摘要:介紹了威力巴流量計在測量氣體和蒸汽流量時相應的溫壓補償方式,分析了各溫壓補償方式在DCS系統和流量積算儀中的數學模型。
關鍵詞:威力巴流量計;溫壓補償;介質密度;分散控制系統;流量積算儀
Mathematical Models for Temperature and Pressure Compensation of Verabar Flowmeter
GUO Haixia
Abstract:The corresponding modes of temperature and pressure compensation in measurement of gas and steam by Verabar flowmeter are introduced.The mathematical models for different modes of temperature and pressure compensation used in DCS system and flow totalizer are analyzed.
Key words:Verabar flowmeter;temperature and pressure compensation;medium density;distributed control system:flow totalizer
1 概述
隨著成本意識的不斷增強,人們對能源計量的準確性提出了更高的要求[1、2],而對于流量測量中的溫度、壓力補償問題也進一步重視[3]。由于流量測量裝置的設計溫度、壓力與實際運行的工作溫度、壓力有一定的差異,或者由于工藝條件造成流體溫度、壓力波動較大,致使測出的流量不能真實反映其工作狀態下的實際流量。絕大多數流量計只有在流體工況與設計條件一致的情況下才能保證較高的測量精度[4],例如氣體隨著溫度、壓力的變化對測量精度的影響特別大[5],必須進行溫壓補償[6]。而不同類別的流量測量裝置,測量不同的流體介質,其溫度、壓力的補償方式及在二次儀表中的數學模型是有差異的。下面以威力巴流量計為例,對其在不同介質、不同工況下的溫壓補償方式和不同的溫壓補償方式在二次儀表中的數學模型進行分析。
2 威力巴流量計測量原理
威力巴流量計采用一種差壓式的流量探頭,其計算模型和其他差壓式流量計(如孔板流量計[7~8])的數學模型相同。威力巴流量計的工作原理見圖1。其計算模型為:

式中qm——質量流量,kg/h
K——流量常量
ρ——介質工況密度,kg/m3
△p——探頭前后的差壓(即圖1中高壓區與低壓區的差壓),kPa
△p的準確測量不應只限選用一臺高精度的差壓變送器,實際上差壓變送器能否接收到真實的差壓還取決于一系列因素,其中探頭的正確選型及探頭、引壓管的正確安裝和使用,都是保證獲得真實差壓值的關鍵。

這些影響因素很多是難以定量確定的,只有在選型、安裝和使用上加強準確性和規范化。從計算模型中還可以看出,ρ在方程中同△p處于同等地位,當追求差壓變送器高精度等級時,絕不要忽視ρ的測量精度與△p相匹配,否則△p精度的提高將會被ρ的精度的降低所抵消。介質密度ρ一般難以直接測得,通常是通過溫度、壓力、組成計算求得。
3 溫壓補償方式及數學模型
本文結合威力巴流量計計算軟件來說明對于各種狀態介質ρ的正確補償[2]及溫壓補償在二次儀表中的數學模型。目前在流量計量的二次儀表中,規模比較大的項目一般選用分散控制系統(Distributed Control System,簡稱DCS)或可編程邏輯控制系統(Programmed Logic Control,簡稱PLC),而規模比較小的項目一般選用流量積算儀、無紙記錄儀等二次儀表。本文以DCS系統和流量積算儀為例進行說明。
3.1 氣體測量
威力巴流量計在氣體測量中常用差壓計算標準狀況(0℃,101.32kPa,以下簡稱標況)體積流量。對氣體而言,由于密度受壓力影響比較大,一般在溫度變化不大,壓力波動比較大的場所,只進行壓力補償就可以;但在溫度、壓力變化都比較大的場所,要同時進行溫壓補償才能使得測量準確。下面對二次儀表進行壓力補償和溫壓補償的情況分別加以說明。
某測點介質為空氣,管徑規格為Φ219×6,操作壓力為5kPa,操作溫度為20℃,刻度流量(最大流量,標況)為3000m3/h,標況密度為1.293kg/m3,當地大氣絕對壓力為100kPa。
由威力巴流量計計算軟件可知,差壓上限為0.74377kPa,該數據為差壓變送器使用范圍的最大值。
由于測點中空氣的操作壓力為5kPa,可設定其壓力補償范圍為0~25kPa;操作溫度為20℃,可設定其溫度補償范圍為0~50℃。
3.1.1 DCS系統的數學模型
從威力巴流量計算軟件中得知計算公式為

