摘要:水平井作為提高低滲透氣藏單井產能的重要手段在實際生產中得到廣泛運用。文獻調研表明,低滲透氣藏受其儲層物性的影響,普遍存在復雜的非線性滲流效應,如滑脫效應、啟動壓力梯度及應力敏感效應;目前已有的低滲透氣藏水平井產能預測模型中均沒有考慮氣體滑脫效應的影響,究竟這些效應是如何影響低滲透氣藏水平井產能的還缺乏相應的評價手段。為此,針對低滲透氣藏的滲流特征,引入新的擬壓力函數,建立綜合考慮氣體滑脫效應、啟動壓力梯度、應力敏感效應共同影響下的水平氣井產能模型,并以某低滲透氣藏為例,分析了這些效應分別對水平氣井產能的影響程度。結果表明:應力敏感對水平氣井產量影響較大,但是氣體滑脫效應與啟動壓力梯度對水平氣井產能的影響也不能忽略;應力敏感會使水平氣井產量大幅下降,最大可下降12%;氣體滑脫效應會使水平氣井產量上升,增加幅度在1.96%左右;啟動壓力梯度會使水平氣井產量下降,下降幅度約1.43%。所建立的水平井產能評價方法為深入認識低滲透氣藏水平井產能變化特征提供了重要的評價手段。
關鍵詞:低滲透氣藏;水平井;滑脫效應;啟動壓力;應力敏感;產能方程;非達西流
低滲透氣藏儲層普遍具有低孔、低滲透、高含水特點,因此低滲透儲層中單相氣體滲流規律變得極其復雜。在特定條件下氣體在儲集層巾的流動規律已不再滿足達西滲流規律,而表現出明顯非達西性流動特征。氣體非達西滲流效應主要有以下3種形式:①由于氣-固、液-固分子之間作用力差異引起的“氣體滑脫現象”;②由于低滲透儲層小孔喉特征及高含水飽和度引起的氣體滲流在一定條件下存在“啟動壓力梯度”;③由于低滲透氣藏儲層特點及開采過程中引起的儲層有效應力變化引起的應力敏感特征。
水平井作為低滲透氣藏提高單井產能的一種重要手段在國內外低滲透油氣田開發中得到廣泛應用。對于低滲透氣藏產能計算方面,目前已有不少學者進行了研究[1~7]。但是大多數只考慮了啟動壓力梯度對水平井產能的影響[3~7],郭肖等[2]研究了啟動壓力梯度與應力敏感共同作用下的水平井產能公式,他提出應力敏感效應對水平井產能影響更加強烈。對于氣體滑脫現象對水平井產能的影響未見到相關研究成果,同時對于綜合考慮氣體滑脫現象、啟動壓力梯度、應力敏感共同影響下的水平井產能計算缺乏相應評價于段。
筆者通過引入新的擬壓力,建立考慮氣體滑脫現象、啟動壓力梯度、應力敏感共同影響下的水平井產能方程。分析不同氣體滑脫效應、啟動壓力梯度、應力敏感下對水平井產能的影響程度,對低滲透氣藏水平井產能預測及動態分析具有理論和現實意義。
1 水平井產能模型的建立
1.1 直井產能分析
1941年Klinkenberg利用Warburg的滑脫理論建立了氣測滲透率(Kg)與絕對滲透率(K)的關系式[8]:

目前大多數人認為b是一個常數。由于實際地層中的平均壓力(
)通過實驗難以準確獲得,所以直接用地層壓力(p)代入進行推導。
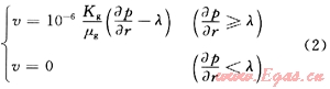
)通過實驗難以準確獲得,所以直接用地層壓力(p)代入進行推導。 考慮啟動壓力梯度的氣體運動方程為:

由于應力敏感的存在,根據Farquhar[9]的研究,絕對滲透率表達式為:
K=Kiexp[-D(pi-p)] (3)
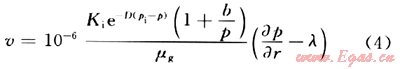
綜合考慮氣體滑脫、啟動壓力梯度、應力敏感的氣體運動方程為:

將滲流速度轉變為地面標準狀態下:

聯立式(4)、(5)得:

定義擬壓力函數為:

對式(6)左右兩邊積分得:

是由啟動壓力梯度引起的附加壓降,其值大小與地層中壓力分布有關。于是在法定單位之下,考慮氣體滑脫、啟動壓力梯度、應力敏感下的直井產量為:

