摘要:對大管徑直埋供熱管道局部穩定性驗算方法進行了分析比較,歐洲EN13941標準驗算方法偏于保守,建議采用臨界應力推導法。在滿足不發生局部失穩的條件下,增大壁厚可采用冷安裝。當增大壁厚后管道增加的造價低于電預熱安裝費用時,可采用冷安裝。
關鍵詞:局部穩定性;臨界徑厚比;冷安裝;電預熱安裝
Comparison among Different Methods for Checking Local Stability of Large-diameter Buried Heating Pipeline
LIANG Yabin
Abstract:Checking methods for local stability of large-diameter buried heating pipeline are analyzed and compared.The checking method in EN 13941 is conservative,and the critical stress method is recommended.The cold installation can be used by increasing the wall thickness when the local instability does not occur.The cold installation can be used when pipe cost increased by increasing the wall thickness is less than electric preheating installation cost.
Key words:local stability;critical radius to thickness ratio;cold installation;electric preheating installation
1 概述
我國現行的CJJ/T 81—98《城鎮直埋供熱管道工程技術規程》(以下簡稱《規程》)適用范圍僅限于小于等于DN 500mm的直埋熱水管道。隨著區域供熱事業的不斷發展,目前我國實際工程已擴大到DN 1200mm。大管徑管道相對壁厚較薄,存在著局部失穩的可能性,而《規程》并沒給出直管段局部穩定性驗算方法,為適應發展的需要,國內正著手對《規程》進行修訂。
目前,錨固段的直管段局部穩定性驗算方法主要有以下3種:
① 方法1:歐洲EN13941標準方法。該標準給出的管道局部屈曲(即局部失穩)驗算公式只適用于屈服極限為235MPa的鋼材(相當于st37鋼材),在歐洲該鋼材只限用于小于DN 600mm的管道,對于大管徑管道能否適用并不明確。
② 方法2:我國提出的臨界應力推導法,按屈服溫差強度條件驗算,其結果符合安定性分析條件。
③ 方法3:由北京某設計單位提出的工程實踐取值法,其結果接近臨界應力推導法。
本文對適合我國國情的大管徑直埋供熱管道局部穩定性驗算方法進行探討。
2 局部穩定性驗算方法
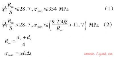
① 方法1[1]
在計算極限狀態應力時,當管道最大軸向應力不超過極限狀態應力,錨固段的直管段就不會發生局部屈曲。管道的極限狀態應力與臨界徑厚比Rm/δ有關,當管徑確定,鋼管的壁厚越薄,越容易發生局部屈曲。管道最大軸向應力的極限狀態為:

式中Rm——鋼管的平均半徑,m
δ——鋼管的壁厚,m
σmax——管道最大軸向應力,MPa
do、di——管道的外徑、內徑,m
α——鋼材的線膨脹系數,K,取12.6×10-6K-1
E——鋼材的彈性模量,MPa,取1.96×105MPa
△t——管道最大循環溫差,為管道工作循環最高溫度與計算安裝溫度之差,℃
式(1)針對小管徑管道,若管道最大軸向應力滿足式(1),管道錨固段的直管段不會發生局部屈曲。式(2)針對大管徑管道,若管道最大軸向應力滿足式(2),管道錨固段的直管段不會發生局部屈曲。
在計算極限狀態溫差時,若管道最大循環溫差不超過極限狀態溫差,錨固段的直管段不會發生局部屈曲。管道的極限狀態溫差和臨界徑厚比Rm/δ有關,當管徑確定,鋼管的壁厚越薄,越容易發生局部屈曲。最大循環溫差的極限狀態為:

式中△tL——極限狀態溫差,℃
式(3)針對小管徑管道,若最大循環溫差滿足式(3),管道錨固段的直管段不會發生局部屈曲。式(4)針對大管徑管道,若最大循環溫差滿足式(4),管道錨固段的直管段不會發生局部屈曲。
② 方法2[2]
根據經典板殼穩定性理論中薄壁圓柱殼體發生軸向屈曲時的臨界應力計算式,并參照JB 4732—5《鋼制壓力容器——分析設計標準》及其標準釋義,進一步修正后得出管道的臨界應力σct為:

式中σct——管道的臨界應力,MPa
結合直埋供熱管道的特點,滿足屈服溫差,錨固段的直管段應力條件為[3]:
σs=305.5MPa,1.3σs≥σct
式中σs——鋼材在計算溫度下的屈服極限最小值,對于Q235鋼材取235MPa
即當σct≤1.3σs時,管道的局部穩定性得到滿足,推導出冷安裝時的臨界徑厚比為:

