摘要:通過調查分析管道燃氣供應企業生產運行、安全與服務質量、經營狀況等,探討建立了管道燃氣供應企業綜合評價標準,建立了企業的等級劃分標準,為管理部門實行差異化管理提供了依據。
關鍵詞:管道燃氣供應企業;綜合評價標準;差異化管理
1 引言
城市燃氣(天然氣、人工煤氣、液化石油氣)是城市能源供應的重要組成部分。發展城市燃氣,有利于保護環境、造福人類,符合國際環境與發展的時代潮流。
城鎮燃氣易燃易爆的特性和遍及城鎮、深入街區、聯系千家萬戶的特點,決定了其管理工作的復雜性、廣泛性和系統性。城市燃氣輸配管網由于其安全性和經濟性,成為城市燃氣的主要輸送工具,其安全和穩定的運行牽涉到千家萬戶。因此,管道燃氣的管理工作不僅僅局限在燃氣企業內部,而是向全社會開放的。
從管道燃氣供應企業自身來講,資質、原材料(氣源)、人力資源及資金是企業正常運行的保障。安全是企業正常運行的根本,時刻聯系著企業的生存;從社會角度看,燃氣供應企業是服務行業,服務于社會和用戶是其天職,而保證用戶的使用安全是服務的主要內容。
目前,隨著城市燃氣輸配管網規模的進一步擴大,管道燃氣供應企業牽涉面更廣,給管道燃氣監管部門的管理工作增加了難度。因此,有必要開展管道燃氣供應企業的綜合評價標準研究,為燃氣監管部門對管道供應企業實行分級分類、差異化管理,提升燃氣供應企業的運行質量提供依據。
2 研究過程
(1) 通過參考國家和地方在燃氣監管方面的法律法規,初步擬定管道燃氣供應企業綜合評價標準模型中的指標;
指標體系建立的原則主要包括以下幾點:
① 科學合理性:指標的選取應保證客觀公正.數據的來源應保證可靠準確,選取的評估方法應有科學依據,能盡可能的反映供應企業的客觀實際。
② 實際操作性:該項原則主要考慮兩個方面的內容:一是評價數據資料容易獲得;二是評價結果計算簡便。
③ 整體完備性:評價指標應該能夠反映企業各方面的基本情況。
(2) 走訪燃氣監管部門的工作人員,了解其對管道燃氣供應企業進行監管過程中遇到的難題和管理中的薄弱環節;走訪不同區域、不同規模、不同供氣對象的管道燃氣供應企業,了解這些企業在遵照國家或地區管理條例的運營過程中存在的困難;從而對指標進行初步篩選;
(3) 通過采用調查問卷的調研方式,得到了管網專家對評價指標的意見,依此為依據對指標進行進一步的篩選,得到綜合評價標準的指標體系如包括3個一級指標,12個二級指標和43個三級指標,如表1所示。
表1 管道燃氣供應企業綜合評價標準指標體系
|
一級指標
|
二級指標
|
三級指標
|
一級指標
|
二級指標
|
三級指標
|
|
運營保障K1
|
相關資質K11
|
營業執照K111
|
生產運行與安全管理K2
|
安全管理K22
|
設施巡檢和用戶檢查K228
|
|
經營許可證K112
|
事故隱患管理K229
|
||||
|
消防驗收K113
|
應急管理K23
|
應急預案K231
|
|||
|
預案演練K232
|
|||||
|
安全評價K114
|
搶險、搶修電話K233
|
||||
|
氣源保障K12
|
供氣合同K121
|
||||
|
氣質檢測K122
|
應急資源K234
|
||||
|
人力保障K13
|
供氣質量K131
|
應急隊伍K235
|
|||
|
人員配備K132
|
用戶服務K3
|
用戶管理K31
|
用戶協議K311
|
||
|
崗位培訓K133
|
用戶檔案K312
|
||||
|
資金保障K14
|
現金流K141
|
甩戶宣傳K313
|
|||
|
安全投入K142
|
照務場所K32
|
服務場所設置K321
|
|||
|
生產運行與安全管理K2
|
設備設施管理K21
