附錄C 燃氣管道摩擦阻力計算
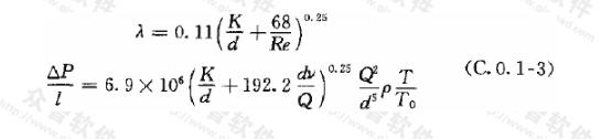
C.0.1 低壓燃氣管道:
根據燃氣在管道中不同的運動狀態,其單位長度的摩擦阻力損失采用下列各式計算:
1 層流狀態:Re≤2100 λ=64/Re

2 臨界狀態:Re=2100~3500

3 湍流狀態:Re>3500
1)鋼管:

2)鑄鐵管:

△P——燃氣管道摩擦阻力損失(Pa);
λ——燃氣管道的摩擦阻力系數;
l——燃氣管道的計算長度(m);
Q——燃氣管道的計算流量(m3/h);
d——管道內徑(mm);
ρ——燃氣的密度(kg/m3)
T——設計中所采用的燃氣溫度(K);
T0——273.15(K)
v——0℃和101.325KPa時燃氣的運動黏度(m2/s)
K——管壁內表面的當量絕對粗糙度,對鋼管:輸送天然氣和氣態液化石油氣時取0.1mm;輸送人工煤氣時取0.15mm。
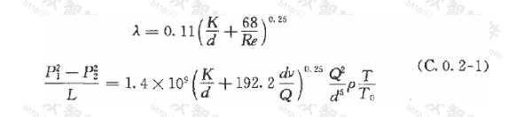
C.0.2次高壓和中壓燃氣管道:
根據燃氣管道不同材質,其單位長度摩擦阻力損失采用下列各式計算:
1 鋼管:

2 鑄鐵管:

式中:L——燃氣管道的計算長度(km);
C.0.3高壓燃氣管道的單位長度摩擦阻力損失,宜按現行的國家標準《輸氣管道工程設計規范》GB 50251有關規定計算。
注:除附錄C所列公式外,其他計算燃氣管道摩擦阻力系數(λ)的公式,當其計算結果接近本規范式(6.2.6-2)時,也可采用
贊 賞 分享
您可以選擇一種方式贊助本站

支付寶轉賬贊助

微信轉賬贊助