1.2 水平井產能分析
根據Joshi[10]對水平井的研究,Joshi將水平井在三維空間的滲流問題簡化為兩個相互關聯的二維滲流問題,即水平面和垂直面的滲流問題,分別計算這兩部分泄油區域的流量,利用等值滲流阻力法就能求出產能公式。
在水平平面內,水平井泄油面積為一個橢圓,引入儒柯夫斯基變換
,從而將長半軸為a、短半軸為b的橢圓形區域變換成半徑為(a+b)/(0.5L)的圓形區域,將線段(-L/2,0)到(L/2,0)映射成單位圓周在ξ平面內的流動,可以認為是半徑(n+b)/(0.5L)的圓形供給區域內有一口半徑為1的直井的情形。此時,水平平面上的啟動壓力梯度就變為:
,得水平井在水平面的流量為:
,從而將長半軸為a、短半軸為b的橢圓形區域變換成半徑為(a+b)/(0.5L)的圓形區域,將線段(-L/2,0)到(L/2,0)映射成單位圓周在ξ平面內的流動,可以認為是半徑(n+b)/(0.5L)的圓形供給區域內有一口半徑為1的直井的情形。此時,水平平面上的啟動壓力梯度就變為:
,得水平井在水平面的流量為:
垂直平面內引入變換
,將z平面上帶形區域變換成ζ平面上的一個單位圓域,井半徑rw在ζ平面上相應變換為
。在ζ平面上的流動,可以認為是單位圓形封閉區域內有一口半徑為ζw的直井的情形。此時,垂直平面上的啟動壓力梯度為
。從而得到水平井在垂直面的流量為:
,將z平面上帶形區域變換成ζ平面上的一個單位圓域,井半徑rw在ζ平面上相應變換為
。在ζ平面上的流動,可以認為是單位圓形封閉區域內有一口半徑為ζw的直井的情形。此時,垂直平面上的啟動壓力梯度為
。從而得到水平井在垂直面的流量為:
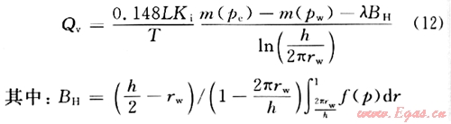
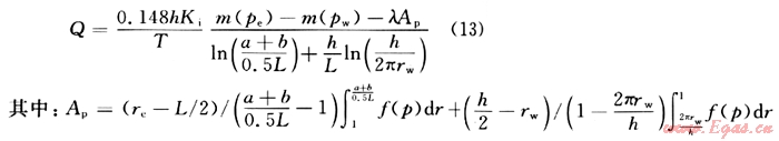
因此,根據等值滲流阻力公式,考慮氣體滑脫、啟動壓力梯度、應力敏感的水平井產能公式為:

當λ=0、D=0時,產能公式就退化為只考慮氣體滑脫時的產能方程:

因此當取不同的值時,產能方程就會退化為各種不同的形式。
1.3 擬壓力函數的計算
對于擬壓力函數m(P)可以采用數值積分的方法計算,即

對于由啟動壓力引起附加的壓降
,由于很難獲得p與r的準確關系式,所以用采用定積分近似計算方法計算。即
,由于很難獲得p與r的準確關系式,所以用采用定積分近似計算方法計算。即
2 實例計算
現有某氣藏地層和水平井參數為:h=5m,T=360K,Ki=0.3mD,re=600m,rw=0.08m,D=0.01Mpa-1,b=0.5MPa,L=300m,λ=0.0005MPa/m,pe=40MPa,Z=0.98,μg=0.015mPa·s。
為了分析參數的影響程度,在其他參數相同情況下氣體滑脫因子分別?。?、0.1、0.5、1、2MPa;啟動壓力梯度分別?。?、0.0005、0.001、0.005、0.01MPa/m;應力敏感系數分別取:0、0.01、0.02、0.03、0.04MPa-1時,計算得到各種情況下的IPR曲線如圖1~6所示,通過分析得出結果如下。
1) 僅考慮氣體滑脫效應時(圖1),水平氣井的產量將會增加,這是因為氣體滑脫效應增大了氣體滲透率,所以水平氣井的產量較不考慮氣體滑脫效應時大。特別是當井底流壓較小時,水平氣井產量增加較為明顯(當pw=0.1MPa時,產量較不考慮氣體滑脫效應時增加2.49%)。隨著井底流壓的增大,氣體滑脫效應對水平氣井產量增加的程度將會有所減弱(當pw=30MPa時,產量較不考慮氣體滑脫效應時增加1.43%)。氣體滑脫效應使水平氣井產量平均上升幅度為1.96%左右。

2) 分別僅考慮啟動壓力梯度、應力敏感時,水平氣井的產量都會降低。但是應力敏感對水平氣井產量下降的影響更大(圖2)。特別是當井底流壓較小時,應力敏感使水平氣井產量降低的更為明顯(當pw=0.1MPa時,產量較不考慮應力敏感時減少12.1%)。隨著井底流壓的增大,應力敏感使水平氣井產量降低的程度將會大大下降(當pw=30MPa時,產量較不考慮應力敏感時減少4.57%)。而啟動壓力梯度對水平氣井產量下降的影響較應力敏感小(圖3),當井底流壓較小時,啟動壓力梯度使水平氣井產量降低的程度很小(當pw=0.1MPa時,產量較不考慮啟動壓力梯度時減少0.57%),隨著井底流壓的增大,這種降低程度將會增加(當pw=30MPa時,產量較不考慮啟動壓力梯度時減少2.28%)。啟動壓力梯度使水平氣井產量平均下降幅度為1.43%左右。


