摘要:修正等時試井是目前氣藏常用的產能試井方法,試井過程中測試流量的選擇對試井的結果有著重要的影響。從氣體不穩定滲流理論出發,得出每個測試流量存在極限泄流半徑的新認識。據此對修正等時試井的理論基礎進行了分析研究,得出在試井過程中測試流量的選擇對試井的結果有著重要影響的結論,并分析了測試流量過大或過小時修正等時試井產能曲線的形態及誤差。進而指出修正等時試井的適用范圍,提出了修正等時試井應該根據儲層物性確定測試流量的原則。研究成果對完善修正等時試井測試氣井產能方法具有指導意義。
關鍵詞:修正等時試井;測試流量;泄流半徑;產能評價;曲線;影響
修正等時試井是目前氣藏產能試井的主要方法,其理論基礎為:氣體流入井的有效泄流半徑僅與測試流量的生產持續時間有關,而與測試流量數值大小無關。因此,對測試選定的幾個流量,只要在開井后相同的生產持續時間測試,都具有相同的有效泄流半徑[1~3]。但是,通過對修正等時試井過程中出現的某些異常現象進行理論分析,發現測試流量的選擇同樣對試井結果有較大的影響。筆者根據氣體穩定滲流理論,并結合實際情況對修正等時試井的理論基礎進行重新分析,在此基礎上,對測試流量的選取進行研究,研究結果對完善修正等時試井理論方法具有一定的指導意義。
1 測試流量不同情況下的試井產能曲線特征
1.1 測試流量與壓力傳播的關系
根據氣體不穩定滲流壓降公式[1~6]:

式中:
;ψ為擬壓力,
;qsc為標準狀況下的測試流量,104m3/d;K為儲層滲透率,10-3μm2;φ為孔隙度;t為生產時間;μ為天然氣黏度,mPa·s;Ct為總壓縮系數,1/MPa;h為有效厚度,m;Z為氣體偏差系數。
;ψ為擬壓力,
;qsc為標準狀況下的測試流量,104m3/d;K為儲層滲透率,10-3μm2;φ為孔隙度;t為生產時間;μ為天然氣黏度,mPa·s;Ct為總壓縮系數,1/MPa;h為有效厚度,m;Z為氣體偏差系數。將式(2)對t求導數可得:

由式(2)可以看出,對每一個測試流量來說,隨著時間的進行,壓降變化越來越小,當達到一定測試時間后,由于壓降變化非常小,超出探測裝置的可探測范圍,此時可以近似看作達到相對穩定狀態,泄流半徑不再擴大,且各測試流量達到相對穩定狀態的時間與測試流量的大小及儲層的物性密切相關,圖1表示了測試流量依次增大,其極限泄流半徑也相應增大。



1.2 小測試流量下產能曲線特征
根據對測試流量與泄流半徑的新認識,測試流量越小,極限泄流半徑也就越小,達到相對穩定狀態的時間也就越短。對于物性相對較好的儲層來說,由于壓力傳播比較快,在相同的測試流量下,其達到穩態的時間也比較短。圖2為不同物性儲層下小測試流量的qsc-t和pwf-t圖。
圖3表示了小測試流量造成的修正等時試井異常的產能曲線特征,小流量導致產能曲線異常的原因主要有以下兩方面。
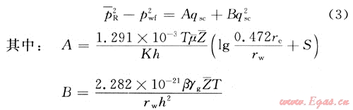
1) 當測試流量達到相對穩定狀態以后,不同測量時距下的re可看作不再變化,壓差(△p)也不再變化,根據二項式穩定產能方程得:

式(3)中系數A、B均相同,此時在產能曲線qsc-△p2/q圖上表現為不同的測量時距的測點近乎重合。
2) 同一測量時距下,如果相鄰測試流量的滲流狀態不一致,即小的測試流量已經達到相對穩定狀態,而大測試流量未達到穩定狀態,則導致相同時距下的測點不滿足線形關系。
綜合這兩方面因素分析,如果測試流量過小,就會無法得出相互平行的修正等時試井產能曲線,以致增大測試結果的誤差。
1.3 測試流量過大產能曲線特征
如果試井過程中測試流量過大,雖然能夠滿足測試未到穩定狀態的條件,但在試井過程中存在壓力下降快、傳播慢的問題,對低滲透儲層這種問題更加明顯。
測試流量過大會導致地層能量供應“滯后”,這種影響體現在隨著時間進行,供氣半徑不擴大,形成“局部供氣”現象,造成流壓快速下降,以致產能曲線上測量定點偏離正常曲線,甚至出現負斜率問題(圖4)。

