摘要:煤層氣的運移產出流態是煤層氣井產能預測的理論基礎,目前煤層氣井產能預測大多采用達西滲流模型,預測結果與實際相差較大,因此判定煤層氣在儲層內部的運移流態至關重要。在RMT-150B巖石力學伺服試驗機的基礎上,設計出一套測試啟動壓力梯度的裝置,通過實驗得到流經煤樣的氣體流速與壓力平方差,而兩者并非通過原點的線性關系,證明啟動壓力梯度的存在。通過測試不同煤樣的啟動壓力梯度與滲透率,其回歸曲線表明:兩者呈負指數關系,相關度達0.933,且隨著滲透率降低,其啟動壓力梯度逐步增大,在低滲透階段增加趨勢就更加明顯。煤的啟動壓力梯度存在證明煤層氣運移流態為非線性滲流,該結論對改進煤層氣井產能預測模型有指導意義。
關鍵詞:煤層氣;流體流動;啟動壓力梯度;滲透率;非達西流;生產能力;預測;實驗室;試驗
0 引言
最早提出啟動壓力梯度概念的是1951年前蘇聯的B.A.費勞林,他認為只有當實際壓力梯度大于某一臨界值時,流動才能發生,此臨界值稱為啟動壓力梯度[1~2]。開發低滲透油氣藏的過程中發現其中的流體滲流不再遵循達西定律,而是帶有啟動壓力梯度的非線性滲流[3~4]。到目前為止,確定低滲透油氣藏非達西流啟動壓力梯度的方法主要有室內測試法、數值實驗法、理論計算法、生產分析法、穩定試井和不穩定試井,注水見效時間預測法等[5],其中室內測試又可分為“氣泡法”、“毛細管平衡法”、“穩壓法”和“壓差流量法”等,測試對象基本是砂巖儲層,而對煤儲層啟動壓力梯度的測試還未見報道。
目前煤層氣井產能預測的主要依據是達西滲流理論,造成產能預測不準確,例如張冬麗等在模擬煤層氣羽狀水平井產能時發現:考慮啟動壓力梯度梯度將使降壓效果變差,產量大幅度減小[6~7]。因此要正確預測產能,就必須正確認識其儲層特征和滲流規律,前提條件是準確測試煤儲層的啟動壓力梯度,這對煤層氣開發具有重要指導意義。
1 啟動壓力梯度測定原理
采用吳凡等計算砂巖啟動壓力梯度的方法[8~9],當不考慮啟動壓力梯度時的氣體滲流方程為:

式中:v為氣體流速,m/s;K為滲透率,m2;p1為入口壓力,Pa;p2為出口壓力,Pa;p0為大氣壓力,101325Pa;μ為氣體黏度,Pa·s;L為氣體流經長度,m。
可以看出,v與p12-p22為通過原點的線性關系。當存在啟動壓力梯度時應該為:
v=a(p12-p22)-b (2)
式(2)中a、b為常數,令v=0,則p1與p2關系為:

所以啟動壓力梯度為:

因此,只要通過回歸v與p12-p22之間關系,求出常數a和b,代入式(4)就可計算啟動壓力梯度。
2 實驗與結果
2.1 樣品制備與實驗系統
樣品采自陽泉煤電集團寺家莊煤礦的15#煤層,加工成Φ50×50mm的煤心,實驗系統包括密封橡膠套、試驗機加載及控制系統、高壓氣源、氣體流量及壓力測試等幾部分(見圖1)。

由于改造的樣品室僅能容下Φ50×50mm的煤樣,因此在不影響測試啟動壓力梯度的前提下,沒有采用巖石力學測試常規的樣品尺寸Φ50×100mm(高為直徑的2倍)。干燥基煤樣的工業分析結果為:灰分6.43%、揮發分7.46%、水分l.23%。
2.2 實驗結果與分析
2.2.1啟動壓力梯度計算
RMT-150B伺服試驗機加載的軸向力4kN,圍壓2MPa,為了保證測試過程封閉良好,所加氣壓不超過圍壓2MPa。實驗采用“倒退法”:即先將氣壓調到較高值燃后關閉穩壓閥門,測試一系列壓力梯度對應的流量。以煤樣11為例,由于出口端直通大氣,因此式(4)中的p2=p0=101325Pa,部分測試數據見表1,計算的滲透率為0.2mD,流速與壓力平方差的關系見圖2。



