附錄C 單管拱跨越管道設計計算
C.0.1 單管拱跨越管道尺寸計算應符合下列規定:
1 矢跨比應按下式計算:
![]()
式中:n——矢跨比;自重較大時,矢跨比可取0.125;風載較大時,矢跨比可取0.1;溫差較大時,矢跨比可取0.2;
f——矢高(m);
l——跨距(m)。

式中:R——管道半徑(mm);
——半圓心角(°);
S——弧長(mm);
KR、Kf、KS——拱形管道計算系數,應按表C.0.1的規定取值。
表C.0.1 拱形管道計算系數

C.0.2 單管拱跨越管道荷載計算應符合下列規定:
1 拱形管道荷載計算時,應考慮下列荷載:
1)垂直荷載:管道、介質及保溫層重;
2)水平荷載:風荷載;
3)溫度應力:溫度變化產生的內力;
4)活荷載:安裝與檢修時活荷載;
5)特殊荷載:地震作用;
2 垂直荷載的計算應符合下列規定:


5 承載力的計算應符合下列規定:
1)拱管壓應力可按下列公式計算:

式中:N0——總軸向力(N);
A——管壁截面面積(mm2);
M——組合總彎矩設計值(N·mm);
W——管道截面抗彎矩(mm3)。
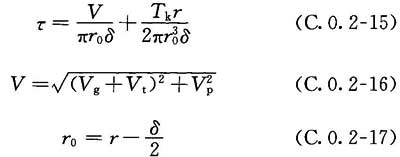
2)拱管剪應力應按下列公式計算:

式中:V——總剪力(N);
r——管道外半徑(mm);
r0——管道平均半徑(mm);
δ——管道壁厚度(mm)。
3)拱管主應力應按下列公式計算:

式中:σc——材料的計算強度(N/mm2);
m1——系數,一般取m1=0.9;
m2——系數,Q235A鋼材,宜取m2=0.9;10、15、20、25號鋼材,可取m2=0.85;
σt——材料在使用溫度下的屈服強度(N/mm2),應按本規程附錄C表C.0.2的規定取值。
表C.0.2 常用鋼材的屈服強度


您可以選擇一種方式贊助本站

支付寶轉賬贊助

微信轉賬贊助




