摘要:一次空氣系數是考慮燃氣互換性時的一個重要指標。目前的計算方法僅僅考慮一次空氣系數與燃氣的華白數成反比,對該計算方法所帶來的系統誤差沒有分析。根據大氣式燃燒器的自動調節特性,從理論上推導了大氣式燃燒器在燃氣性質改變時一次空氣系數的計算公式,推導了一次空氣系數與燃氣華白數的關系,通過具體案例分析了公式的誤差范圍。
關鍵詞:燃氣互換性;大氣式燃燒器;一次空氣系數;華白數
Variation of Primary Air Ratio in Atmospheric Burner during Gas Interchange
HE Yifei,XIE Donglai,SONG Di
Abstract:The primary air ratio is a key index for gas interchangeability.In the current calculation methods,the primary air ratio is inversely proportional to Wobbe number,which lacks error analysis.Based on the self-adjustment property of atmospheric burner,the calculation formula of the primary air ratio during change of gas nature is theoretically derived,and the relationship between the primary air ratio and the Wobbe number is further developed.The error range of the formula is analyzed by a typical case.
Key words:gas interchangeability;atmospheric burner;primary air ratio;Wobbe number
1 概述
我國目前天然氣工業發展比較迅速,氣源種類繁多,有國產的氣田氣、石油伴生氣、煤層氣和液化天然氣,也有進口的液化天然氣和管輸天然氣,其組成和燃燒特性存在較大差異。從終端用戶來看,除傳統的居民及商業用戶外,增加了大量工業用戶、汽車用戶、發電用戶及非燃料用戶等。組成不穩定的氣源與要求相對穩定的用戶之間的矛盾在我國部分城市已經出現,今后將會在更多的城市出現,因此,需要立即開展互換性研究工作[1]。
文獻[2]介紹了互換性要求和分類指標的形成,對界限氣的規定進行了探討,指出:分類標準不能用來確定燃氣的互換范圍;盲目采用歐洲標準對我國是無益而有害的;燃氣質量中的互換性問題,需要根據國情開展研究工作,吸取國外有益的成果。
文獻[3]介紹了美國國家天然氣委員會對LNG和管道天然氣互換性的研究成果。文獻[4]介紹了天然氣互換性的定義和表征參數,探討了目前美國、歐洲天然氣氣質及其互換性研究進展,結合我國天然氣發展趨勢,闡述了開展我國天然氣互換性研究的重要意義。文獻[5]以廣州市的天然氣和原人工煤氣的互換性判定為例,計算、驗證了若只需單純判定兩種燃氣能否互換,選用I指數判定法比圖形判定法更方便。文獻[6]介紹了燃氣互換性的有關要求及判斷方法,應用華白數及國際上常用的A.G.A互換性判斷法,對進口LNG與陜京一線、陜京二線天然氣進行互換性計算。
在考慮燃氣的互換性時,一般是針對采用常壓吸氣低壓引射器的大氣式燃燒器的民用燃具的互換性[7]205[8~12]。某一燃具運行好壞取決于燃氣的燃燒特性(以燃氣在灶具上燃燒時的離焰極限、回火極限、C0極限和黃焰極限為代表)、火孔熱強度、一次空氣系數。一次空氣系數定義為一次空氣量與理論空氣需要量的比值[13]。一次空氣系數影響到燃具的效率、完全燃燒程度、火焰內錐高度和燃燒的穩定性等,是考慮燃氣互換性時的一個重要指標[2][7]213[14]。
在分析燃氣的互換性時,不能離開一次空氣量來討論燃燒的穩定性。當燃氣性質改變時,除了引起燃燒器熱負荷改變外,還會引起燃燒器一次空氣系數的改變。關于燃氣性質的變化引起的燃燒器所能引射的一次空氣量的變化,目前很少有文獻涉及。文獻[7]207指出大氣式燃燒器中,一次空氣系數與華白數成反比,即:

式中α1——一次空氣系數
K——比例常數,MJ/m3
W——華白數,MJ/m3
其中華白數W的定義為:

式中Qh——燃氣高熱值,MJ/m3
d——燃氣的相對密度
其理由是,根據大氣式燃燒器引射器的特性,一次空氣系數α1與
成正比,與理論空氣需要量V0成反比,由于V0與Qh成正比,因此α1與Qh成反比,故一次空氣系數α1就與華白數W成反比。
成正比,與理論空氣需要量V0成反比,由于V0與Qh成正比,因此α1與Qh成反比,故一次空氣系數α1就與華白數W成反比。 在文獻[7]中,一次空氣系數α1與
成正比這個論斷比較武斷,文中沒有給出詳細的公式推導。
成正比這個論斷比較武斷,文中沒有給出詳細的公式推導。根據式(1)可知,如果某燃具原用燃氣a,一次空氣系數為α1,a。換成燃氣b時該燃具的一次空氣系數為:

式中α1,b——換成燃氣b時燃具的一次空氣系數
Wa——原用燃氣a的華白數,MJ/m3
Wb——燃氣b的華白數,MJ/m3
α1,a——使用燃氣a時燃具的一次空氣系數
鑒于一次空氣系數在燃氣互換性分析中的重要性,有必要深入分析影響大氣式燃燒器一次空氣系數的因素,以及采用式(1)和(3)計算一次空氣系數時的誤差范圍。
2 大氣式燃燒器引射能力的理論分析
按低壓引射大氣式燃燒器的自動調節性能[7],有:
(1+u)(1+ud)=C (4)
式中u——燃燒器的質量引射系數
C——與燃具幾何參數有關的參數。燃具確定后,C為常數
其中,u的定義為:

式中qm,a——引射的空氣質量流量,kg/h3
qm,g——燃氣的質量流量kg/h3
根據u的定義可知:
ud=α1V0 (6)
式中V0——理論空氣需要量,m3/m3
由式(6)得:

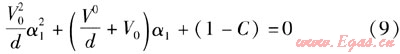
將式(7)代入式(4)得:

整理得:

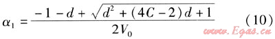
由上式可以解出(排除負值):

由式(10)可以看出,大氣式燃燒器的一次空氣系數是理論空氣量及燃氣相對密度的函數,與華白數沒有直接的關系。燃氣熱值越高,燃燒所需要的理論空氣量越多,所以,可以近似認為V0與燃氣高熱值成正比阻[3~4,7],即:
V0=cQh (11)
式中c——系數,m3/MJ
其中的C針對不同種類的燃氣有所不同[3~4,7]。將式(11)和(2)代入式(10)可得:

由式(12)可以看出,即使考慮V0與燃氣高熱值成正比,一次空氣系數也并非僅與燃氣的華白數成反比,還與燃氣的相對密度以及C有關。
令:

式中A——與燃氣相對密度以及C有關的參數
式(12)變形為:

如果在通常燃氣相對密度的范圍及大氣式燃燒器常數C的范圍內,A大約為定值,且C也為定值,則式(14)可轉換為式(1),即式(1)和(3)在此條件下可以成立。
對于常用的城市燃氣氣源,人工煤氣的相對密度一般為0.3~0.55,天然氣的相對密度為0.5~0.8,液化石油氣的相對密度為1.9~2.0,與燃具幾何參數有關的常數C一般為65~80。當燃氣相對密度為[0.3,0.8]及[1.9,2.0],考慮常數C=65,70,75,80四種情況,繪制A與d的關系曲線,見圖1。可以看出,在所考慮的范圍內,A并非為一定值,而是隨著相對密度的增大而有所變化。因此,利用式(1)和(3)來計算一次空氣系數,必然會引起計算誤差。