1.4 測試流量選取的時間
修正等時試井過程中,為了提高產能方程解的精度,對測試流量的選擇至關重要,測試流量的選擇要同儲層的物性相結合,與氣藏的供氣能力相適應。
1) 對于物性較好的儲層,小流量達到穩態的時間很短,這時對測試流量的選擇不應過小,要保證最小的測量時距小于最小測試流量達到相對穩定的時間。
2) 對于低滲透儲層,為避免測試過程中出現“局部供氣”現象,測試流量的選取不應過大。
2 應用舉例
已知某氣藏某井開井前實測靜壓力為27.36MPa,3次等時關井后測的壓力分別為26.93MPa、26.43MPa、25.57MPa,對該井進行了1×104m3/d、5×104m3/d、20×104m3/d和30×104m3/d等4個工作制度的修正等時試井,每1個工作制度選擇3個測量時距,分別為2h、4h、6h,該井的試井數據見表1。
表1 修正等時試井數據
|
等時間隔/h
|
等時一開
|
等時二開
|
等時三開
|
等時四開
|
連續流量生產
|
|||||
|
日產量/104m3
|
流壓/MPa
|
日產量/104m3
|
流壓/MPa
|
日產量/104m3
|
流壓/MPa
|
日產量/104m3
|
流壓/MPa
|
日產量/104m3
|
流壓/MPa
|
|
|
1
|
1
|
27.20
|
5
|
25.84
|
20
|
23.51
|
30
|
20.58
|
8
|
15.35
|
|
4
|
27.19
|
25.47
|
22.55
|
17.14
|
||||||
|
6
|
27.17
|
25.35
|
21.74
|
11.99
|
||||||
根據試井數據繪制了qsc-△p2/qsc產能曲線(圖5)。

由圖5可以看出,由于最小測試流量q1過小導致3個測量時距的測點近乎重合;測試流量q4過大,出現“間歇供氣”現象,縮小了供氣半徑,導致產能曲線出現異常,增大了測試結果的誤差。
3 結論
1) 修正等時試井中關于“氣體流入井的有效泄流半徑僅與測試流量的生產持續時間有關,而與測試流量數值大小無關”是在一定測試流量范圍內有效,超過這個范圍會帶來誤差。
2) 對于物性好的儲層,如果個別工作制度測試流量過小容易導致壓降變化不明顯,不同測量時距的產能測點近乎重合,無法得到相互平行的修正等時試井產能曲線。
3) 對于物性較差的儲層,如果個別工作制度測試流量過大容易出現“間歇供氣”的現象,會導致修正等時試井產能曲線異常,甚至出現負斜率問題。
參考文獻
[1] 王衛紅,沈平平,馬新華,等.低滲透氣藏氣井產能試井資料分析方法研究[J].天然氣工業.2005,25(11):76-78.
[2] 李士倫.天然氣工程[M].北京:石油工業出版社,2000:117-129.
[3] MEUNIER D,KABIR C S,WITTMANN D. Gas well test analysis:use of normalized pressure and time functions[C]∥Soc. Pet. Eng. AIME,SPE 13082,1984:59.Annual Society of Petroleum Engineers of AIME technical conference. Houston,TX,USA:AIME,1984.
[4] 赫玉鴻,李躍剛.低滲透氣井工作制度對試井解釋的影響[J].西安石油學院學報:自然科學版,2001,16(6):17-19.
[5] 莊惠農.氣藏動態描述和試井[M].北京:石油工業出版社,2004:258-259.
[6] MESER P H,RAHGVANA R,RAMEY JR H J. Galculation of bottom hole pressure for deep,hot,sour gas wells[J].JPT,q974,26(1):85-92.
(本文作者:李樂忠1 李相方1 何東博2 石軍太1 1.中國石油大學石油工程教育部重點實驗室;2.中國石油勘探開發研究院)
贊 賞 分享
您可以選擇一種方式贊助本站

支付寶轉賬贊助

微信轉賬贊助
- 注解:本資料由會員及群友提供僅供閱讀交流學習,不得用于商業用途!
