充床的比面積計算如下:顆粒填充床中有N個直徑為d的顆粒,則每個顆粒的表面積為:
Si=πd2 (2)
每個球形顆粒的體積為:
Vi=πd3/6 (3)
設顆粒填充床的空隙率為ε,則在單位體積顆粒填充床中顆粒所占的總體積為:
V=1-ε (4)
單位體積顆粒填充床中的顆粒數為:

由此,單位體積顆粒填充床的總表面(即比面積)為:

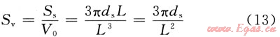
圖6為泡沫陶瓷結構示意圖。泡沫陶瓷是相互貫通的骨架,可簡化為立方體結構[16],如圖7所示。具體參數計算公式如下:

單元立方體結構體積為:
V0=L3 (7)
單元立方體骨架體積為:
Vs=(1-ε)V0 (8)

則由式(6)、(7)、(8),得:

用n表示每英寸有n個孔,則有:nL=0.0254m。

單元體立方體骨架的表面積為:

泡沫陶瓷比面積為:

由式(10)、(11)、(13)得:

若氣流在顆粒填充床與泡沫陶瓷中的流動阻力相當,空隙率和比面積相等,則由式(6)、(14)得:


計算顆粒床層阻力采用經典Ergun方程:

式中ρ為氣流的密度;μ為氣流動力學黏度。
由式(15)與式(16)可知:

若已知孔密度(n)與空隙率(ε),即可對氣流通過泡沫陶瓷的流動阻力進行預測。
采用式(17)對筆者研究的泡沫陶瓷(孔徑分別為10PPI、20PPI、30PPI,空隙率均為88%)與本文參考文獻[18]所研究的泡沫陶瓷(空隙率分別為91.9%、79.4%、68.2%,孔徑均為10PPI;空隙率為92.4%,孔徑為20PPI)的流動阻力進行預測,并與本文參考文獻[14]實驗數據對比的結果分別如圖8、9所示。從圖8、9可以看出,采用式(17)預測氣流在泡沫陶瓷中
的流動阻力在PPI較小(即孔徑較大、空隙率較大)時與文獻實驗數據吻合較好。在低空隙率(小于80%)下,預測數值稍有誤差,而且空隙率越小誤差越大。分析其原因是由于簡化的立方體模型與實際的泡沫陶瓷骨架結構不完全一致,空隙率越大其結構越接近立方體模型;空隙率越小其結構越偏離立方體模型,實際流動阻力相對立方體結構模型要大。但由于泡沫陶瓷用于多孔介質燃燒時,所選擇的空隙率一般都很大(大于80%)[2~12]。因此該模型能較好地預測氣流在泡沫陶瓷中燃燒的流動阻力。

4 滲透阻力系數與慣性阻力系數
進行氣體在多孔介質中的燃燒與流動數值模擬時,通常在動量方程中增加1個動量源項來模擬多孔介質的作用。即在簡單、均勻的多孔介質上,采用下面的數學模型:

式中α為多孔介質的滲透率,1/α為黏性阻力系數C1;C2為慣性阻力因子。
在模擬多孔介質流動與燃燒時,這2個因子是需要輸入的參數條件[22],但以前無經驗公式進行計算,一般是采取實驗測量或者引用其他文獻實驗值再進行求解,然而其他文獻中的泡沫陶瓷的空隙率與孔徑與進行模擬的泡沫陶瓷的空隙率與孔徑可能不同,造成模擬研究時存在缺少參數條件的難題。鑒于此,可根據式(17)確定C1、C2分別為:

