摘要:煤儲層滲透率是決定煤層氣開采成敗的關鍵參數之一。以煤基質為研究對象,根據應力來源的不同,提出了煤基質內外應力的概念。分析認為:煤儲層滲透率隨煤層氣開采而動態變化正是煤基質內外應力綜合作用的結果。隨著煤層氣的采動,有效應力(煤基質外力)增大,裂隙寬度減小,煤儲層滲透率降低;而流體壓力降低,煤層氣解吸,煤基質發生收縮,產生煤基質內力,裂隙寬度增大,煤儲層滲透率增高。為了探討煤基質內外應力與煤基質變形特性的關系,開展了三軸力學實驗和吸附膨脹實驗,根據實驗結果的分析和總結,提出了煤基質自調節效應的新觀點,構建了煤基質內外應力耦合作用下的自調節模式。研究成果為煤層氣的有效開采提供了理論基礎。
關鍵詞:煤基質;自調節效應;煤儲層;滲透率;有效應力;三軸力學實驗;吸附膨脹煤層氣
煤儲層滲透率的改善來自于多種應力因素的綜合作用,包括上覆巖層重力、構造應力、地下水動力、熱力場等動力條件。這些應力的變化,引起煤基塊的變形,諸多應力耦合導致煤儲層裂隙的開合程度發生變化,進而影響到煤儲層滲透率的不斷變化。筆者以煤儲層煤基質為研究對象,把來自于基質外部的應力稱為基質外力,其中,有效應力為垂直于裂隙方向總應力與煤儲層內孔隙、裂隙流體壓力之差,是決定煤層中天然裂隙開合程度的應力因素。把基質因外部應力變化引起自身形變調整而產生的應力稱為基質內力。
關于煤基質內外力對煤儲層滲透率以及煤基塊的吸附/解吸應變的影響,相關文獻報道較少[1~3],尤其是對煤基質內外應力耦合作用與煤基質變形特性關系缺乏探索。為此,筆者開展了綜合物理模擬實驗,以求建立煤基質在內外應力耦合作用下的自調節效應和模式。
1 綜合模擬實驗簡介
1.1 實驗樣品制備
實驗煤樣采自沁水盆地中-南部晉城、潞安礦區山西組3#煤層(表1)。宏觀煤巖類型為裂隙發育中等的半亮煤-半暗煤,煤類為瘦煤-3號無煙煤。層面方向在大煤塊上鉆取直徑為25mm、高為50mm的圓柱樣,將煤樣端面切平整,加工精度按國際巖石力學學會推薦的標準進行。

1.2 實驗裝置
綜合物理模擬實驗在中國石油勘探開發研究院廊坊分院壓裂中心實驗室進行,實驗設備為美國Terra Tek公司制造的巖石力學實驗系統。
1.3 綜合實驗模擬方案
1.3.1吸附膨脹實驗
實驗前,將樣品置于5%的KCl溶液中,抽真空,排除其中的氣相介質,飽和水平衡24~48h。實驗時保持有效應力不變,向飽和水煤樣充入純度為99.99%的CH4氣體,分別測試CH4壓力0.5、1.0、2.0、3.0、4.0MPa和4.5MPa以及相應圍壓,2.0、3.0、4.0、5.0MPa和5.5MPa條件下每一個測點煤樣吸附甲烷的縱向、徑向及體積膨脹量,每點穩定時間為12h。
1.3.2三軸力學實驗
圍壓設計為8MPa,軸壓從大氣壓開始逐漸加大,加載速率為0.035MPa/s,直至樣品破壞為止。實驗過程中,計算機每10s采集一組數據,采集的主要數數據有圍壓、軸壓、流體壓力、軸向應變、徑向應變1(垂直面裂隙)、徑向應變2(垂直端裂隙)、平均徑向應變、體積應變、時間等。
1.4 綜合實驗數據處理及結果
1.4.1吸附膨脹實驗
研究表明,CH4吸附應變可以精確地模擬成朗格繆爾等溫吸附模型[2]。

式中:εv為壓力p下吸附的體積應變;εmax與朗格繆爾方程中朗格繆爾體積數據表達的含義相當,代表理論最大應變量,即無限壓力下的漸近值;p50與朗格繆爾壓力數據表達的含義相當,代表煤樣達到最大應變量的1/2時的壓力。
進一步實驗表明,吸附應變與壓力并非呈線性關系,而呈一條曲線,低壓時曲線較陡,高壓時曲線變得平緩,與吸附等溫線類似。將式(1)化成直線型,即:

由式(2)進行線性擬合,計算出截距εmax/p50以及斜率1/p50然后,解出εmax和p50,代入式(1),即可得到朗格繆爾型吸附膨脹方程。
筆者對晉城鳳凰山礦、陽泉一礦、左權石港礦、陽城臥莊礦的煤樣分別進行了自然煤樣、飽和水煤樣、氣水飽和煤樣3種類型進行了三軸壓縮實驗研究[4],高平望云礦、潞安常村礦、五陽礦、霍州李家村礦、晉城成莊礦煤樣的實驗結果為本課題組前期研究工作[5],文中實驗數據相同。通過實驗,測得煤在有效應力和溫度不變的情況下,流體壓力(p)與體積應變(εv)的對應關系,實驗結果見表1。
1.4.2三軸力學實驗
煤層氣開發均是在地下一定深度范圍內進行,人們更為關心的是原地應力條件下煤的力學性質,即飽和水、氣煤樣在圍限壓力下的力學行為和應力-應變關系所表現出的變形特征。在煤儲層所處地應力環境下,隨著煤層氣的開采,圍壓的變化很小,可以視為不變。因此,實驗采用假三軸來進行樣品參數的實驗。
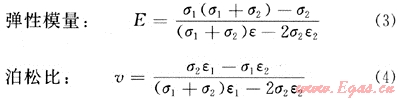
在假三軸力學實驗中,模擬地層的圍壓是通過油壓來加載的,所以有:

式中:E為彈性模量;v為泊松比;σ1、σ2、σ3為三軸壓力,其中σ1表示垂向壓力,實驗中指軸壓,σ2、σ3表示水平壓力,實驗中指圍壓,在假三軸力學實驗中,;σ2=σ3;ε1為垂向應變,實驗指軸向應變;ε2橫向應變,實驗指平均徑向應變。
將實驗中得到的軸向應變、平均徑向應變、軸壓和圍壓代入上兩式,求出每一點的彈性模量和泊松比訓。煤樣三軸模擬實驗結果見表2。

設成莊礦煤儲層埋深在800m左右,此深度下的實驗滲透率為初始滲透率,體積壓縮系數根據三軸壓縮力學實驗結果,利用擬合的公式來計算飽和水煤樣的相應壓力對應的數值,然后求其平均值,可以得到不同儲層壓力下體積壓縮系數。
2 煤基質自調節效應耦合關系及模式
在煤層氣采動過程中,隨著地下水和煤層氣的采出,煤儲層的流體壓力也同時降低,使得有效應力(煤基質外力)增大,裂隙寬度減小,導致煤儲層滲透率降低。另一方面,流體壓力降低,使煤層氣解吸,煤基質受到干擾,發生收縮,產生煤基質內力,裂隙寬度增大,導致煤儲層滲透率增高。煤儲層滲透率的變化正是這兩種效應綜合作用的結果。這種綜合現象稱為煤基質自調節效應,其中,煤基質收縮導致煤儲層滲透率增高的現象為煤基質自調節正效應,有效應力增大致使煤儲層滲透率降低的現象為煤基質自調節負效應[4~6]。

2.1 煤基質自調節正、負效應耦合關系
煤基質收縮參數為吸附膨脹參數,泊松比為表2中對應煤樣的泊松比值。設煤儲層氣、水飽和,流體壓力從5.9MPa開始逐漸降低1.0MPa左右,煤基質內外力綜合作用效果見圖1。成莊無煙煤煤基質有效應力負效應大于煤基質收縮的正效應,望云、常村和左權煤樣在儲層壓力降至3MPa之前,有效應力的負效應大于煤基質收縮的正效應,當儲層壓力降至3MPa之后,煤基質收縮的正效應大于有效應力的負效應,而五陽和陽泉煤樣,煤基質收縮的正效應始終大于有效應力的負效應。根據插值或縮小流體壓力步長的計算分析,可以得到煤基質自調節正、負效應總體趨勢或規律性,即:流體壓力不變時,煤基質內力滲透率增加率隨應力滲透率降低率的增加而增加,滲透率降低率與增加率之間呈現出“指數量板”模式。

