5 穿越工程施工
5.1 一般規定
5.1.1 施工單位應在穿越施工前核實施工區域內的地下管線及障礙物的相關資料。
5.1.2 施工準備應符合現行國家標準《油氣輸送管道穿越工程施工規范》GB 50424的有關規定。
5.1.3 鋼制管道的焊接應符合現行行業標準《城鎮燃氣輸配工程施工及驗收規范》CJJ 33的有關規定。
5.1.4 聚乙烯燃氣管道的材料檢驗、運輸和儲存應符合現行行業標準《聚乙烯燃氣管道工程技術規程》CJJ 63的有關規定。
5.1.5 采用開挖法穿越的燃氣管道與其他埋地管線交叉時,應對管溝處裸露的其他埋地管線進行支撐和保護,不得損壞。
5.1.6 帶有防腐的鋼質管道不應長期露天存放。防腐管在裝卸、堆放、移動和運輸過程中應采取措施保護防腐層不受損傷,搬運應使用專用襯墊及吊帶,不得使用裸鋼絲繩。當鋼質管道防腐層有損傷進行修補時,所采用的防腐層材料不應低于管道外防腐層的等級。
5.1.7 套管內的鋼質燃氣管道安裝后,外部徑向載荷不應傳遞到穿越段燃氣管道上。管道的安裝應符合下列規定:
1 套管內的穿越段燃氣管道的絕緣支撐架應安裝牢固,絕緣墊位置應正確,燃氣管道不得與套管接觸。
2 鋼質燃氣管道穿入套管前,應按設計要求安裝犧牲陽極,絕緣支撐架不得與陽極相連。安裝后,應測量管道電位,并應達到保護電位要求。
3 套管內不得有污物。
4 穿越管段應在防腐層檢漏合格后方可穿入套管。穿入后應檢測套管與穿越管段之間的絕緣電阻,電阻值應大于2MΩ,檢測合格后應按設計要求密封套管的兩端口。
5.1.8 穿越段聚乙烯燃氣管道的施工應符合下列規定:
1 聚乙烯燃氣管道連接前應對管材按設計要求進行核對,并應在施工現場進行外觀檢查,管材表面劃傷深度不應超過管材壁厚的5%;
2 聚乙烯管道焊接前應進行焊接工藝評定,并應符合現行行業標準《聚乙烯燃氣管道工程技術規程》CJJ 63的有關規定;
3 穿越前應按現行行業標準《聚乙烯燃氣管道工程技術規程》CJJ 63的有關規定對熱熔及電熔焊接后的管道進行外觀檢查,且焊口應進行100%切邊檢查。
5.2 水域開挖法穿越
5.2.1 圍堰和導流施工應符合下列規定:
1 導流溝底應低于入口處河流水面,導流溝寬度應根據河水流量的大小確定,溝底沿水流方向應的坡度不應小于0.003。導流溝寬度應根據河水流量的大小確定。
2 河流上、下游兩截水壩之間的距離應能滿足施工作業要求。壩頂應高出施工期水面1.0m~1.5m,且不得超過河岸最低點;斷面應為梯形,邊坡比宜為1:1~1:2,壩頂寬度應根據河水的深度確定,宜為2m~5m。
5.2.2 采用圍堰的方法開挖管溝時,應根據穿越地段的巖土性質、施工方法、施工機具等情況確定降水方法。當開挖地段為砂石、流砂、粉砂或細砂時,可采用井點降水方法。
5.2.3 水下管溝開挖方式應符合下列規定:
1 當河床土壤松軟、水流速度小、回淤量小時,宜采用絞吸式或吸揚式挖泥船開挖管溝,對硬土層或卵石層等土壤緊硬河床,并宜采用抓斗挖泥船或輪斗挖船開挖管溝;
2 當河床地質為砂土、黏土或夾卵石土壤時,宜采用拉鏟配合其他方法開挖管溝;
3 挖泥船應配備定位設備,并應實時記錄、顯示。
5.2.4 河底管溝的幾何尺寸和質量應符合下列規定:
1 河底管溝的溝底寬度和邊坡尺寸應根據土石性質、水流速度、開挖深度和施工方法等因素確定,必要時可進行試挖。當無試驗條件和數據時,開挖管溝尺寸可分別按表5.2.4-1和表5.2.4-2確定。
表5.2.4-1 不帶水開挖管溝尺寸

注:1 當遇流砂時,溝底寬度和邊坡數據應根據施工方案另行確定;
2 當采用圍堰方法挖溝,在溝下焊接時,溝底寬度應為8m~12m;
3 D為管道外徑(包括防腐層或保溫層厚度);
