摘要:存在補給的氣藏在開采過程中會導致動態儲量“增大”的特殊現象,反映出氣藏開發中的非均衡開采特性,這在非均質性較強的氣藏或者斷層不(完全)封閉的斷塊氣藏中時有出現。為此,充分考慮了氣體、水體兩方面的補給情況,在建立物理模型的基礎上,利用物質平衡原理建立了考慮水侵和動態補給的氣藏物質平衡方程;通過對方程的變型化簡,提出了簡便而有效的求解方法,從而對常規氣藏物質平衡法作出有效地補充和擴展。用該方法對海上某斷塊氣藏進行了計算,分析了外圍水體大小對實例氣藏補給程度的影響,預測了氣藏補給量的大小以及不同水侵情況下氣藏補給量的變化,合理解釋了該氣藏動態儲量大于地質儲量的原因,對氣藏動態儲量“超百”現象進行了校正,減少了接替區塊的鉆井數,提高了經濟效益。
關鍵詞:氣藏;物質平衡法;非均衡開采;水侵;數學模型;應用;海洋
氣藏的補給和外溢漏失現象在國內外許多地區均有發現[1~4]。目前針對補給和外溢漏失現象的研究主要有兩種方法:一是針對低滲透致密氣藏非均衡開采特性建立的多區物質平衡法[5~6];二是針對斷塊氣藏斷塊封閉性不好而導致區塊間儲量相互動用的隔板氣藏物質平衡方程[9~12]。以上研究方法均需要2個以上區塊的地層壓力、儲層物性參數等資料數據才能計算,適用于氣藏開發中后期。筆者針對海上斷塊氣藏提出了基于水侵的單一補給氣藏新的物質平衡方程,該方法適用于氣藏開采初期,解決了前面計算研究方法因開采前期資料不足而無法計算的問題。
氣藏動態儲量是指氣藏連通孔隙體積內,在現有開采技術水平條件下和現階段最終能夠有效流動的氣體折算到地面標準條件的可采儲量。當氣藏沒有“外來流體補給”或對外“補給”溢出時,以及氣藏滲透性與連通性很好,在開采程度較高情況下,其動態控制儲量將接近于它的靜態儲量;但當區塊之間斷層不封閉,導致天然氣和地下水由高壓區(未開采區塊)向低壓區(已開采區塊)流動,對于儲滲條件較好的氣藏區塊產生補給且補給量不可忽視時,可能會導致動態控制儲量計算值大于靜態儲量。建立考慮補給的氣藏物質平衡方程可以簡便計算補給量和外溢量的大小,確定未開采區塊的動用程度,為氣藏的合理開發提供依據。
1 氣藏物理模型的建立
1936年,Schilthus首先推導出體積物質平衡方程,此方法可以簡單有效的估算地層內原始氣體和氣藏枯竭各階段天然氣儲量,是油氣藏動態分析的一種標準的油氣藏丁程工具。筆者借鑒物質平衡原理[2,13~15],將氣藏模擬為單獨儲罐體,并考慮有外來天然氣及水體通過薄的可滲透邊界不斷流入氣藏的情況下建立新的補給氣藏物理模型(圖1)。

2 氣藏物質平衡方程的建立
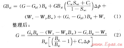
根據補給氣藏物理模型,應用物質平衡原理,假設氣藏有底水或邊水水侵,并考慮巖石與束縛水膨脹的影響,推導出補給氣藏物質平衡方程:

3 數學模型求解
對式(2)進行適當簡化并求解,既可以還原為常規氣藏物質平衡方程,也可以按基于補給的氣藏物理模型進行求解得到考慮水侵及產水時補給氣藏的物質平衡方程。
3.1 忽略水侵及產水時模型求解
對于定容封閉的干氣氣藏,氣藏將不會產水和有水體侵入,即We=0、Wp=0、Wc=0,代入式(2)整理后即可得到熟悉的定容封閉干氣氣藏物質平衡方程:

3.2 考慮水侵及產水時模型的求解
當氣藏有外來氣體補給并有邊水或底水侵入時,由于氣相的相對滲透率大于水相相對滲透率,氣藏的補給會發生在水侵之前,然而一旦氣藏補給和水侵同時發生僅從物質平衡方程無法將二者分開計算,需要借用水侵計算方法,例如Cater-Tracy方法、Fetkovich方法或者快速褶積積分法。先計算水侵量大小,再代入補給氣藏物質平衡方程計算補給氣量的大小。
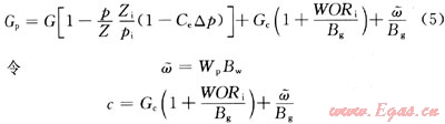
在氣藏開采的初期,無底水錐進和邊水突破,氣井仍要采出少量水,此時采出的水即為氣中含水和可動平衡共存水。若氣藏壓力一致且連通性較好,則可以認為Wc和初始時刻的產水量相等,也即Wc可用初始時刻的水氣比和補給氣量來表示。即
Wc=WORiGc (4)
代入式(2)整理后可得:

簡化后得:

無論是考慮水侵還是不考慮水侵的存在補給的氣藏物質平衡方法,方程中都涉及氣藏的動態地質儲量和累計補給氣量兩個未知數的確定,顯然方程屬于超越方程,無法直接求解。因此,必須建立相應的求解方法。
當G小于原始地質儲量時,說明氣藏的補給量不大,補給氣量并未被采出,對于各個階段的動態儲量和補給氣量,可以利用重復線性回歸法求得不同階段的Gc(圖2),圖2中
。
。
當G大于地質儲量時,補給氣量較大,此時壓力波已傳播到斷層處并影響了相鄰區塊,氣藏的補給氣量直接被采出。因此,累計產氣量就包含兩部分,即本區塊的累計采出部分和補給區塊的累計補給量。即

4 實例計算
某海上復雜斷塊氣田,氣田總地質儲量約為900×108m3,屬低孔中滲-中孔高滲儲層。氣田三邊為大邊界斷層遮擋,水體僅分布在氣藏東面的氣水界面之下,水體大小不確定,初步估計水體倍數為2.5倍,地層壓力為38.5MPa。其中A區塊標定地質儲量約為360×108m3,目前地層壓力為13MPa。
根據圖3采用常規物質平衡法計算得到A區塊的動態控制儲量為475.88×108m3,其動態控制儲量遠遠大于A區地質儲量,出現“超百”現象,不符合常理。分析認為:該區塊與B區塊間存在相互補給和外溢漏失的情況,B區塊和A區塊相鄰并由一條斷層分隔,B區塊后期加鉆1口井測壓顯示地層壓力已降至27MPa,說明該區塊已被動用(即產生了外溢)。應用上述建立的補給氣藏物質平衡方程可以計算收益區塊A區塊補給量的大小,其計算結果見表1。


從圖4不同水體倍數下累計補給氣量來看,A區塊存在補給情況,當不考慮水侵時計算的累計補給量為72.13×108m3。考慮水侵時,分別計算了1~4倍水體大小的補給情況,結果顯示氣藏水體應在2倍以上,此結論與地質上判斷氣藏水體倍數為2.1~3.1倍相符。同時還可以看到水體倍數越大水侵量越大,其他區塊氣體的補給量也就越?。凰w大小對初期瞬時補給量影響較大,后期氣田生產穩定后不同水體倍數下的瞬時補給量一致。