式中:△Kn為煤基質內力滲透率增加率,%;△Ky為煤基質外力滲透率降低率,%;a1、b1為擬合系數。

2.2 流體壓力-綜合調節效應耦合關系及模式
把煤基質正、負效應進行疊加,即可得到煤基質自調節綜合滲透率變化率結果(表3)。
各個樣品以及各個煤級的煤基質自調節滲透率綜合變化率與流體壓力耦合關系呈現出相似規律性。根據實驗結果,在不同煤級之間進行插值,即可得到煤基質自調節滲透率綜合變化率與流體壓力之間的“負對數量板”模式:
△Kz=-a2㏑p+b2 (6)
式中:△Kz為煤基質自調節滲透率綜合變化率,%;p為流體壓力,MPa;a2、b2為擬合系數。
對于給定煤級的樣品,隨流體壓力的逐漸降低,煤基質自調節滲透率綜合變化率逐漸增大(圖2),也就是有效應力滲透率降低率逐漸小于煤基質收縮滲透率增加率。這意味著煤層氣開采過程中,隨著儲層壓力逐漸降低,煤儲層滲透率有逐漸增加的趨勢。在較低壓下,煤儲層的滲透率有望得到改善。

2.3 煤級-綜合調節效應耦合關系及模式
圖3顯示,隨著煤級的逐漸增加,煤基質自調節滲透率綜合變化率呈現出降低的規律性。也就是說,隨煤級的增加,有效應力滲透率降低率有大于煤基質收縮滲透率增加率的趨勢。在Ro=2.87%時,煤基質自調節滲透率綜合變化率在模擬的各個壓力下始終為負值,也就是應力滲透率降低率始終大于煤基質收縮滲透率增加率,而隨著煤級的逐漸減小,在模擬的壓力范圍內,煤基質自調節滲透率綜合變化率由負值逐漸轉化為正值,Ro=1.89%條件下,煤基質自調節滲透率綜合變化率全部轉化為正值,這同時可能反映了低中中煤級煤比高煤級煤具有較高的煤層氣開發潛勢[6]。根據煤基質自調節滲透率綜合變化率與煤級之間的耦合規律,在不同煤級之間進行插值,即可以得到煤基質自調節滲透率綜合變化率與煤級之間的“負對數量板”模式(圖3):
△Kz=-a3㏑Ro+b3 (7)
式中:Ro為鏡質組反射率,%;a3、b3為擬合系數。

3 結論
1) 以煤基質為研究對象,根據應力來源的不同,提出了煤基質內、外應力的新概念。
2) 隨著煤層氣采動,煤基質因外力變化而引起收縮內力的產生,對煤儲層滲透率的貢獻恰好相反,根據這一現象,提出了煤基質自調節正、負效應的新觀點。
3) 煤基質內力滲透率增加率隨煤基質外力滲透率降低率的增加而增加,符合指數量板模式。
4) 流體壓力的增加,煤基質自調節綜合效應呈負對數模式降低,煤基質自調節效應模式預示:隨著煤層氣開采,儲層壓力的降低,煤儲層滲透率有不斷改善的趨勢。
5) 隨著煤級的逐漸增加,煤基質自調節滲透率綜合變化率呈負對數模式降低,反映了低中煤級煤比高煤級煤具有較高的煤層氣開發潛勢。
參考文獻
[1] SOMERTON W,DUDLEY R C,SOYLEMEZOGLU I M. Effect of stress on permeability of coal[C]∥ SPWLA 16th Annual Logging Symposium[J].International Journal of Rock Mechanics and Mining Sciences & Geomechanics.1975,12(5-6):129-145.
[2] HARPALANI S,SCHRAUFNAGEL R A. Influence of matrix shrinkage and compressibility on gas production from coalbed methane reservoirs[C]∥SPE Annual Technical Conference and Exhibition. New Orleans,Louisiana:SPE 20729,1990.
[3] GEONGE J D ST,BARAKAT M A. The change in effective stress associated with shrinkage from gas desorption in coal[J].International Journal of Coal Geology,2001,45(2/3):105-113.
[4] 陳金剛.高煤級煤儲層滲透率的構造-采動控制效應與作用機理[D].徐州:中國礦業大學,2003.
[5] 傅雪海.多相介質煤巖體物性的物理模擬與數值模擬[D].徐州:中國礦業大學,2001.
[6] 秦勇,傅雪海,吳財芳,等.高煤級煤儲層彈性自調節作用及其成藏效應[J].科學通報,2005,50(增刊1):82-86.
(本文作者:陳金剛 陳義 劉大全 鄭州大學工程力學系)
贊 賞 分享
您可以選擇一種方式贊助本站

支付寶轉賬贊助

微信轉賬贊助
- 注解:本資料由會員及群友提供僅供閱讀交流學習,不得用于商業用途!