3 式(1)和(3)的誤差案例分析
在以上所推導的計算一次空氣系數的公式中,式(10)的適用條件為低壓大氣式燃燒器,式(12)的適用條件為低壓大氣式燃燒器及燃氣理論空氣量與燃氣熱值成正比。式(1)和(3)的適用條件為低壓大氣式燃燒器、燃氣理論空氣量與燃氣熱值成正比及參數A為常數。式(10)的適用條件最寬松,計算結果應最為準確,式(12)次之,式(3)導致的系統誤差可能最大。
設某燃具原用燃氣a,高熱值Qh=40.07MJ/m3,相對密度d=0.58,理論空氣量V0=9.6m3/m3,華白數W=52.8MJ/m3,一次空氣系數α1,a=0.60。通過式(4)和(7)計算可知,該燃具燃燒器的常數C=73.89。而后改用表1所列其他產地的燃氣(LNG及氣田天然氣的性質取自文獻[15],其余取自文獻[7]附錄1),則通過式(10)、(12)、(3)可分別計算出該燃具的一次空氣系數,見表1。對于LNG和氣田天然氣,式(12)中的C取0.24m3/MJ,因文獻中沒有適用于液化石油氣和人工煤氣的C值,故對人工煤氣和液化石油氣未計算式(12)的相關數據。從表1中的數據可以看出,對于與原燃用的燃氣性質相近的LNG或氣田天然氣,式(12)和(3)所計算的一次空氣系數都比式(10)計算的結果高出5%左右;對于與原燃用燃氣不同類的人工煤氣,式(3)所計算的一次空氣系數都比式(10)計算的結果低5%~11%。對于液化石油氣,式(3)所計算的一次空氣系數都比式(10)計算的結果低1%~4%。需要指出的是,以上數據僅為案例分析,并不代表其他案例也會得出相同的數據。另外,案例分析中選擇了人工煤氣和液化石油氣作分析對象,并不代表這兩類氣體可以和天然氣進行互換,此處僅僅考慮式(3)所能引起的系統誤差。
表1 式(10)、(12)、(3)計算所得一次空氣系數比較
|
燃氣種類(或產地)
|
Qh/(MJ·m-3)
|
相對密度d
|
W/(MJ·m-3)
|
V0/(m3·m-3)
|
一次空氣系數
|
|||||
|
式(10)計算結果
|
式(12)
|
式(3)
|
||||||||
|
計算結果
|
相對誤差/%
|
計算結果
|
相對誤差/%
|
|||||||
|
LNG
|
海南
|
38.46
|
0.644
|
47.92
|
10.89
|
0.633
|
0.659
|
4.1
|
0.661
|
4.4
|
|
澳大利亞
|
42.13
|
0.630
|
53.O7
|
10.59
|
0.568
|
0.595
|
4.8
|
0.597
|
5.1
|
|
|
印尼
|
41.19
|
0.614
|
52.56
|
10.36
|
0.573
|
0.600
|
4.7
|
0.603
|
5.2
|
|
|
馬來西亞
|
42.32
|
0.635
|
53.O7
|
10.64
|
0.568
|
0.595
|
4.8
|
0.597
|
5.1
|
|
|
氣田天然氣
|
陜甘寧
|
37.49
|
0.588
|
48.86
|
9.44
|
0.615
|
0.645
|
4.9
|
0.648
|
5.4
|
|
塔里木
|
38.22
|
0.577
|
50.32
|
9.62
|
0.597
|
0.626
|
4.9
|
0.630
|
5.5
|
|
|
廣西北海
|
40.74
|
0.659
|
50.18
|
10.24
|
0.601
|
0.629
|
4.7
|
0.631
|
5.0
|
|
|
東海
|
38.22
|
0.609
|
48.95
|
9.62
|
0.614
|
0.644
|
4.9
|
0.647
|
5.4
|
|
|
成都
|
36.50
|
0.585
|
47.70
|
9.20
|
0.629
|
0.661
|
5.1
|
0.664
|
5.6
|
|
|
南海東方
|
30.74
|
0.652
|
38.06
|
7.73
|
0.792
|
0.829
|
4.7
|
0.832
|
5.1
|
|
|
渤海
|
37.03
|
0.652
|
45.84
|
9.32
|
0.657
|
0.689
|
4.9
|
0.691
|
5.2
|
|
|
人工煤氣
|
油催化制氣
|
18.47
|
0.415
|
28.65
|
3.89
|
1.245
|
—
|
—
|
1.106
|
-11.2
|
|
油熱裂化制氣
|
37.95
|
0.611
|
48.53
|
8.55
|
0.692
|
—
|
—
|
0.653
|
-5.6
|
|
|
焦爐煤氣
|
19.82
|
0.362
|
32.93
|
4.21
|
1.070
|
—
|
—
|
0.962
|
-10.1
|
|
|
LPG
|
北京
|
123.68
|
1.954
|
88.47
|
28.28
|
0.373
|
—
|
—
|
0.358
|
-4.00
|
|
大慶
|
113.78
|
1.954
|
87.48
|
28.94
|
0.365
|
—
|
—
|
0.362
|
-O.80
|
|
|
注:相對誤差為相對式(10)計算結果的值。
|
||||||||||
一次空氣系數與華白數的關系見圖2,可以看出按式(10)計算出的一次空氣系數與華白數近似成反比關系。欲準確計算,還是應該采用式(10)。