4 括號內的值為采用溝下組焊規定值。
表5.2.4-2 帶水開挖管溝尺寸

注:1 當遇流砂時,溝底寬度和邊坡數據應根據施工方案另行確定;
2 D為管道外徑(包括防腐層或保溫層厚度)。
2 河底管溝應平直,不得有土坎。
3 不帶水開挖施工時,河底管溝中心線偏移不應大于200mm,管溝深度應符合設計要求,允許偏差應為±200mm。
4 帶水開挖穿越施工時,河底管溝中心線偏移不應超過500mm,管溝深度應符合設計要求,允許偏差應為±300mm。
5 管溝開挖過程中,應定時測量管溝尺寸。管溝開挖完成后,應對管溝進行測量,并應做好記錄。
5.2.5 不帶水開挖穿越的管道敷設應符合下列規定:
1 管道敷設的任何工序均應對管道進行保護。當采用鋼管時,應對防腐層進行保護,不得損壞防腐層,管道下溝前應進行電火花檢漏,發現漏點應及時補傷,合格后方可下溝。
2 管道就位前,應對管溝的標高、中心線位置和幾何尺寸按設計要求進行復測。
3 管道安裝、下溝、回填宜在圍堰內進行。
5.2.6 帶水開挖穿越的管道牽引就位施工應符合下列規定:
1 牽引前,應將發送溝、發送架、牽引場地、牽引設備等準備完畢。
2 管道牽引就位前,應對管溝的溝底寬度、標高、中心線位置和幾何尺寸按設計要求進行復測。
3 管道敷設可采用底拖法、浮拖法施工。
4 底拖法施工應符合下列規定:
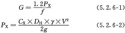
1)管道在水中的重量應按下列公式計算:

式中:G——管道在水中的重量(kg);
PX——水平推力(N);
f——管道與河底的摩擦系數;
CX——取決于管道表面粗糙度和水流態的系數,取0.8;
DH——單位長度管道垂直于水流方向的投影面積(包括防腐層)(m2/m);
γ——穿越水域中水的密度(kg/m3)
V——近管道流層水的流速(m/s);
g——重力加速度(m/s2)。
2)沿河底拖管所需的牽引力應按下式計算:
![]()
式中:N——沿河底拖管所需的牽引力(N);
a——啟動系數,可取2;
T——鋼絲繩重量(kg)。
3)牽引設備的牽引能力不應低于所需最大牽引力的1.2倍,且不應大于管道可承受應力的0.5倍。
4)鋼絲繩應按牽引設備的最大牽引力選擇,鋼絲繩的安全系數應大于或等于3.5。管道牽引應使用預拉后的鋼絲繩,預拉力應為鋼絲繩許用拉力的15%~20%。
5)拖管應采用發送裝置。發送方式應根據穿越工程的具體情況和設備情況確定。
6)大型河流穿越應修筑牽引道。牽引道應與管道施工作業帶寬度一致,長度應保證牽引作業連續進行。
5 浮拖法施工應符合下列規定:
1)施工前,應在岸上將預制、探傷、防腐、打壓完畢的管道兩端密封,沿水面漂浮拖到水下的管溝上方,后沉到河底管溝內;
2)浮拖法可根據施工現場的具體條件選擇直線浮拖法或旋轉浮拖法;
3)當管道重量等于或大于浮力時,可采用加浮筒的方法進行浮拖。
5.2.7 帶水開挖穿越的穩管施工應符合下列規定:
1 管道應按設計要求進行穩管。
2 穿越管段在安放配重塊、石籠、澆筑混凝土連續覆蓋層時,不應損壞管道的防腐層。
3 復壁管環形空間注水泥漿前,內管應充滿水,并應且保持一定的壓力。注漿時應在排放口取樣,并應測定排放口水泥漿的相對密度,待達到設計相對密度時應停止注漿。
4 水泥漿性能應符合表5.2.7的規定。
表5.2.7 水泥漿性能
| 流動度(m) | 初凝時間(h) | 終凝時間(h) | 密度(kg/m3) |
| ≥0.16 | 8~10 | 18~24 | ≥1800 |
5.2.8 管溝回填應符合下列規定:
1 回填前應對下溝管道進行標高測量和管道中心線測量,合格后方可進行管溝回填;
