摘要:在合理假設的基礎上,根據流體力學理論推導出燃氣射流的速度分布、濃度分布公式,提出了燃氣泄漏場所可爆氣云體積的計算方法,對實際的管道泄漏案例進行了分析。
關鍵詞:燃氣泄漏;射流擴散;速度分布;濃度分布;可爆氣云體積
Model for Gas Leakage Jet Diffusion and Its Application
ZANG Zixuan,HUANG Xiaomei,CHEN Bei
Abstract:Based on the reasonable hypothesis,the formulas for velocity distribution and concentration distribution of gas jet are deduced according to fluid dynamics theory.The method for computing explosive gas cloud volume at gas leakage site is proposed.The practical case of gas pipeline leakage is analyzed.
Key words:gas leakage;jet diffusion;velocity distribution;concentration distribution;explosive gas cloud volume
1 概述
燃氣管道泄漏時有兩種典型的泄漏過程:①直接從管道泄漏到空氣中;②泄漏到土壤中,經過土壤滲透到空氣中。泄漏燃氣的擴散過程就是燃氣的質量傳遞過程,質量傳遞按動力可分為兩類[1]:因對流(即整體移動)引起的質量傳遞和因擴散(即濃度梯度)引起的質量傳遞。當燃氣經過土壤滲透泄漏到空氣中時,或在燃氣射流的末端,泄漏燃氣的速度大大減小,其質量傳遞動力以濃度梯度引起的擴散為主,此時燃氣擴散過程符合斐克定律。當射流速度接近于風速,可視為射流結束,此時若燃氣濃度已不會構成威脅,則不必進行其他擴散的分析,若燃氣濃度仍有害,則需進一步采用擴散模型進行分析。
筆者忽略濃度梯度導致的擴散,推導燃氣管道泄漏射流的速度分布和濃度分布,以確定燃氣管道泄漏口周圍的有害濃度范圍,計算燃氣管道可參與爆炸的體積,為燃氣泄漏時的應急救援提供理論支持。
2 燃氣泄漏射流模型的推導
① 泄漏口參數的確定
泄漏口參數包括泄漏口處的燃氣流量、流速和密度,這些參數是求解燃氣射流速度、濃度分布的基礎。
設燃氣從管道泄漏到空氣中,不考慮風速的影響(此乃最不利情況)。燃氣管道泄漏示意見圖1。其中,點1、2、3分別表示管道起點、泄漏口入口點、泄漏口出口截面上的點。

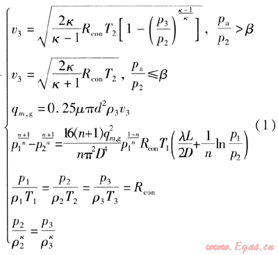
假設燃氣從點1流至點2為管內多變流動過程,從點2泄漏到點3為等熵流動過程,推導得到點3處燃氣的溫度、壓力、流速、密度和質量流量[2],見式(1)。

式中v3——燃氣泄漏的流速,m/s
κ——燃氣的等熵指數
Rcon——燃氣的氣體常數,J/(kg·K)
T1、T2、T3——點1、2、3處燃氣的溫度,K
p1、p2、p3——點1、2、3處燃氣的絕對壓力,Pa
pa——環境壓力,Pa
β——臨界壓力比
qm,g——燃氣泄漏的質量流量,kg/s
μ——流量系數,取0.90~0.98
d——泄漏口直徑,m
ρ1、ρ2、ρ3——點1、2、3處的燃氣密度,kg/m3
n——多變指數
D——管道內徑,m
λ——摩擦阻力系數
L——泄漏口至管道起點的距離,m
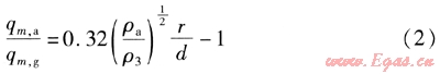
② 燃氣引射空氣質量
泄漏口處燃氣密度與空氣密度相差較大,屬于非定密度體系射流[3]。當燃氣射流噴入空氣中時,由于內摩擦力的作用,燃氣射流與空氣發生動量交換,周圍空氣被卷吸進來,根據動量守恒可以推導出非定密度體系中,燃氣引射進來的空氣質量流量,見式(2)[3]。