|
設計、施工K211
|
服務場所秩序K322
|
||
|
施工監理及竣工驗收K212
|
工作人員K33
|
工作人員態度K331
|
|||
|
設備標識K213
|
服務水平K332
|
||||
|
設置改動許可K214
|
營業收費K34
|
明碼標價售氣K341
|
|||
|
安全管理K22
|
安全管理制度K221
|
收費憑據K342
|
|||
|
操作規程K222
|
降壓與停氣K35
|
提前告知K351
|
|||
|
安全管理人員K223
|
恢復時間K352
|
||||
|
報警裝置K224
|
投訴和處理K36
|
投訴電話K361
|
|||
|
設備檢驗K225
|
投訴反饋K362
|
||||
|
消防設施K225
|
違紀處理K363
|
||||
|
防雷防靜電K227
|
|
|
|
表2 管道燃氣供應企業評價指標權重確定
|
指標
|
K11
|
K12
|
K13
|
K14
|
|
K11
|
1
|
|
|
|
|
K12
|
|
1
|
|
|
|
K13
|
|
|
1
|
|
|
K14
|
|
|
|
1
|
注:表中K11K12K13K14分別代表相應指標
(4) 邀請燃氣管網行業的專家,召開專家會議,對各指標權重進行打分,并計算指標的平均權重。計算各指標的權重采用的是層次分析法(AHP)。層次分析法由Thomas L.Saaty在1970年基于數學和人類心理學的原理的基礎上提出來的,主要用來幫助人們處理分析復雜的數據,是一種非常實用的方法。該方法現在已被大規模使用,并進一步發展完善,并被廣泛適用于各種決策場合,涉及的領域包括公共管理、商業、工業、衛生保健教育等。
① 權重計算方法
根據層次分析法的要求,可以設計如表2所示的表格,在專家會議上,由專家依據表3的規定進行填寫。
表3 管道燃氣供應企業各指標之間的重要性及其標度值
|
專家判斷
|
表2中第(i,j)單元c(i,j)賦值
|
|
第i行元素與第j列元素同等重要
|
1
|
|
第i行元素比第j列元素稍顯重要
|
3
|
|
第i行元素比第j列元素明顯重要
|
5
|
|
第i行元素比第j列元素強烈重要
|
7
|
|
第i行元素比第j列元素極端重要
|
9
|
|
第i行元素比第j列元素稍顯不重要
|
1/3
|
|
第i行元素比第j列元素明顯不重要
|
1/5
|
|
第i行元素比第j列元素強烈不重要
|
1/7
|
|
第i行元素比第j列元素極端不重要
|
1/9
|
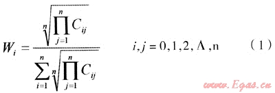
根據表3的規定,如果表2中第(i,j)單元的賦值為Cij,則第(j,i)單元的賦值為1/Cij。表2中第i行指標的權重W(i)可由下式計算得到:

表4 管道燃氣供應企業綜合評價標準指標體系權重處理結果
|
一級指標
|
二級指標
|
三級指標
|
一級指標
|
二級指標
|
三級指標
|
|
運營保障0.16
|
相關資質0.40
|
營業執照0.25
|
生產運行與安全管理O.45
|
應急管理0.25
|
應急預案0.24
|
|
經營許可證0.25
|
預案演練0.20
|
||||
|
消防驗收0.25
|
搶險、搶修電話0.16
|
||||
|
安全評價0.25
|
應急資源0.20
|
||||
|
氣源保障0.24
|
供氣合同0.33
|
應急隊伍0.20
|
|||
|
氣質檢測0.29
|
用戶服務0.39
|
用戶管理0.20
|
用戶協議0.35
|
||
|
供氣質量0.38
|
用戶檔案0.35
|
||||
|