式中qV——標況體積流量,m3/h
C——流量常量
pa——探頭之前工作狀態絕對壓力(即圖1中高壓區的絕對壓力),kPa
T——工作狀態下溫度,K
Z——工作狀態下該氣體的壓縮因子
將測點中的參數代入威力巴流量計計算軟件可得,該測點中C=5812.354,Z=1。將數據C=5812.354,Z=1代入式(2),則DCS系統中流量計算公式為:

① 只進行壓力補償
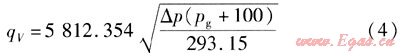
將溫度(20℃)換算成熱力學溫度(293.15K)代入式(3),流量公式為:

式中pg——工作狀態下的相對壓力(即圖1中高壓區的相對壓力),kPa
② 同時進行溫度、壓力補償
若同時進行溫度、壓力補償,則公式(3)變為:

式中t——工作狀態下的溫度,℃
3.1.2流量積算儀的數學模型
① 只進行壓力補償
選擇積算儀計算模型:

式中ρn——介質標況密度,kg/m3
A1、A2——介質密度系數,無量綱
氣體壓力和密度的關系在一定的范圍內基本上是線性關系:
A1+A2pg=℃ (7)
因此,只要取兩組壓力和密度的對應關系,將式(8)、(9)組成一個二元一次方程組,就可求出A1、A2值。
A1+A2pg,1=ρ1 (8)
A1+A2pg,2=ρ2 (9)
查表得知空氣在20℃、0kPa時密度為1.189kg/m3;在20℃、25kPa時密度為1.486kg/m3。將這些數據代入式(8)、(9)組成的方程組,解得A1=1.189,A2=0.0119。
根據式(6)可知:

將數據qV=3000m3/h,ρn=1.293kg/m3,A1=1.189,A2=0.0119,pg=5kPa,△p=0.7437 kPa代入式(10),可求得:K=4025.5293。
② 同時進行溫度、壓力補償
選擇積算儀計算模型:

式中Tn——標況溫度,K,取273.15K
p0——當地大氣絕對壓力,kPa
pn——標準大氣壓,kPa,取101.32kPa
根據式(11)可知:

將數據qV=3000m3/h,ρn=1.293kg/m3,L=273.15K,pg=5kPa,p0=100kPa,pn=101.32kPa,t=20℃,△p=0.74377kPa代入式(12),可求得:K=4025.3021。
3.2 過熱蒸汽測量
由于過熱蒸汽密度受溫度、壓力影響較大,因此對過熱蒸汽的密度,要同時進行溫度、壓力補償才能使得流量測量準確。
某測點介質為過熱蒸汽,管徑規格為Φ219×6,操作壓力為200kPa,操作溫度為150℃,刻度流量(最大流量)為10000kg/h,當地大氣絕對壓力為100kPa。
通過威力巴流量計計算軟件可知,差壓上限為3.92113kPa,該數據為差壓變送器使用范圍的最大值。
由于測點中過熱蒸汽的操作壓力為200kPa,可設定其壓力補償范圍為0~400kPa;操作溫度為150℃,可設定其溫度補償范圍為0~300℃。
3.2.1 DCS系統的數學模型
從威力巴流量計算軟件中得知計算公式為:

將式(14)代入式(13),得:

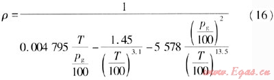
過熱蒸汽不同于理想氣體,不能通過理想氣體狀態方程來計算其密度,只能用以溫度和壓力為自變量的近似公式來計算其密度。式(16)是過熱蒸汽密度計算式之一[9]41。

3.2.2流量積算儀的數學模型
選型時需選擇帶溫壓補償功能的過熱蒸汽流量積算儀,該型號的積算儀內置過熱蒸汽密度表,積算儀可以通過輸入的溫度和壓力自動查表找到對應的蒸汽密度。
選擇積算儀計算模型:

式中ρb——查表得知的蒸汽密度,kg/m3
根據式(17)可得:

查表知過熱蒸汽在200kPa、150℃時的密度為:ρb=1.57789kg/m3。
將數據qm=10000kg/h,ρb=1.57789kg/m3,△p=3.92113kPa代入式(18),可得:K=4020.28。
3.3 飽和蒸汽測量
因飽和蒸汽的密度與溫度、壓力的關系為一一對應,因此溫度、壓力補償任選其一,不可以同時補償。由于溫度測量存在一定的滯后性,以及測量精度不如壓力,因此飽和蒸汽多采用壓力補償。
某測點介質為飽和蒸汽,管徑規格為Φ219×6,壓力為200kPa,刻度流量(最大流量)為10000kg/h,當地大氣絕對壓力為100kPa。
通過威力巴流量計計算軟件可知,差壓上限為3.74625kPa,該數據為差壓變送器使用范圍的最大值。
由于測點中飽和蒸汽的操作壓力為200kPa,可設定其壓力補償范圍為0~400kPa。
3.3.1 DCS系統的數學模型
從威力巴流量計算軟件中得知計算公式為:

將式(20)代入式(19),流量公式為:

飽和蒸汽不同于理想氣體,不能通過氣體狀態方程來計算其密度;也不同于過熱蒸汽,不能用以溫度和壓力為自變量的近似公式來計算其密度;只能用以溫度或壓力為自變量的近似公式來計算其密度。以壓力為函數的飽和蒸汽密度表達式見表1,飽和蒸汽密度表達式在相應的壓力范圍內精度比較高。

3.3.2流量積算儀的數學模型
選型時需選擇帶壓力補償功能的飽和蒸汽流量積算儀,該型號積算儀內置飽和蒸汽密度表,積算儀可以通過輸入的壓力自動查表找到對應的飽和蒸汽密度。
選擇積算儀計算模型:

根據公式(22)可得:

查表知飽和蒸汽在200kPa時的密度:ρb=1.65131kg/m3。
將數據qm=10000kg/h,ρb=1.65131kg/m3,△p=3.74625kPa代入式(23),可得:K=4020.57。
4 結語
針對不同的測量介質、流體工況、測量裝置,必須選擇正確的溫度、壓力補償方式,只有針對不同的補償方式采用相應的數學模型,才能進一步消除系統誤差,使得計量精度提高到一個新的水平,從而獲得準確的流量。
參考文獻:
[1] 錢信培.孔板流量計在燃氣計量中的應用[J].煤氣與熱力,1990,10(4):18-20.
[2] 時文平.煤氣計量過程的密度補償[J].煤氣與熱力,1996,16(6):29-31.
[3] 王杏芳,李恒敬,嚴益劍.天然氣灶前壓力和溫度對供銷差率的影響[J].煤氣與熱力,2007,27(10):46-49.
[4] 李白皋,劉佳,盧宏明.在DCS中實現蒸汽流量測量溫壓補償的途徑和方法[J].石油化工自動化,2007(2):64-67.
[5] 張芷華,高秀民,肖強.燃氣流量計的精度分析與選用[J].煤氣與熱力,2003,23(6):376-378.
[6] 劉君,肖晉予,李繼華,等.多參數補償天然氣計量裝置的應用[J].煤氣與熱力,2007,27(1):7-9.
[7] 李永平.焦爐煤氣標準孔板的計算[J].煤氣與熱力,1998,18(1):34-36.
[8] 于立新.孔板流量計的改裝[J].煤氣與熱力,1992,12(5):27-29.
[9] 孫淮清,王建中.流量測量節流裝置設計手冊[M].2版.北京:化學工業出版社,2005.
(本文作者:郭海俠 陜西省燃氣設計院 陜西西安 710043)
贊 賞 分享
您可以選擇一種方式贊助本站

支付寶轉賬贊助

微信轉賬贊助
- 注解:本資料由會員及群友提供僅供閱讀交流學習,不得用于商業用途!