式中qm,a——燃氣射流卷吸進來的空氣質量流量,kg/s
ρa——空氣密度,kg/m3
r——射流軸心至泄漏口的距離,m
③ 泄漏燃氣速度分布和濃度分布
泄漏口處的燃氣溫度、密度與周圍空氣都不相同,由于射流的卷吸作用,周圍空氣被卷吸進來,與泄漏燃氣產生熱量、質量、動量交換,混合氣體溫度逐漸接近環境溫度,混合氣體密度也逐漸接近周圍空氣密度。在射流起始段,射流軸心速度等于射流出口速度,在射流主體段,射流速度逐漸減小。射流主體段及起始段邊界層任意橫截面上的速度分布均類似,都服從高斯分布[4],軸心速度最大,距離軸心越遠,速度越小。
射流各橫截面上的速度分布計算見式(3)[4]。

式中v——射流橫截面上距離軸心為ry的點處的速度,m/s
vm——該橫截面射流軸心的速度,m/s
ry——該橫截面上任意點到軸心的距離,m
R——該橫截面的射流半徑,m,起始段為邊界層厚度
橫截面射流半徑的計算公式為:

式中R0——泄漏口半徑,m
a——湍流結構系數,對于圓孔射流,一般取0.07~0.08
設ρn為某橫截面上距離軸心為ry處燃氣的質量濃度,則:

式中ρm——該橫截面軸心處燃氣的質量濃度,kg/m3
則任意橫截面上燃氣的質量流量計算公式為:

將式(3)、(5)等號兩端分別相乘,可得:

根據參考文獻[4]提供的數值積分結果表可得:

將式(9)代入式(8),根據橫截面燃氣質量流量與泄漏口處燃氣質量流量相等,得式(10)、(11):

任意橫截面射流總質量流量的計算式為:

式中qm,z——任意橫截面射流的總質量流量,kg/s
ρ——橫截面上距離軸心為r。處混合氣體的密度,kg/m3
橫截面上距離軸心為ry處的混合氣體密度ρ的計算公式為:

式中ρg——燃氣密度,kg/m3,在射流主體段,燃氣溫度接近環境溫度,近似取燃氣密度為常溫常壓下的密度
將式(14)代入式(13),得:

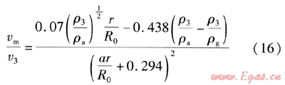
由式(2)、(4)、(12)、(15)可推導得:

將式(16)代入式(12),得:

聯立式(3)、(4)、(5)、(16)和(17)可計算出任意點的速度和濃度,由于使用了假設條件,式(16)、(17)不適用于射流初始段,射流初始段的軸心速度等于泄漏口處的速度,軸心燃氣質量濃度等于泄漏口處的燃氣密度。
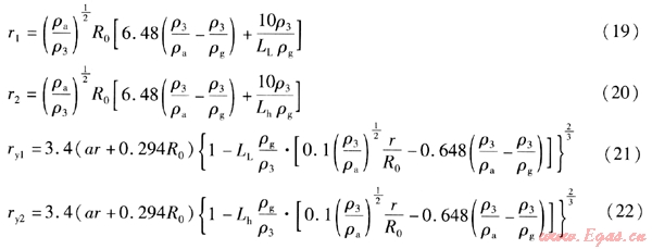
3 燃氣泄漏場所可爆氣云體積計算
式(3)、(4)、(5)、(16)、(17)給出了泄漏燃氣的濃度和速度分布基本公式,對可爆氣體濃度范圍積分即可求得可爆氣云的體積,見式(18),式(18)是比較復雜的二重積分,可采用數值方法編程計算。

