摘要:針對超臨界流體狀態下烴類、硫化氫、二氧化碳的特性,結合p-T-ρ圖版和實際氣體狀態方程,以及普光氣田高含硫化氫、二氧化碳氣井的實際情況,計算得出普光氣田烴類與硫化氫、二氧化碳構成的混合物的相態圖;建立了相應的數學模型,模擬了高酸性高壓氣井環空溫度、偏差因子、壓力和體積膨脹情況。從模擬計算結果可以看出:高含硫氣體在溢流壓井期間,在井筒較長井段處于超臨界狀態,遠離臨界點附近區域,從超臨界狀態轉向低壓氣態時體積較明顯的膨脹但不劇烈,不會出現在超臨界點附近處特有的瞬時體積急劇膨脹現象;普光氣田氣井的酸性氣體運移至距地面12%左右(即1120m)井深時,有體積膨脹趨勢,運移至距地面10%左右(即560m)井深時有較明顯的膨脹特征。
關鍵詞:酸性氣體;相態;相變;臨界點;溫度;偏離系數;井控;普光氣田
0 引言
對于高含硫氣井,安全井控是重中之重的任務。然而,由于酸性氣體在井筒運移期間存在超臨界現象,在井筒能否發生強烈的體積膨脹,引起與常規氣井不同的溢流井噴,人們對此格外關注[1~7]。筆者運用超臨界流體相變理論,結合普光氣田情況,對高含硫氣井溢流壓井期間井筒超臨界相態特征進行了一些研究。
1 含酸性氣體超臨界特征
1.1 含硫化氫和二氧化碳的酸性天然氣臨界參數計算方法
穩定的純物質及由其組成的定組成混合物具有固有的臨界點(即臨界壓力pc、臨界溫度Tc、臨界密度ρc)。混合氣體組分的臨界參數的計算方法如下[8]:
天然氣的臨界參數采用擬臨界參數,采用Kay’s混合規則,其定義為:

式中:yi為組分i的摩爾分數;ppc、Tpc分別為混合物的擬臨界壓力和擬臨界溫度;pci、Tci分別為組分i的臨界壓力和臨界溫度。
Wichert & Aziz提出了對含硫化氫和二氧化碳的酸性天然氣修正方法。所以運用以上方法計算酸性天然氣的臨界參數,需對結果進行修正。具體修正形式如下:
ε=[120(A0.9-A1.6)+15(B0.5-B4)]/1.8 (3)
T′pc=Tpc-ε (4)

式中:A為天然氣中硫化氫和二氧化碳的總摩爾分數;B為天然氣中硫化氫的摩爾分數;ppc、Tpc分別為采用Kay’s混合規則計算的擬臨界壓力和擬臨界溫度;p′pc、T′pc分別為經過校正后的擬臨界壓力和擬臨界溫度。
1.2 含酸性氣體臨界點附近流體相態變化特征
臨界流體是指溫度、壓力高于臨界溫度(Tc)和臨界壓力(pc)的流體。在臨界點附近,壓力的微小變化可導致密度的巨大變化[9]。如圖1、2。圖1中,C點為流體臨界點,虛線所標注的數值為流體密度。由圖1可以看出,在C點附近小的范圍內,流體的密度差異巨大,也即流體密度差異很大的數值線延伸并聚集在臨界點C附近。在此點,較小的溫度或壓力發生變化,都會引起流體密度或體積的巨大變化。純二氧化碳的臨界溫度是31.06℃,臨界壓力是7.39MPa,如圖2描述了純二氧化碳在40℃下的密度隨壓力的變化關系。溫度40℃恒定的條件下,壓力從10MPa降到5MPa,在臨界壓力附近變化,密度數值從630kg/m3降到120kg/m3,變化劇烈;可見在臨界點附近,密度有很寬的變化范圍;溫度或壓力微調可使密度顯著變化。