4 結論
一次空氣系數是考慮燃氣互換性時的一個重要指標。目前的計算方法僅僅考慮一次空氣系數與燃氣的華白數成反比——公式(3)。通過本文的案例分析可以看出,對于與原燃用的燃氣性質相近的LNG或氣田天然氣,公式(12)和公式(3)所計算的一次空氣系數都比公式(10)計算的結果高出5%左右;對于與原燃用燃氣不同類的人工煤氣,公式(3)所計算的一次空氣系數都比公式(10)計算的結果低5%~11%;對于液化石油氣,公式(3)所計算的一次空氣系數都比公式(10)計算的結果低1%~4%。
根據大氣式燃燒器的自動調節特性,從理論上推導了大氣式燃燒器在燃氣性質改變時一次空氣系數的變化公式——公式(10),并推導了其與燃氣華白數的確切關系——公式(12),且分析了在何種情況下公式(12)可以轉換為公式(3)。在進行燃氣互換性分析時,可采用公式(10)較精確地計算一次空氣系數隨燃氣性質變化的關系。
參考文獻:
[1] 中國城市燃氣協會秘書處.關于開展天然氣互換性研究的建議[J].城市燃氣,2008(2):3-4.
[2] 李猷嘉.燃氣互換性與燃氣分類的關系[J].城市燃氣,2008(9):3-13.
[3] 劉艷華.美國國家天然氣委員會對于LNG和管道天然氣可互換性的研究[J].城市燃氣,2006(8):22-25.
[4] 張玉坤,許文曉,陳勇.天然氣氣質及其互換性[J].石油與天然氣化工,2008,37(6):523-526.
[5] 鄒雪春,梁棟.燃氣互換性幾種常用判定方法的比較與選擇[J].廣州大學學報:自然科學版,2007,6(3):87-90.
[6] 張俊祥,趙耀宗,張亞婷,等.進口LNG與陜京氣互換性探討[J].城市燃氣,2007(6):15-18.
[7] 同濟大學,重慶建筑大學,哈爾濱建筑大學,等.燃氣燃燒與應用[M].2版.北京:中國建筑工業出版社,2000.
[8] 孔慶芳.上海地區燃燒火焰穩定性與燃氣互換性研究[J].煤氣與熱力,1999,19(6):39-43.
[9] 齊杰,付鐵嶺,焦文玲.民用灶具改造的探討[J].煤氣與熱力,2003,23(3):155-157.
[10] 胡鵬,傅忠誠.燃燒室負壓與一次空氣系數的關系[J].煤氣與熱力,2002,22(2):104-106.
[11] 楊慶泉,全惠君,馮良.民用燃具的運行特性[J].煤氣與熱力,1999,19(4):45-48.
[12] 楊俊杰.大氣式燃燒黃焰工況的探討[J].煤氣與熱力,2000,20(4):266-269.
[13] 哈爾濱建筑大學.CJ/T 3085—1999城市燃氣術語[S].北京:中國建筑工業出版社,2000.
[14] CORNFORTH J R.Combustion engineering and gas utilization[M].London:E&FN Spon Press,1992:45-53.
[15] 李猷嘉.論液化天然氣與管道天然氣的互換性[J].城市燃氣,2009(6):5-9.
(本文作者:何奕霏 解東來 宋迪 華南理工大學化學與化工學院 廣東廣州 510640)
贊 賞 分享
您可以選擇一種方式贊助本站

支付寶轉賬贊助

微信轉賬贊助
- 注解:本資料由會員及群友提供僅供閱讀交流學習,不得用于商業用途!