式中V——可爆氣云體積,m3
r1——燃氣含量降低到爆炸下限時,射流軸心至泄漏口的距離,m
ry1——射流橫截面上,燃氣含量降低到爆炸下限處至射流軸心的距離,m
r2——燃氣含量降低到爆炸上限時,射流軸心至泄漏口的距離,m
ry2——射流橫截面上,燃氣含量降低到爆炸上限處至射流軸心的距離,m
由式(17)和式(5)推導出r1、r2、ry1、ry2的計算公式為:

式中LL——燃氣的爆炸下限,天然氣取0.05
Lh——燃氣的爆炸上限,天然氣取0.15
由式(19)~(22)可知,對于一個具體的問題,r1、r2是常數,ry1和ry2是r的函數。
4 案例分析
某運行壓力為0.4MPa、內徑為200mm的燃氣管道,受施工破壞完全斷裂,泄漏I5距離上游調壓器1km,分析燃氣射流的速度和濃度分布。經計算,射流出口流速為153m/s,出口燃氣密度為0.965kg/m3,將這2個參數代入式(3)、(4)、(5)、(16)和(17)進行編程計算,可得以下結論:
① 燃氣射流軸心速度分布
編程繪制的燃氣射流軸心速度分布見圖2。由圖2可知,燃氣射流軸心速度迅速衰減,當距離泄漏口約125m時,射流軸心速度降至1m/s(靜止空氣中),可視為射流結束。

② 燃氣射流軸心濃度分布
編程計算的燃氣射流軸心質量濃度分布見圖3。當射流軸心至泄漏口的距離約為9.9m時,含量達到爆炸上限(15%),當射流軸心至泄漏口的距離約為30.6m時,含量低于爆炸下限(5%)。當射流軸心至泄漏口的距離為154m時,含量低于燃氣的警戒體積分數(1%)。

③ 爆炸極限范圍
編程計算爆炸上限和下限對應的坐標,可繪制爆炸極限范圍,即可爆區域。沿射流軸線的剖面和可爆區域見圖4。

由于燃氣的有害含量5%尚在射流擴散范圍內,所以對于該案例可不必再進行其他的擴散分析。
④ 泄漏場所可爆氣云體積
將相應參數代入式(17)~(22),編程計算可得r1=30.58m,r2=9.90m,可爆氣云體積為392.8m3。將可爆氣云體積代入爆炸效應評估的模型,可求出氣云爆炸的危害程度及范圍。
5 結語
筆者在合理假設的基礎上,采用射流模型推導了管道燃氣泄漏后,泄漏口附近的速度分布和濃度分布方程組。通過簡單的編程計算,可求出射流主體段任意點的濃度和速度,從而確定燃氣泄漏場所的有害濃度半徑。根據燃氣爆炸上限和下限,可以求出燃氣泄漏場所的可爆區域及可爆氣云體積,其結果可用于燃氣泄漏的爆炸危害分析。將求出的結果乘以一定的安全系數,可用于燃氣泄漏緊急情況下的疏散范圍決策。
參考文獻:
[1] WILLIAM K,MICHAEL C,BERNHARD W.對流傳熱與傳質[M].趙鎮南,譯.4版.北京:高等教育出版社,2007:10-11.
[2] 黃小美,彭世尼,徐海東,等.燃氣管道泄漏流量的計算[J].煤氣與熱力,2008,28(3):B11-B16.
[3] 費祥麟.高等流體力學[M].西安:西安交通大學出版社,1989:446-447.
[4] 周謨仁.流體力學泵與風機[M].3版.北京:中國建筑工業出版社,1994:161-166.
(本文作者:臧子璇 黃小美 陳貝 重慶大學 城市建設與環境工程學院 重慶 400045)
贊 賞 分享
您可以選擇一種方式贊助本站

支付寶轉賬贊助

微信轉賬贊助
- 注解:本資料由會員及群友提供僅供閱讀交流學習,不得用于商業用途!