2 設計為自然回淤的管溝,應在管道下溝敷管完成后,采用人工回填1/3的覆蓋深度,或采取其他穩管措施;
3 回填后應對管道的中心線、標高進行復驗,并應符合設計要求。
5.2.9 施工期間應保持施工現場周圍的生態環境。工程完畢后,應立即拆除臨時設施并恢復地貌,并應按設計要求及時完成護岸和護坡的砌筑工程。
5.3 水平定向鉆法穿越
5.3.1 測量放線應符合下列規定:
1 測量放線前,應根據設計確定的控制樁位、設備情況、工程情況、地形地貌等編制施工場地平面布置圖。
2 應用測量儀器確定穿越中心線及穿越入土點、出土點。入土點、出土點應至少放樁1個。
3 應根據穿越入土點、出土點及穿越中心線,確定鉆機安裝場地、管道側施工場地、泥漿池以及穿越管段預制場地的邊界線,并應做好標記。
5.3.2 根據穿越施工場地的實際情況,應合理布設鉆機、工作井、材料堆放和管道地面安裝等工作區的位置。施工場地地面應根據土層的穩定性和密實性采取防止塌陷的措施。
5.3.3 穿越施工過程中,泥漿宜循環使用。應在出土點設置接納泥漿涌出的泥漿池或泥漿罐。施工完成后,應使用槽車將廢漿清運至環保部門指定的地點排放。
5.3.4 水平定向鉆機的選用應根據計算的最大回拖力確定,鉆機最大回拖力不宜小于計算值的2倍。管道水平定向鉆回拖時的拉力應符合下列規定:
1 鋼質管道水平定向鉆回拖時的拉力應符合現行國家標準《油氣輸送管道穿越工程施工規范》GB 50424的有關規定。
2 PE燃氣管道水平定向鉆回拖時的允許拖拉力按下式計算:
![]()
式中:F——允許拖拉力(N);
de——管道公稱直徑(mm);
SDR——標準尺寸比。
5.3.5 鉆機設備安裝及調試應符合下列規定:
1 鉆機的停放位置應使鉆桿位于擬敷設管道的中心線上;
2 鉆機地錨應穩固,并應能承受鉆機的最大推進力及最大回拖力;
3 控向系統使用前應進行校準,更換傳感器、接收器、鉆頭后應重新校準;
4 當采用地磁控向系統時,應測量鉆機傾斜角及穿越方位角等數據;
5 當采用無線控向系統時,應根據施工場地周圍的干擾信號情況,確定傳感器的接收頻率;
6 采用地磁控向系統時,可使用人工磁場。
5.3.6 鉆進液應符合下列規定:
1 應根據工程地質勘察報告確定鉆進液的配置參數;
2 鉆進液的黏度應根據地質和管徑情況確定,可采用馬氏漏斗測量;
3 配置鉆進液用的膨潤土含砂量應小于3%,水源應使用清潔淡水,鉆進液pH值應調配至8~10;
4 應按規定的順序進行配置,并應使其充分膨化。
5.3.7 導向孔鉆進應符合下列規定:
1 導向孔應根據設計曲線鉆進,每根鉆桿的折角應根據管徑大小和管道的最小允許彎曲半徑確定;
2 鉆進導向孔時,每根鉆桿的測量不得少于1次,當發現定向鉆偏離設計軌跡時,應及時進行糾偏。糾偏應漸進進行,不得在一根鉆桿的長度內完成所有的糾偏;
3 導向孔允許偏差應符合表5.3.7的規定,且偏差不應大于穿越長度的1%。
表5.3.7 導向孔允許偏差(m)
| 管材 | 導向孔曲線 | 出土點 | ||
| 橫向偏差 | 上下偏差 | 橫向偏差 | 縱向偏差 | |
| 鋼管 | ±2 | +1~—2 | ±2 | +5~—2 |
| PE管 | ±1 | +1~—1 | ±0.5 | +1~—1 |
5.3.8 擴孔應符合下列規定:
1 最終擴孔直徑應根據穿越管道的直徑、長度、穿越地質條件和鉆機能力確定,最小擴孔直徑可按表5.3.8的規定執行。
表5.3.8 最小擴孔直徑
| 穿越管道的直徑DN(mm) | 最小擴孔直徑(mm) |
| <200 | DN+100 |
| 200~600 | 1.5DN |