1.3 含酸性氣體超臨界區流體相態變化特征
超臨界流體可以得到處于氣態和液態之間的任一密度,超臨界流體具有液體對溶質有比較大溶解度的特點,又具有氣體易于擴散和運動的特性(見表1),因而有較好的流動性、滲透性和傳遞性能。
表1 氣體、液體和超臨界流體性質表
|
流體性質
|
氣體
|
超臨界流體
|
液體
|
|
|
0.1Mpa,15~30℃
|
Tc,pc
|
Tc,4pc
|
15~30℃
|
|
|
密度/g·mL-1
|
(0.6~2)×10-3
|
0.2~0.5
|
0.4~0.9
|
0.6~1.6
|
|
黏度/g·(cm·s)-1
|
(1~3)×10-4
|
(1~3)×10-4
|
(3~9)×10-4
|
(0.2~3) ×10-2
|
|
擴散系數/cm2·s-1
|
0.1~0.4
|
0.7×10-3
|
0.2×10-3
|
(0.2~3) ×10-5
|
在臨界點附近,溫度、壓力微調可使超臨界流體的性質顯著變化,但遠離臨界點附近區域時,超臨界流體的性質變化并不明顯。如圖1的二氧化碳密度隨壓力與溫度的變化相圖,等密度線在臨界點附近很密集,而在遠離臨界點的區域比較分散,遠離臨界點時,不同密度之間的過渡需要較大的壓差或溫度差。如圖2,溫度40℃恒定的條件下,而當壓力從50MPa降到20MPa,即在稍微遠離臨界壓力點附近的區域變化,密度僅從965kg/m3降到825kg/m3??梢姰斄黧w溫度壓力都大大超過臨界點,流體密度與溫度及壓力存在一一對應關系,但不存在溫度壓力較小范圍變化會引起流體密度劇烈變化現象。
1.4 鉆井液溢流井筒環空超臨界流體相態變化規律
高含硫氣井氣侵環空常見的流體一般有甲烷、二氧化碳、硫化氫、乙烷等,鉆井液密度一般在1.2g/cm3以上,所以當井深大于2000m時,根據甲烷、二氧化碳、硫化氫、乙烷等流體的臨界數據(見表2),氣侵環空的流體都處于臨界狀態。氣侵時,超臨界流體以微小氣泡吸附在鉆井液中顆粒的表面,隨著鉆井液的循環上返。超臨界流體和氣體一樣是可壓縮的,在上升的過程中由于所處的壓力不斷減小,體積就會逐漸膨脹增大。
環空流體在井筒相態變化有3種情況,兩種轉變方式。
表2 井筒常見超臨界流體的臨界數據表
|
物質
|
沸點/℃
|
臨界溫度/℃
|
臨界壓力/MPa
|
|
二氧化碳
|
-78.5
|
31.06
|
7.39
|
|
硫化氫
|
-88.0
|
100.20
|
8.94
|
|
甲烷
|
-164.0
|
-83.00
|
4.60
|
|
乙烷
|
-88.0
|
32.40
|
4.89
|
1) 當環空流體臨界溫度低于井筒溫度并且臨界點在井筒壓力和溫度曲線上面時(如圖3中的甲烷),在井筒運移過程中隨著壓力和溫度的降低,當井筒壓力低于流體臨界壓力時,流體從超臨界狀態轉變為氣態,但井筒溫度壓力條件不滿足在臨界點附近體積劇變的條件,根據實際氣體的狀態方程,從超臨界狀態轉變為氣態時體積會有所膨脹,但不會出現劇烈膨脹的現象(如圖3中的甲烷)。

2) 當環空流體臨界溫度處于井筒溫度范圍內并且臨界點在井筒壓力和溫度曲線上面時(如圖3中的二氧化碳),在井筒運移過程中隨著壓力和溫度的降低,當井筒壓力低于流體臨界壓力時,流體從超I臨界狀態轉變為氣態。井筒溫度壓力條件滿足臨界點附近時會發.生體積劇變(如圖3中的二氧化碳)。
3) 當環空流體臨界溫度處于井筒溫度范圍內并且臨界點在井筒壓力和溫度曲線下面時(如圖3中的硫化氫),運移過程中隨著壓力和溫度的降低,當井筒溫度低于流體臨界溫度時,流體先轉變到液態,繼續運移當井筒壓力低于流體臨界壓力時,流體再從液態轉變為氣態。
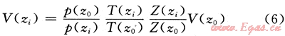
2 氣體膨脹特征計算模型
由實際氣體狀態方程,可得鉆井液溢流井筒環空氣體體積計算公式:

式中:V(zi)為求解點氣體體積;p(zi)為求解點壓力;T(zi)為求解點溫度;Z(zi)為求解點偏差因子;p(z0)為已知點壓力(井底);T(z0)為已知點溫度(井底);V(z0)為已知點氣體體積(井底);Z(z0)為已知點偏差因子(井底)。
3 計算實例
普光氣田上二疊統長興組產層,某氣井井深5600m,井底溫度130℃,井口溫度60℃,鉆井液密度1.46g/cm3。混合氣體組分:硫化氫15%,二氧化碳10%,甲烷74.89%,乙烷0.11%。
由式(1)~(6),計算混合氣體組分的臨界參數得,臨界壓力7.83MPa、臨界溫度-43℃。氣侵井筒流體參數變化見圖4,井筒溫度和壓力對應關系曲線遠離混合流體的臨界點,氣侵流體在井筒運移過程中,密度逐漸減小,由超臨界狀態轉換到氣態,相態變化遠離流體臨界點,不具備臨界點附近流體物性發生急劇變化的條件,從超臨界狀態轉變為氣態時體積會有所膨脹,但不會出現劇烈膨脹的現象。

根據環空氣體體積計算公式(6),計算沿環空流體相關參數變化如圖5,隨著流體從井筒向上運移,井底偏差因子與井筒某點偏差因子的比值以及井底溫度與井筒某點溫度的比值逐漸減小,但減小的幅度不大。然而壓力比值變化的趨勢線比較明顯,在深井段,壓力比值變化很小,而在靠近地面的較淺井段壓力比值經過短暫的過度后明顯增加。在井筒1200~7000m,壓力比值變化不大,壓力比值對流體體積的膨脹不起主要作用;而在接近地面的幾百米范圍內,壓力比值會有幾倍直接變化到幾十倍,這期間壓力比值對體積的膨脹起很重要作用。

從普光氣井氣侵流體體積膨脹倍數曲線可以看出,流體在井筒運移過程中,混合物從超臨界狀態轉變為氣態,密度逐漸減小,體積膨脹,運移至距地面12%(即1200m)井深時,有體積膨脹趨勢,運移至距地面10%(即560m)井深時有較明顯的膨脹特征。但流體在井筒運移過程中,不會出現在超臨界點附近處特有的瞬時體積劇烈膨脹幾百幾千倍的現象。
4 結論
1) 高含硫氣井,H2S/CO2組分不同井筒相態變化不同,存在SCF變到氣態和SCF先變到液態再從液態變化到氣態兩種情況,前者當井筒溫度壓力條件不滿足臨界點附近時不會發生體積劇變,而后者不存在流體臨界點附近體積劇變情況。
2) 高含硫氣體在溢流壓井期間,在井筒較長井段處于超臨界狀態,遠離臨界點附近區域,不會出現在超臨界點附近處特有的瞬時體積劇烈膨脹幾百幾千倍的現象。根據實際氣體的狀態方程,從超臨界狀態轉變為氣態時體積會有所膨脹,但不會出現劇烈膨脹現象。
3) 普光氣田氣井,酸性氣體運移至距地面12%(即1200m)井深時,有體積膨脹趨勢,運移至距地面10%(即560m)井深時有較明顯的膨脹特征。
參考文獻
[1] 趙金洲.我國高含H2S/CO2氣藏安全高效鉆采的關鍵問題[J].天然氣工業,2007,27(2):141-144.
[2] 張智,施太和.高酸性氣井超臨界態CO2、H2S的相態變化誘發鉆采事故探討[J].鉆采工藝,2007,30(1):94-95,104.
[3] 付德奎,郭肖,杜志敏,等.高含硫氣藏硫沉積機理研究[J].西南石油大學學報,2009,31(5):109-111.
[4] 袁平,李培武,施太和,等.超臨界二氧化碳流體引發井噴探討[J].天然氣工業,2006,26(3):68-70.
[5] 李春福,王斌,代家林,等.超高壓高溫CO2腐蝕研究理論探討[J].西南石油學院學報,2005,27(1):75-78.
[6] 張智,付建紅,施太和,等.高酸性氣井鉆井過程中的井控機理[J].天然氣工業,2008,28(4):56-58.
[7] KARSTEN PRUESS. Numerical simulation of C02 leakage from a geologic disposal reservoir,including transitions from super-to sub-critical conditions,and boiling of liquid C02[J].SPE Journal,2004,9(2):237-248.
[8] 楊勝來,魏俊之.油層物理[M].北京:石油工業出版社,2004.
[9] 朱自強.超臨界流體技術[M].北京:化學工業出版社,2000.
(本文作者:高云叢1,2 李相方1 孫曉峰2 尹邦堂2 崔松2 1.中國石油大學(北京)石油與天然氣工程學院;2.國家安全生產監督管理總局油氣安全工程技術研究中心)
贊 賞 分享
您可以選擇一種方式贊助本站

支付寶轉賬贊助

微信轉賬贊助
- 注解:本資料由會員及群友提供僅供閱讀交流學習,不得用于商業用途!