3) 考慮到氣體滑脫效應的敏感性(圖4),隨著氣體滑脫因子的增大,在相同的井底流壓下,水平氣井產量都會增加,當氣體滑脫因子分別取0.1、0.5、1.0、2.0MPa時,水平氣井的無阻流量較不考慮氣體滑脫效應時分別增加0.5%、2.49%、5.0%、9.98%??紤]到啟動壓力梯度的敏感性(圖5),隨著啟動壓力梯度增加,在相同的井底流壓下,水平氣井的產量都會下降,當啟動壓力梯度分別取0.0005、0.001、0.005、0.01MPa/m時,水平氣井的無阻流量較不考慮啟動壓力梯度時分別降低0.57%、1.13%、5.67%、11.34%。考慮到應力敏感的敏感性(圖6),隨著應力敏感系數增加,在相同的井底流壓下,水平氣井的產量都會下降,當應力敏感系數分別取0.01、0.02、0.03、0.04MPa-1時,水平氣井的無阻流量較不考慮應力敏感時分別降低12.1%、22.08%、30.39%、37.35%。
3 結論
1) 考慮到低滲透非達西氣藏的滲流特征,建立了考慮氣體滑脫效應、啟動壓力梯度、應力敏感共同作用的水平氣井穩態產能方程。
2) 分析了氣體滑脫效應、啟動壓力梯度、應力敏感分別對水平氣井產能的影響程度。得出應力敏感對水平氣井產能影響最大。但是氣體滑脫效應與啟動壓力梯度對水平氣井產能的影響也不能忽略。
3) 應力敏感使水平氣井產量大幅下降,最大可下降12%;氣體滑脫效應使水平氣井產量小幅上升,平均上升幅度為1.96%左右;啟動壓力梯度使水平氣井產量小幅下降,平均下降幅度為1.43%左右。
符號說明
Kg為氣體視滲透率,mD;K為絕對滲透率,mD;Ki為原始壓力下的絕對滲透率,mD;b為滑脫因子,MPa;μg為氣體黏度.mPa·s,λ為啟動壓力梯度,MPa/m;D為應力敏感系數,MPa;pi為氣藏原始地層壓力,MPa;v為氣體速度,m/s;Qsc為地面標準狀態下氣井產量,104m3/d;Bg為氣體體積系數;h為儲層厚度,m;Z為氣體偏差系數;T為儲層溫度,K;p為儲層壓力,MPa;r為到井的徑向距離,m;psc為地面標準大氣壓,MPa;Tsc為地面標準溫度,K;re為泄流半徑,m;rw為井半徑,m;m(p)為擬壓力;n、b分別為橢圓泄流半徑的長半軸和短半軸,m;L為水平井長度,m;pe為地層外邊界壓力,MPa;pw為井底流壓,MPa。
參考文獻
[1] 汪周華,鐘兵,伊向藝,等.低滲氣藏考慮非線性滲流特征的穩態產能方程[J].天然氣工業,2008,28(8):81-83.
[2] 郭肖,伍勇.啟動壓力梯度和應力敏感效應對低滲透氣藏水平井產能的影響[J].石油與天然氣地質,2007,28(4):539-543.
[3] 高海紅,程林松,馮儒勇.考慮啟動壓力梯度的低滲氣藏水平井產能計算[J].天然氣工業,2008,28(7):75-77.
[4] 何英,楊正明,劉學偉,等.低滲透油田考慮啟動壓力梯度計算井網產量[J].西南石油大學學報:自然科學版,2009,31(3):163-166.
[5] 楊學云,張學婧,蔣國斌,等.啟動壓力梯度影響下低滲透氣藏水平井產能模型的建立[J].特種油氣藏,2010,17(1):85-87.
[6] 張烈輝,張蘇,熊燕莉,等.低滲透氣藏水平井產能分析[J].天然氣工業,2010,30(1):49-51.
[7] 李曉平,李允.水平氣井井筒壓降及產量變化規律研究[J].西南石油大學學報:自然科學版,2009,31(3):154-157.
[8] KLINKENBERG L J.The permeability of porous media to liquid and gases[M]∥Drilling and Production Practice,Washington,D C:American Petroleum Instilute,1941.
[9] FARQUHAR R A,SMART B G D,TODD A C,Stress sensitivity of low-permeability sandstones from the Rotlieg-endes sandstone[C]∥paper SPE 26501-MS presented at the SPE Annual Fechnical Conference and Exhibition,36 October 1993,Houston,Texas.New York:SPE,1993.
[10] JOSHI S D.Augmentation of well productivity with slant and horizontal wells [J].Journal of Petroleum Technology,1988,40(6):729-739.
(本文作者:郭平 任俊杰 汪周華 “油氣藏地質及開發工程”國家重點實驗室·西南石油大學)
贊 賞 分享
您可以選擇一種方式贊助本站

支付寶轉賬贊助

微信轉賬贊助
- 注解:本資料由會員及群友提供僅供閱讀交流學習,不得用于商業用途!