| >600 | DN+300 |
2 當管徑大于DN300時,擴孔宜采取多級、多次擴孔的方式進行。
3 擴孔過程中,當扭矩、拉力較大時,可采取洗孔作業。洗孔結束后,可繼續進行擴孔。
5.3.9 定向鉆穿越燃氣管道的地面安裝應符合下列規定:
1 穿越段管道應在平整且具有承載能力的場地進行預制;
2 預制管道應與入土點、出土點成一直線,當受現場條件限制時,預制管道可適當彎曲,并應符合本規程第4.3.10條的有關規定;
3 預制管道宜根據設計長度全線焊接,當場地局限時,也可分段焊接,在回拖過程中連接;
4 當采用熱收縮帶進行穿越段鋼管焊口補口時,應采用定向鉆專用熱收縮帶;
5 在穿越管道回拖前,鋼管應采用電火花檢漏儀對防腐層進行檢驗;
6 聚乙烯燃氣管道焊接應使用全自動焊機;
7 管道回拖前,應對焊接完成的管段進行水壓試驗;
8 聚乙烯燃氣管道應對表面劃痕進行檢查。
5.3.10 管道回拖施工前,應對場地、機具、人員等情況進行檢查落實,并應編制回拖專項施工組織方案,回拖專項方案應包含下列內容:
1 回拖前管道鋪設位置及管位調整方案,管道回拖進孔前的機械配合方案;
2 管道防腐層保護及修復的方案;
3 各工序時間點安排及控制措施;
4 挖機、吊機、焊機、發電機等機械配備情況;
5 施工人員配備情況,定人定崗;
6 回拖過程中的通信手段及通信要求;
7 夜間施工照明條件;
8 回拖過程不安全因素分析及對策,發生卡管時的處置預案;
9 安全應急預案及組織架構。
5.3.11 重要的、地質情況復雜的燃氣管道水平定向鉆穿越工程,在回拖前宜進行試拖,并應根據試拖情況對施工方案進行調整。
5.3.12 回拖時應保持連續作業。當采取兩段或多段管段接力回拖時,中途停止回拖的時間不宜超過4h。
5.3.13 水平定向鉆穿越燃氣管道接頭處的防腐層外宜設置保護套,防腐等級不應低于原管道,在管道穿越時,接頭處的外防腐層不得被損壞。
5.3.14 回拖作業應符合下列規定:
1 應采取避免損傷管道及外防腐層的有效措施。可采取發送溝蓄水漂管、發送架及吊機送管等方式,避免管道與地面直接接觸。管道入洞口前與地面的接觸處部位應進行潤滑。
2 應實時記錄回拖過程的回拖力、扭矩、回拖速度、鉆進液流量等數據,并應附于竣工資料中。
3 宜對鋼管的外防腐層進行電火花測試,對防腐層的損傷部位應及時修補。
5.3.15 出土點和入土點兩端管道應各出地面1m~3m。
5.3.16 穿越鐵路、重要道路施工時,應進行地表沉降監測,并應做好記錄。
5.3.17 回拖結束后,應將管道放置24h以上,待管道在穿越過程中的拉伸應力充分釋放后,方可與兩端管道進行連接。
5.3.18 施工完畢后,應測量出、入土點坐標,做好施工記錄;并進行防腐層完整性評價,檢測合格后方可與兩端管道進行連接。
5.4 頂管法穿越
5.4.1 頂管穿越施工前應根據設計要求放線,設置穿越中心樁、施工帶邊線樁,確定頂管工作井的位置和尺寸,并應做出明顯標志。
5.4.2 當在地下水位高的地段進行頂管穿越時,應采取降、排水措施。
5.4.3 頂管工作井的長度和寬度應滿足連續施工的要求,深度應根據穿越管道的敷設深度確定。工作井的底部應平整、結實。后坐墻表面應平直,且應垂直于頂進管道的軸線。工作井及裝配式后坐墻的施工允許偏差應符合表5.4.3的規定。
表5.4.3 工作井及裝配式后坐墻的施工允許偏差
| 項目 | 允許偏差(mm) | |
| 工作井每側 | 寬度 | 不大于施工設計規定 |
| 長度 | ||
| 裝配式后坐墻 | 垂直度 | 0.1%H |
| 水平扭轉度 | 0.1%L | |
注:H為后坐墻的高度;L為后坐墻的寬度。