2.2.2滲透率與啟動壓力梯度的關系
依上述的測試手段和啟動壓力梯度計算方法,對同一煤樣鉆取的其余10個煤心進行測試和計算,樣品信息和結果見表2。

從表2可以看出,同一煤樣在同一個方向和相同的測試條件下其滲透率及啟動壓力梯度相差較大,這種離散的結果主要是制樣過程對煤樣的擾動造成的。依據滲透率和啟動壓力梯度的對應關系作圖3,啟動壓力梯度與滲透率呈負指數關系:λ=0.11108K-0.33034,相關系數達0.933,隨著滲透率的降低啟動壓力梯度逐步增大,這種現象在低滲透階段更加顯著。

3 煤儲層啟動壓力梯度測定的意義
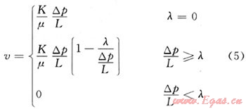
氣體流態是煤層氣開發的理論依據,而啟動壓力梯度是線性滲流、非線性滲流與擴散3種流態的判斷標準[10],即

存在啟動壓力梯度是煤儲層的特點,但以往瓦斯參數測試是基于煤層氣產出服從線性滲流定律,忽略了低速非線性滲流和擴散;煤層氣井產能模擬顯示啟動壓力梯度是產能下降和有效開采時間縮短的主要原因之一。通過研究表明:煤儲層的啟動壓力梯度的確存在,并且可以通過室內測試來查明,這對指導煤層氣開發有重要的現實意義和理論價值。
4 結論
1) 在RMT-150B巖石力學伺服試驗機基礎上,設計了一套用于測量煤樣啟動壓力梯度的實驗流程,可在不同的圍壓和軸向壓力下測試煤樣的啟動壓力梯度。試驗結果和數據計算結果擬合表明此方法是可行的。
2) 實驗數據表明氣體通過低滲透煤樣時存在低速非達西現象和啟動壓力梯度,并回歸了啟動壓力梯度與滲透率關系曲線,隨著滲透率的降低啟動壓力梯度逐步增加,在低滲透階段更加顯著。
參考文獻
[1] 戈爾布諾夫A T.異常油田開發[M].張樹寶,譯.北京:石油工業出版社,1987.
[2] ALVARO P,FARUK C. Modification of Darcy’s law for the threshold pressure gradient[J].Journal of Petroleum Science and Engineering,1999,22(4):237-240.
[3] 汪周華,鐘兵,伊向藝,等.低滲氣藏考慮非線性滲流特征的穩態產能方程[J].天然氣工業,2008,28(8):81-83.
[4] YIN DAIYIN,PU HUI. Numerical simulation study on surfactant flooding for low permeability oilfield in the condition of threshold pressure[J].Journal of Hydrodynamics,2008,20(4):492-498.
[5] 甘慶明,成珍,成綏民.低滲油藏非達西流啟動壓力梯度的確定方法[J].油氣井測試,2004,13(3):1-4.
[6] 張冬麗,王新海,宋巖.考慮啟動壓力梯度的煤層氣羽狀水平井開采數值模擬[J].石油學報,2006,27(4):89-92.
[7] 倪小明,王延斌,接銘訓,等.煤層氣井排采初期合理排采強度的確定方法[J].西南石油大學學報,2007,29(6):101-104.
[8] 吳凡,孫黎娟,喬國安,等.氣體滲流特征及啟動壓力規律的研究[J].天然氣工業,2001,21(1):82-84.
[9] 薛國慶,李閩,羅碧華,等.低滲透氣藏低速非線性滲流數值模擬研究[J].西南石油大學學報,2009,31(2):163-166.
[10] 馬耕,蘇現波,魏慶喜.基于瓦斯流態的抽放半徑確定方法[J].煤炭學報,2009,34(4):501-504.
(本文作者:郭紅玉1,2 蘇現波1,2 1.河南省生物遺跡與成礦過程重點實驗室;2.河南理工大學能源科學與工程學院)
贊 賞 分享
您可以選擇一種方式贊助本站

支付寶轉賬贊助

微信轉賬贊助
- 注解:本資料由會員及群友提供僅供閱讀交流學習,不得用于商業用途!