預熱安裝時取預熱中間溫度為70℃,則臨界徑厚比為:

式中△tm——預熱中間溫度,℃,取70℃
③ 方法3
管道臨界壁厚δc的取值為:
δc=(1.3%~1.4%)DN (6)
式中δc——管道的臨界壁厚,m
DN——鋼管的公稱直徑,m
只要管道臨界壁厚滿足式(6),管道錨固段的直管段就不會發生局部屈曲。
3 不同驗算方法的計算結果
大管徑管道相對壁厚較薄,存在局部失穩的可能性,因此對DN 800~1200mm管道進行驗算,從而確定滿足冷安裝條件下的管道壁厚。實際最大循環溫差取120℃。
按方法1~3計算出各種管徑的臨界徑厚比和極限狀態溫差。對于方法2、3,極限狀態溫差采用式(5)計算。當實際最大循環溫差小于極限狀態溫差時,說明可以進行冷安裝。
① 方法1
采用方法1的驗算結果見表1。條件1為標準壁厚,適用于回水管冷安裝和供水管的預熱安裝。條件2為防局部失穩的增大壁厚,適用于冷安裝。
② 方法2
采用方法2的驗算結果見表2。條件1為標準壁厚,適用于回水管冷安裝和供水管的預熱安裝。條件2為防局部失穩的增大壁厚,適用于冷安裝。
表1 采用方法1的驗算結果
|
公稱直徑/mm
|
外徑/mm
|
條件1
|
條件2
|
||
|
標準壁厚/mm
|
△tL/℃
|
增大壁厚/mm
|
△tL /℃
|
||
|
800
|
820
|
10
|
94.4
|
13
|
121
|
|
900
|
920
|
11
|
93.0
|
15
|
124
|
|
1000
|
1020
|
12
|
91.3
|
16
|
120
|
|
1200
|
1220
|
14
|
89.0
|
20
|
125
|
表2 采用方法2的驗算結果
|
公稱直徑/mm
|
外徑/mm
|
條件1
|
條件2
|
||
|
標準壁厚/mm
|
△tL/℃
|
增大壁厚/mm
|
△tL /℃
|
||
|
800
|
820
|
10
|
94.4
|
12
|
112
|
|
900
|
920
|
11
|
93.0
|
13
|
108
|
|
1000
|
1020
|
12
|
91.3
|
14
|
105
|
|
1200
|
1220
|
14
|
89.0
|
17
|
107
|
③ 方法3
采用方法3的驗算結果見表3。條件1為標準壁厚,適用于回水管冷安裝和供水管的預熱安裝。條件2為防局部失穩的增大壁厚,取1.3%DN。條件3為防局部失穩的增大壁厚,取1.4%DN。
表3 采用方法3的驗算結果
|
公稱直徑/mm
|
外徑/mm
|
條件1
|
條件2
|
條件3
|
|||
|
標準壁厚/mm
|
△tL/℃
|
增大壁厚/mm
|
△tL /℃
|
增大壁厚/mm
|
△tL /℃
|
||
|
800
|
820
|
10
|
94.4
|
11
|
103
|
12
|
112
|
|
900
|
920
|
11
|
93.0
|
12
|
101
|
13
|
108
|
|
1000
|
1020
|
12
|
91.3
|
13
|
98
|
14
|
105
|
|
1200
|
1220
|
14
|
89.0
|
16
|
101
|
17
|
107
|
4 不同驗算法的分析
① 方法1
EN13941標準給出的驗算式是對應于歐洲st37鋼材而成立的,而st37鋼材按其屈服極限與我國Q235鋼材是一致的。在歐洲大管徑管道多采用st44或st52鋼材,其目的是以高屈服極限的鋼材降低管壁厚度,以節省鋼材。而我國大管徑管道仍然采用Q235鋼材,因此,該驗算方法對大管徑管道也應是有效的。
方法1要求壁厚較厚。歐洲st52鋼材屈服極限為355MPa,按st52鋼材選材壁厚可以很薄。而我國Q235鋼材屈服極限為235MPa,按Q235鋼材選材壁厚將增大很多,造成浪費,故不適合我國國情。
② 方法2
方法2將臨界徑厚比放寬到Rm/δ<40.1,相應壁厚減薄,按方法1核算的極限溫差結果不能滿足最大循環溫差(120℃)要求,但差值不是很大。
當最大循環溫差大于屈服溫差時,是否會影響安全問題,我們可以從屈服溫差計算式進行分析:

式中△ty——管道的屈服溫差,℃
n——屈服極限增強系數,取1.3
υ——泊松系數,對鋼材取0.3
σt——管道內壓引起的環向應力,MPa
上式是判斷管道是否進入塑性狀態的依據,當△t≤△ty時,管道處于彈性狀態;當△t>△ty時,管道進入塑性狀態。
由式(7)可知,屈服極限是按照1.3σs計算的。而一次應力和二次應力的合成應力σj應按照安定性分析,合成應力的強度條件為小于等于2σs (即470MPa)。考慮安全折減系數0.8,取1.6σs,仍大于1.3σs。
文獻[3]規定的直管段滿足安定性的應力驗算條件為:
σj≤3σall
式中σj——合成應力,MPa
σall——鋼材在計算溫度下的基本許用應力,對于Q235鋼材取125MPa
3σall=375MPa,接近1.6σs,因此即使最大循環溫差大于屈服溫差,進入屈服狀態,但由于強度驗算是按照安定性分析,管道仍處于安定狀態,還是安全的。
③ 方法3
計算方法比較簡便,核算的徑厚比接近臨界應力推導法,當壁厚取值1.4%DN時與臨界應力推導法驗算結果基本相同,與EN13941方法相比可以減小管壁厚度。
進一步降低壁厚,取值1.30DN,是否經歷過最大循環溫差的運行考驗有待進一步證實。
④ 推薦方法
推薦采用方法2(臨界應力推導法)作為局部穩定性的驗算方法。
5 技術經濟性比較
對于方法1、2,比較采用增大壁厚比采用標準壁厚單位長度增加的鋼材,以及當鋼材價格分別為5000、3500元/t時增加的造價。方法1、2的比較結果見表4、5。當采用電預熱安裝時,費用為(30~36)×104元/km。
表4 方法1的比較結果
|
公稱直徑/mm
|
單位長度增加的鋼質量/(t·km-1)
|
鋼材價格為5000元/t時增加的造價/(元·km-1)
|
鋼材價格為3500元/t時增加的造價/(元·km-1)
|
|
800
|
60.3
|
30.15×104
|
21.10×104
|
|
900
|
88.1
|
44.05×104
|
30.84×104
|
|
1000
|
100.0
|
50.OO×104
|
35.00×104
|
|
1200
|
179.5
|
89.75×104
|
62.82×104
|
表5 方法2的比較結果
|
公稱直徑/mm
|
單位長度管增加的鋼質量/(t·km-1)
|
鋼材價格為5000元/t時增加的造價/(元·km-1)
|
鋼材價格為3500元/t時增加的造價/(元·km-1)
|
|
800
|
39.4
|
19.70×104
|
13.79×104
|
|
900
|
44.4
|
22.20×104
|
15.54×104
|
|
1000
|
48.7
|
39.35×104
|
17.04×104
|
|
1200
|
88.1
|
44.05×104
|
30.84×104
|
按照方法1進行核算時,當鋼材價格為5000元/t時,公稱直徑≥900mm的管道,采用增大壁厚的冷安裝造價比采用標準壁厚的電預熱安裝造價高。在不增加壁厚條件下,為保證管網的運行安全,應采用電預熱安裝。當鋼材價格為3 500元/t時,只有DN 1200mm管道需考慮采用預熱安裝。
按照方法2進行核算時,當鋼材價格為5000元/t時,DN 1000、1200mm管道需采用電預熱安裝。當鋼材價格為3500元/t時,DN 1200mm以下規格都可采用冷安裝。
參考文獻:
[1] British Standards Institution.EN13941:2003 Design and installation of preinsulated bonded pipe systems for district heating[S].London:Standards Policy and Strategy Committee,2003.
[2] 陳學營,王獻庭,邵秋.直埋供熱管道的局部穩定性分析[J].區域供熱,2003(5):17-20、42.
[3] 唐山市熱力總公司.CJJ/T 81—98城鎮直埋供熱管道工程技術規程[S].北京:中國建筑工業出版社,1998.
(本文作者:梁雅濱 中國市政工程華北設計研究總院 天津 300074)
贊 賞 分享
您可以選擇一種方式贊助本站

支付寶轉賬贊助

微信轉賬贊助
- 注解:本資料由會員及群友提供僅供閱讀交流學習,不得用于商業用途!
