摘要:科學確定LNG接收站的周轉及儲備能力、明確LNG儲備天數,有助于合理進行LNG接收站戰略規劃、科學調配LNG船運資源及LNG接收站的儲存資源。為此,分析了LNG接收站儲備能力的影響因素,針對LNG接收站系統的離散混合特性,將離散事件建模方法中的庫存系統模型作為理論依據,結合LNG接收站的供需特點,對經典的庫存系統模型進行擴展及調整,建立了LNG接收站周轉能力數學模型、庫存水平數學模型和儲備能力數學模型。上述模型可模擬不同LNG船型、資源地、儲罐數量、外輸量條件下LNG接收站的儲備能力,為優選LNG供需調配方案及船期策略,合理選擇船型、安排船期、確定LNG儲罐數量提供了參考,對LNG接收站遠期規劃及功能定位的調整具有指導意義。
關鍵詞:LNG接收站;儲備能力;周轉能力;庫存水平;數學模型;影響因素
科學確定LNG接收站的儲備能力、明確LNG儲備天數,對合理進行LNG接收站戰略規劃、科學調配LNG船運資源及接收站的儲存資源具有指導意義[1]。
1 LNG接收站周轉能力研究
建立LNG接收站儲備能力數學模型,首先需要確定接收站的周轉能力,當其周轉能力大于計劃外輸量的情況下,接收站才具有儲備意義。預測各建設期LNG接收站的周轉能力,需建立LNG接收站周轉能力數學模型。由于LNG接收站的周轉能力與LNG接收站的庫存水平、LNG運輸船的卸船量、卸船間隔時間、LNG外輸工藝等諸多因素有關,可將LNG接收站的接收、存儲、外輸環節看成一個整體系統進行研究。從外輸和儲備的角度來講,LNG接收站系統類似于物流系統中的庫存系統,可引入離散事件建模方法中的庫存模型并結合LNG接收站的運行特點進行建模。
針對LNG接收站的工藝流程及貿易特點,對離散事件建模方法中解決確定性庫存問題最常用的EOQ模型進行調整,建立了考慮周轉量最大的LNG接收站庫存系統的EOQ模型[2~3]:

式中Nx為單次卸船個數;Vdx為LNG運輸船抵港卸船量,m3;Txs為卸船間隔期的卸船起始時刻;Txx為卸船間隔期的卸船終止時刻;Vq為單次卸船間隔時間內產生的庫存,m3。
將日平均周轉量(q)帶入式(1),將其轉換為日平均周轉量的極值問題:

式中q≤24Qp(2n-1)為低壓泵排量約束,Qp為低壓泵排量m3/d;n為儲罐數量m3/d;
為儲罐容量約束,Vg為儲罐凈工作容量,m3,Tb為連續不可作業天數,d;
為LNG儲罐剩余空間約束,Tdx為卸船時間,d;
為LNG船容約束;Tdg≤T為卸船間隔時間約束,Tdg為單船最短卸船間隔時間,d。
為儲罐容量約束,Vg為儲罐凈工作容量,m3,Tb為連續不可作業天數,d;
為LNG儲罐剩余空間約束,Tdx為卸船時間,d;
為LNG船容約束;Tdg≤T為卸船間隔時間約束,Tdg為單船最短卸船間隔時間,d。 應用極值求解方法,可對該模型進行求解。
2 LNG接收站庫存水平數學模型
在明確周轉能力的前提下,需預測任意時刻接收站的庫存水平,建立儲存水平數學模型。首先要研究任意時刻LNG接收站的庫存水平。LNG接收站的供氣需求通常是隨季節變化的,在秋冬季一個特定的時間段內需求開始逐漸增加,經一段時間增加至峰值后,需求開始下降,在春夏季需求降為最低。可根據離散事件建模方法的季節性商品庫存系統模型進行建模。
從宏觀層面來講,LNG接收站的庫存水平與供貨及需求有關,通常采用天然氣管網供氣負荷預測方法來確定天然氣的需求率。但由于LNG供貨渠道的特殊性,即LNG接收站的原料供應通常采用長期合同的方式,即使是現貨貿易最少也需在數月之前簽訂合同,因此LNG接收站的機動性也存在一定的狹義相對性。故討論的LNG接收站儲備能力除了極限情況下(比如戰略需要)以外,是指在保證LNG接收站正常運轉的前提下的儲備能力。現將一供氣負荷的經典函數帶入季節性商品的庫存控制模型,建立LNG接收站季節性庫存水平模型。
根據天然氣的需求特點,令T為“季節”周期,在這種情形下,區間[0,T)內的需求率函數如下:
DL(u)=Bu(T-u)m-1+C (0≤u≤T,0<C) (3)
式中m>1且為整數;B>0,表示需求的尺度參數;C為最低需求,LNG的需求率通常要滿足一個最低水平,C一般不為0。
將需求率函數帶入庫存水平模型,可得任意時刻x處的LNG接收站庫存水平:

式中V(x)為任意時刻LNG接收站庫存水平,m3;Nx為LNG運輸船量,m3;T1為第一次運輸船卸船開始時刻;Ts為所求時刻所屬“季節”期起始時刻;T1z為第一次運輸船卸船開始時刻所屬季節期的終止時刻。
3 LNG接收站儲備能力數學模型
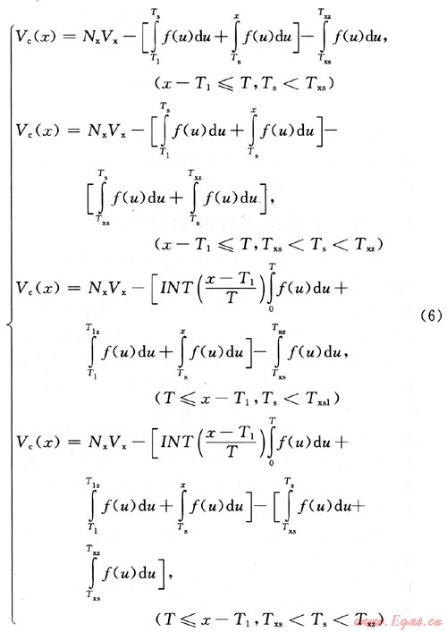
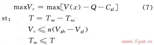
LNG接收站的儲備庫存取決于庫存水平與日常供氣消耗之差。建立LNG接收站儲備能力數學模型以儲備能力最大、訂貨策略(卸船間隔時間)最優作為求解目標[4]。任意時刻LNG接收站的儲備庫存函數表示如下:
Ve(x)=V(x)-Q-Vgl (5)
式中Q為日常供氣消耗量,m3;Vc(x)為接收站儲備庫存,m3;Vgl為接收站最低操作容積,m3。
將式(4)帶入式(5),則任意時刻LNG接收站的儲備庫存數學模型如下:

式中Txs為所求時刻所屬卸船間隔期的卸船起始時刻;Txz為所求時刻所屬卸船間隔期的結束時刻,即下一次卸船作業的開始時間。
按Bellman最優化原理可得到求解該問題的動態規劃模型[5]:

式中T為卸船間隔時間,d;Vgh為儲罐最高工作容積,m3;Vgl為儲罐最低工作容積,m3;Tm為最大日平均外輸量對應的卸船間隔時間,d。
儲備時間可表示如下:

式中tc為儲備時間,d;qc為外輸氣量,m3/d。
4 實例計算
現以澳大利亞為資源地,以14.7×104m3LNG運輸船為例,將渤海某LNG接收站各建設期規劃的儲罐數量、LNG日均外輸量、儲罐工作容積以及約束條件等基礎參數帶入數學模型,預測各建設期的周轉能力和儲備能力,各建設期各儲罐數量條件下的均月均值儲備庫存、均月均值儲備時間、均月高值儲備庫存、均月高值儲備時間。預測結果見表1,LNG接收站周轉能力與儲罐數量的變化關系見圖1,LNG接收站儲備時間與儲罐數量的變化關系見圖2。



5 結論
1) LNG接收站的接收、存儲、外輸系統屬于生產物流系統,可運用離散事件系統方法的庫存系統模型對其進行模擬。以周轉量最大作為建模目標,對經典的EOQ模型進行調整,建立了考慮周轉量最大的LNG接收站庫存系統EOQ模型,利用該模型和極值求解方法可計算接收站的周轉能力。該模型的建立,為LNG運輸船船型選擇、船期確定、LNG接收站工程改擴建提供了參考依據,可為LNG接收站儲備能力數學模型提供約束條件。
2) 以LNG貿易特點,供應方式,天然氣需求隨季節變化規律為研究依據,對LNG接收站的儲存規律進行分析。參考經典季節性商品的庫存控制模型,結合接收站庫存變化特點,建立了LNG接收站季節性庫存水平模型,在此基礎上,確定了LNG接收站儲備能力數學模型。該模型的建立,為供需調配方案的優選,船期策略的選擇提供了幫助。
3) 由模擬結果可知,接收站的儲備庫存與儲罐數量成正比,在周轉量一定的情況下,儲備時間與儲罐數量成正比,與周轉量成反比。
參考文獻
[1] 徐烈,徐永生,李兆慈,等.我國液化天然氣(LNG)的陸地儲存與運輸[J].天然氣工業,2002,22(3):89-91.
[2] 顧啟泰.離散事件系統建模與仿真[M].北京:清華大學出版社,1999.
[3] J朋克思.離散事件系統模擬[M].北京:清華大學出版社,1988.
[4] 王亞超.生產物流系統建模與仿真——Witness系統及應用[M].北京:科學出版社,2006.
[5] 席少霖,趙風治.最優化計算方法[M].上海:上海科學技術出版社,1983.
(本文作者:鄭云萍1 李薇1 李偉2 章哲華2 1.西南石油大學石油工程學院;2.中石油LNG接收站項目經理部)
贊 賞 分享
您可以選擇一種方式贊助本站

支付寶轉賬贊助

微信轉賬贊助
- 注解:本資料由會員及群友提供僅供閱讀交流學習,不得用于商業用途!