式(20)、(21)可為模擬工作提供參數計算依據,方便進行泡沫陶瓷多孔介質的燃燒模擬研究。
5 結束語
對氣流通過泡沫陶瓷的流動阻力進行了實驗研究,發現在相同空隙率條件下,孔密度越大,即孔徑越小,風速越大,流動阻力越大;分析了氣流在顆粒填充床與泡沫陶瓷中流動阻力產生的機理,得出若兩者的比表面積及空隙率相等,可認為兩者的流動阻力是近似相等的;基于此,構造了泡沫陶瓷結構模型,求得泡沫陶瓷的PPI與顆粒填充床顆粒直徑間的函數關系,可直接采用顆粒填充床經典模型Ergun方程來預測氣流在泡沫陶瓷中的流動阻力;將本次實驗以及相關文獻的實驗數據進行了對比,結果表明該方法是有效的。并且可確定出滲透阻力系數與慣性阻力系數,為進行氣流在泡沫陶瓷多孔介質中的燃燒數值模擬提供了參數計算依據。
參考文獻
[1] 亓新華,谷永慶,王紅娟.甲烷催化燃燒催化劑研究進展[J].天然氣工業,2007,27(2):125-127.
[2] 許考,張海,樊融.天然氣混合催化燃燒污染控制數值研究[J].天然氣工業,2008,28(12):101-103.
[3] 杜禮明,解茂昭.預混氣體在多孔介質中往復式超絕熱燃燒的數值研究[J].燃燒科學與技術,2005,11(3):230-235.
[4] 王恩宇,程樂鳴,駱仲泱,等.天然氣在漸變型多孔介質中的預混燃燒啟動特性[J].燃燒科學與技術,2007,13(5):393-397.
[5] BHATTACHARYA A,CALMIDI V V.MAHAJAN R L.Thermophysical properties of high porosity metal foams[J].International Journal of Heat and Mass Transfer.2002,45:1017-1031.
[6] ALIE C,FERAUCHE F,LEONARD A,et al.Pd-Ag/Si02 xerogel catalyst forming by impregnation on alumina foams[J].Chemical Engineering Journal,2006,117(1):13-22.
[7] AHN J,EASTWOOD C,SITZKI L,et al.Gas-phase and catalytic combustion in heat-recirculating burners[J].Proceedings of the Combustion Institute,2005,30(2):463-472
[8] 李國能,周昊,錢欣平,等.多孔介質內甲烷超絕熱燃燒制氫聯合概率密度模擬[J].天然氣工業,2007,27(8):112-114.
[9] 楊仲卿,張力,唐強,等.超低濃度煤層氣在流態化蓄熱裝置中的燃燒特性[J].天然氣工業,2010,30(6):94-97.
[10] 熊超,秦朝葵,戴萬能,等.冷凝式燃氣熱水器技術及應用[J].天然氣工業,2010,30(2):112-114.
[11] 李云清,何鵬,王金成.碳氫燃料在亞臨界及超臨界狀態下的狀態方程研究[J].石油與天然氣化工,2007,36(1):13.
[12] 周祖鵬.燃燒生命周期影響評價方法的研究[J].石油與天然氣化工,2006,35(2):154-157.
[13] 脊蕊娜,姜培學,趙陳儒,等.流體在微細多孔介質中的流動阻力研究[J].工程熱物理學報,2007,28(5):841-843.
[14] 高永祥,徐建寬.多孔介質床層中顆粒內部流體的流動[J].天津大學學報:自然科學與工程技術版,2000,33(5):553-559.
[15] MONTILLET A,AKKARI E,COMITI J.About a correlating equation for predicting pressure drops through packed beds of spheres in a large range of Reynolds numbers[J].Chemical Engineering and Processing,2007.46(4):329-333.
[16] 呂兆華.泡沫型多孔介質中非達西流立方框架模型[J].南京理工大學學報:自然科學版,1997,21(1):1-4.
[17] FOURIE J,PLESSIS J.Pressure drop roodeling in cellular metallic foams[J].Chemical Engineering Science,2002,57(14):2781-2789.
[18] DUKHAN NIHAD,PATEL PRAGNESH.Equivalent particle diameter and length scale for pressure drop in porous metals[J].Experimental Thermal and FIuid Science.2008,32(5):1059-1067.
[19] GIANI L,GROPPI G.Mass transfer characterization of metallic foams as supports for structured catalysts[J].Industrial and Engineering Chemistry Research,2005,44(14):4993-5002.
[20] LEONG K C,JIN L W.Characteristics of oscillating flow through a channel filled with open cell metal foam[J].International Journal of Heat and Fluid Flow,2006,27(1):144-153
[21] MAXIME L,PATRICK N,DANIEL S,et al.Pressure drop measurements and modeling on SiC foams[J].Chemical Engineering Science,2007,62(12):3259-3267.
[22] 王恩宇,吳晉湘,劉聯勝,等.基于FLUENT對惰性多孔介質中湍流預混燃燒的模擬[J].河北工業大學學報,2007,36(2):94-99.
(本文作者:馬培勇1,2 唐志國2 蔡萬大1 1.中國科學技術大學;2.合肥工業大學)
贊 賞 分享
您可以選擇一種方式贊助本站

支付寶轉賬贊助

微信轉賬贊助
- 注解:本資料由會員及群友提供僅供閱讀交流學習,不得用于商業用途!