人力保障0.18
|
人員配備0.56
|
用戶宣傳0.30
|
|||
|
崗位培訓0.44
|
服務場所0.13
|
服務場所設置0.46
|
|||
|
資金保障0.18
|
現金流0.50
|
服務場所秩序0.54
|
|||
|
安全投入0.50
|
工作人員0.20
|
工作人員態度0.50
|
|||
|
生產運行與安全管理0.45
|
設備設施管理0.25
|
設計、施工0.32
|
服務水平0.50
|
||
|
施工監理及竣工驗收0.24
|
營業收費0.14
|
明碼標價售氣0.57
|
|||
|
設備標識0.24
|
收費憑據0.43
|
||||
|
設置改動許可0.20
|
降壓與停氣0.13
|
提前告知0.54
|
|||
|
安全管理0.50
|
安全管理制度0.14
|
恢復時間0.46
|
|||
|
操作規程0.14
|
投訴和處理0.20
|
投訴電話0.3
|
|||
|
安全管理人員0.10
|
投訴反饋0.35
|
||||
|
報警裝置0.10
|
違紀處理0.35
|
||||
|
設備檢驗0.10
|
|
|
|
||
|
消防設施0.10
|
|||||
|
防雷防靜電0.10
|
|||||
|
設施巡檢和用戶檢查0.10
|
|||||
|
事故隱患管理0.12
|
表5 管道燃氣供應企業等級劃分表
|
等級
|
分值
|
對策措施
|
|
優秀
|
91-100分
|
對綜合評價結果優秀的供應企業提供優先發展的條件,促進優勝劣汰。
|
|
良好
|
81-90分
|
對綜合評價結果良好的供應企業予以獎勵,督促其進一步提高運營質量和管理水平。
|
|
合格
|
71-80分
|
對評價結果合格的企業實施重點監管,加強管理以提供其安全運營水平和服務質量。
|
|
不合格
|
70分及以下
|
對評價結果不合格的企業提出限期整改意見,如不能及時整改或整改復查仍不合格的,責令其停業整頓合格后方可營業。
|
② 指標權重計算結果
邀請了數位管道燃氣的行業專家根據表3的規定,對按照表2的格式制定的指標權重表進行填寫。對表中的數據進行處理,并按照公式(1)進行計算,得到表4所示的結果。
(5) 管道燃氣供應企業得分計算方法
將綜合評價標準的三級指標初設分值設為滿分100分。由管道燃氣供應企業綜合評價組對管道燃氣供應企業的各三級指標進行打分,根據打分結果,由下式可以計算得到該企業的綜合評價得分。

式中,
M——綜合評價總分值;
Kj——一級指標權重系數;
Kij——二級指標權重系數;
Kijk——三級指標權重系數;
Mj——指標分值;
i——一級指標數;
j——第i個一級指標下的二級指標數;
k——第i個一級指標的第j個二級指標下三級指標數;
n——指標個數。
(6) 管道燃氣供應企業綜合評價分級方法
為了對管道燃氣供應企業實行評價后的差異化管理,根據對管道燃氣供應企業試點的評價得分情況,可以將企業綜合評價得分劃分為四檔(見左頁表5)。
3 結語
本研究通過對管道燃氣供應企業的調研和咨詢相關領域的專家,建立了管道燃氣供應企業綜合評價標準指標體系;運用層次分析法和專家會議法確定了各指標的權重;提出了綜合評價得分的計算方法;建立了企業綜合評價等級劃分標準。根據對管道燃氣供應企業的綜合評價結果,可以對企業進行差異化管理,提高政府對企業監管的效率,提升企業自身運營的質量。
(本文作者:張曉峰 汪彤 白永強 呂良海 北京市勞動保護科學研究所 100054)
贊 賞 分享
您可以選擇一種方式贊助本站

支付寶轉賬贊助

微信轉賬贊助
- 注解:本資料由會員及群友提供僅供閱讀交流學習,不得用于商業用途!