由圖4所預測的瞬時補給氣量顯示,氣田開采初期僅有A區塊開采,采氣速度迅速上升到4.5%,瞬時補給量(qg)也快速上升達到400×104m3/d;隨后由于氣田其他區塊投入開采,適當調低了A區塊的采氣速度(維持在2.5%),瞬時補給氣量也降到120×104m3/d左右。采氣速度大小直接關系著地層壓力的降低幅度,因此,區塊間的壓力差是影響氣竄量大小的重要因素。
綜上所述,實例氣藏A區塊有來自其他區塊的補給量約70×108m3,與其相鄰的B區塊則可能已被動用,即B區儲量產生了外溢,目前以150×104m3/d左右的速度向A區塊補給,對于已動用的B區塊則可考慮少打井同時利用剩余地層壓力差由A區塊來動用B區塊的儲量。這樣可以大大節約投資成本,提高經濟效益。
5 認識與結論
1) 應用物質平衡原理推導出考慮邊水或底水水侵及存在補給的氣藏物質平衡數學模型,對數學模型進行簡化求解,采用重復線性回歸的方法得到了考慮不同階段氣藏的補給量影響的氣藏物質平衡方程,采用該方程可以簡便而快速地估算考慮不同階段氣藏補給量的大小。
2) 針對某海上復雜斷塊氣田進行了實例計算,合理解釋了動態控制儲量“超百”的原因,計算得到了各個階段的補給量大小。認識到與A區塊相鄰的B區塊已被動用,可以考慮少打井甚至不打開發井利用A區塊動用B區塊的儲量。
3) 在不同的水體大小情況下,計算區塊的補給量大小,計算結果顯示水體倍數應該大于2倍,與前期地質分析結論相符。水體倍數越大、水侵量越大,則區塊間氣體的補給量會減少。區塊間的壓力差是影響氣體補給量大小的重要因素。
符號說明
G為天然氣儲量,108m3;Gp為累計產氣量,108m3;Gp1為累計產出的來自于區塊1的氣量,108m3;Gp2為累計產出的來自于區塊2的氣量,即補給進入區塊1后累計產出的氣量,108m3;Gc為累計補給氣量,108m3;We為累計水侵量,108m3;Wp為累計產水量,108m3;Wc為累計補給水量,108m3;Bg為天然氣體積系數;Bgi為原始壓力下的天然氣體積系數;Bw為地層水的體積系數;Cw為地層水的壓縮系數,Mpa-1;Cf為巖石的壓縮系數,Mpa-1;Ce為有效綜合壓縮系數,Mpa-1;Swi為原始束縛水飽和度;pi為原始地層壓力,MPa;p為地層壓力,MPa;△p為地層壓力降,MPa;Zi為原始壓力下天然氣偏差系數,無因次;Z為天然氣偏差系數,無因次;WOR為生產水氣比,m3/m3;Ce為有效壓縮系數,
,G′p為區塊1累計采出量,108m3;Gi為區塊1原始地質儲量,108m3。
,G′p為區塊1累計采出量,108m3;Gi為區塊1原始地質儲量,108m3。參考文獻
[1] 劉斐,陸正元,王慶魁.隔氣式有水氣藏被分隔儲集空間的儲量計算[J].石油鉆探技術,2007,39(3):69-71。
[2] 楊玲,高承泰,高煒欣.非均衡開采在陜甘寧盆地中部氣田中的應用[J].西安石油學院學報,1999,14(2):13-15.
[3] CERVANTES,GELBER TAC0.Reservoir eompartmental-isation in the Roma Area[C]∥SPE Asia Pacific Oil and Gas Conference,28-31 0ctober 1996,Adelaide,Australia:SPE,1996.SPE 37004.
[4] SHENAWI S H,HOWARD W E,LARA A L,et al.Integrated identification of possible compartmented gas reservoirs:a case study[c]∥SPE Permian Basin Oil and Gas Recovery Conference,21-23 March 2000,Midland,Texas:SPE,2000.SPE 59694.
[5] PAYNE D A.Material balance calculations in tight gas reservoirs:the pitfalls of p/z plots and a more aceurate technique[J]∥SPE Reservoir Engineering 1996,11(4):260-267.
[6] 高承泰.具有補給區的物質平衡法及其對定容氣藏的應用[J].石油勘探與開發,1993,20(5):53-61.
[7] 高承泰,張敏渝,楊玲.定容氣藏非均衡開采研究[J].石油學報,1997,18(1):70-76.
[8] 張新征,張烈輝,李玉林,等.預測裂縫型有水氣藏早期水侵
[9] HOWER T L,COLLINS R E.Detecting compartmentalization in gas reservoirs through production performance[C]∥SPE Annual Technical Conference and Exhibition.8-11 October 1989,San Antonio,Texas:SPE,1989.SPE 19790.
[10] LORD M E,COLLINS R E.Detecting compartmented gas reservoirs through production performance[C]∥SPE Annual Technical Conference and Exhibition,6-9 0ctober 1991,Dallas,Texas:SPE,1991.SPE 22941.
[11] HAGOORT JACQUES,H00GSTRA ROB.Numerical solution of the material balance equations of compartmented gas reservoirs[J]∥SPE Reservoir Evaluation & Engineering,1999,2(4):385-392.
[12] RAHMAN N M A,AMBASTHA A K.Generalized 3D analytical model for transient flow in compartmentalized reservoirs[J].SPE Journal,2000,5(3):276-286.
[13] 李傳亮,姚淑影,李冬梅.油藏工程該使用哪個巖石壓縮系數[J].西南石油大學學報:自然科學版,2010,32(2):182-184.
[14] 羅伯特,沃特恩伯格.氣藏工程[M].王玉普,譯.北京:石油工業出版社,2007.
[15] 田文忠,孫雷,孫良田,等.異常高壓油(氣)藏物質平衡新方法的應用評價[J].西南石油學院學報,2005,27(3):37-40.
(本文作者:王星1 黃全華2 尹瑯2 孫雷2 成濤3 1.中海油研究總院;2.西南石油大學石油工程學院;3.中海石油(中國)有限公司湛江分公司)
贊 賞 分享
您可以選擇一種方式贊助本站

支付寶轉賬贊助

微信轉賬贊助
- 注解:本資料由會員及群友提供僅供閱讀交流學習,不得用于商業用途!