5.4.4 頂管工作井的開挖方法及支護設施應根據現場地質情況及工作井的尺寸確定。工作井深度達到深基坑深度時,尚應符合深基坑施工的相關規定。
5.4.5 頂管工作井后坐墻的施工應符合下列規定:
1 當采用裝配式后坐墻時,應符合下列規定:
1)后坐墻土體壁面應與后坐墻貼緊,間隙應采用砂石料填塞密實;
2)組裝后坐墻的構件在同層內的規格應一致,各層之間的接觸應緊貼,并應層層固定;
3)頂管工作井及裝配式后坐墻的墻面應與管道軸線垂直。
2 當利用已頂進完畢的管道作后坐墻時,后坐墻鋼板與管口之間應襯墊緩沖材料,不得損傷已頂入管道的接口。
3 當頂管施工過程中發現后坐墻變形過大時,應采取加固或其他輔助措施。
5.4.6 頂管法施工時應采取下列安全措施:
1 進人井應設置安全逃生梯。
2 井內及隧道內應配備照明設施。
3 工作人員進井前,應使用氣體濃度檢測儀器,確定井內隧道在安全要求的范圍內后,方可進入。
4 進井的工作人員應配載氣體濃度報警儀器。
5 沿頂管路線每隔5m應設置一個沉降測量點。當垂直升降幅度大于10mm時,應立即停止頂管作業,查明原因和采取改善措施后,方可繼續進行頂管作業。
5.4.7 頂管設備的安裝和使用應符合下列規定:
1 頂管設備的安裝應符合下列規定:
1)兩層軌應順直、平行、等高,縱坡應與管道設計坡度一致;
2)導軌安裝的允許偏差應符合表5.4.7的規定;
表5.4.7 導軌安裝的允許偏差
| 項目 | 允許偏差 |
| 軸線位置 | +3mm |
| 頂面高程 | 0mm~+3mm |
| 兩軌內距 | +2mm |
3)安裝后的導軌應牢固,不得在使用中產生位移,并應定時檢查校核。
2 油泵安裝和使用應符合下列規定:
1)油泵宜設置在千斤頂附近,油管應順直、轉角少;
2)油泵應與千斤頂相匹配,并應有備用油泵;油泵安裝完畢,應進行試運轉;
3)初始頂進應緩慢運轉,待各接觸部分吻合后,再按正常速度頂進;
4)當發現油壓突然增高時,應立即停車檢查處理,正常后方可繼續頂進;
5)當采用軸向液壓千斤頂配以液壓站法施工時,應控制油泵的壓力,油泵壓力應平穩上升。
3 頂管前,應將頂管設備就位并且試運行良好,其穿越中心線與管道設計中心線一致。頂管時,頂鐵中心線應與穿越中心線平行、對稱。套管進入土層后,應采用人工方法自上而下開挖取土。采用敞口式頂管機,在允許超挖的穩定土層中正常頂進時,在管道下部135°范圍內不得超挖,管頂部超挖量不得大于15mm。頂進作業時,宜在套管外壁涂潤滑劑;下管前,套管不應破損。
4 頂管時,應采用測量儀器控制中心線和高程,以施工放線時布置的中心樁為基準進行導向監控。第一根套管頂進中心線與管道軸線的偏差不應超過管長的3%。初始頂進中,每頂進300mm應檢查1次;正常頂進后,每頂進1m檢查不應少于1次。
5.4.8 螺旋鉆機頂管穿越施工應符合現行國家標準《油氣輸送管道穿越工程施工規范》GB 50424的有關規定。
5.4.9 平衡法頂管穿越施工應符合現行國家標準《油氣輸送管道穿越工程施工規范》GB 50424的有關規定,并應符合下列規定:
1 頂管機應連續作業,頂進過程中頂管機前方遇到障礙時,應暫停頂進,及時處理,并應采取防止頂管機前方塌方的措施;
2 預制穿越管段長度應大于套管長度4m以上。
5.4.10 頂管作業宜連續進行,套管全部頂進后,可將套管內用砂漿找平。
5.4.11 頂管施工中,應建立地面與地下測量控制系統,控制點應設在不易擾動、視線清楚、方便校核、易于保護處。
5.4.12 在始發井或接收井發現外露的其他地下管線時,應與有關單位協調,并應采取保護措施。
您可以選擇一種方式贊助本站

支付寶轉賬贊助

微信轉賬贊助




